Research on High-Stability Composite Control Methods for Telescope Pointing Systems under Multiple Disturbances
Abstract
1. Introduction
- Disturbance analysis: Based on the mechanism research, this paper systematically analyzes the multiple disturbance noises of the telescope pointing system and establishes a specific disturbance mathematical model. This lays a solid foundation for suppressing multiple disturbances and improving system pointing stability.
 - Controller design: Based on the dynamic model of the telescope pointing mechanism and the multiple disturbance model, this paper designs a composite control controller. By designing an H∞ controller, stability is ensured while suppressing external disturbance noise. To relax the constraints of the feedback controller and enhance the anti-interference capability of the telescope pointing system, an HODOB method is proposed. By combining the H∞ controller and HODOB, it not only suppresses and attenuates multiple interferences but also achieves satisfactory tracking accuracy and pointing stability level, compensating for the respiratory angle changes in gravitational wave detection.
 
2. Pointing Strategy and Model Establishment
2.1. Pointing Scheme and Maneuvering Requirements
2.2. Dynamic Model
2.2.1. Structural Model
2.2.2. Coordinate System Definition
- The Constellation Reference Frame, CRF = {OC,cx,cy,cz}, with the origin located at the center of mass of the spacecraft, where cz is perpendicular to the plane formed by the incident laser vectors L2 and L3, cx is the bisector of the angles defined by the two incident lasers, and cy satisfies the right-hand rule;
 - Two Optical Reference Frames, ORF = {Ooj,oxj,oyj,ozj}. The coordinate origin is defined on the rotation axis of the optical subassembly, and the center of mass of the optical subassembly is also located at this point. The oxj axis is oriented along the symmetry axis of the optical subassembly and points toward the laser emission direction. The oyj axis is perpendicular to the oxj axis and points in the opposite direction of the angle between the two optical subassemblies. The ozj axis coincides with the rotation axis of the optical subassembly, following the right-hand rule;
 - The Spacecraft Reference Frame, SRF = {OS,sx,sy,sz}. The coordinate origin is defined at the center of mass of the entire spacecraft. The sx axis direction is between the two telescopes, pointing in a direction that forms a 30° angle with the optical reference frames’ oxj axis direction. The sy axis direction is perpendicular to the sx axis direction and coincides with the planes of the two optical components. The sz axis direction is perpendicular to both the planes of the optical subassembly and follows the right-hand rule.
 
2.2.3. Mechanism Dynamics Model
2.2.4. Actuator Model
2.3. Disturbance Analysis and Descriptions
2.3.1. Reaction Torque from the Spacecraft on the Telescope Pointing Mechanism
2.3.2. Nonlinear Friction Torque
2.3.3. Gravity Gradient Torque
2.3.4. Other Noise
3. Design of Composite Control Method
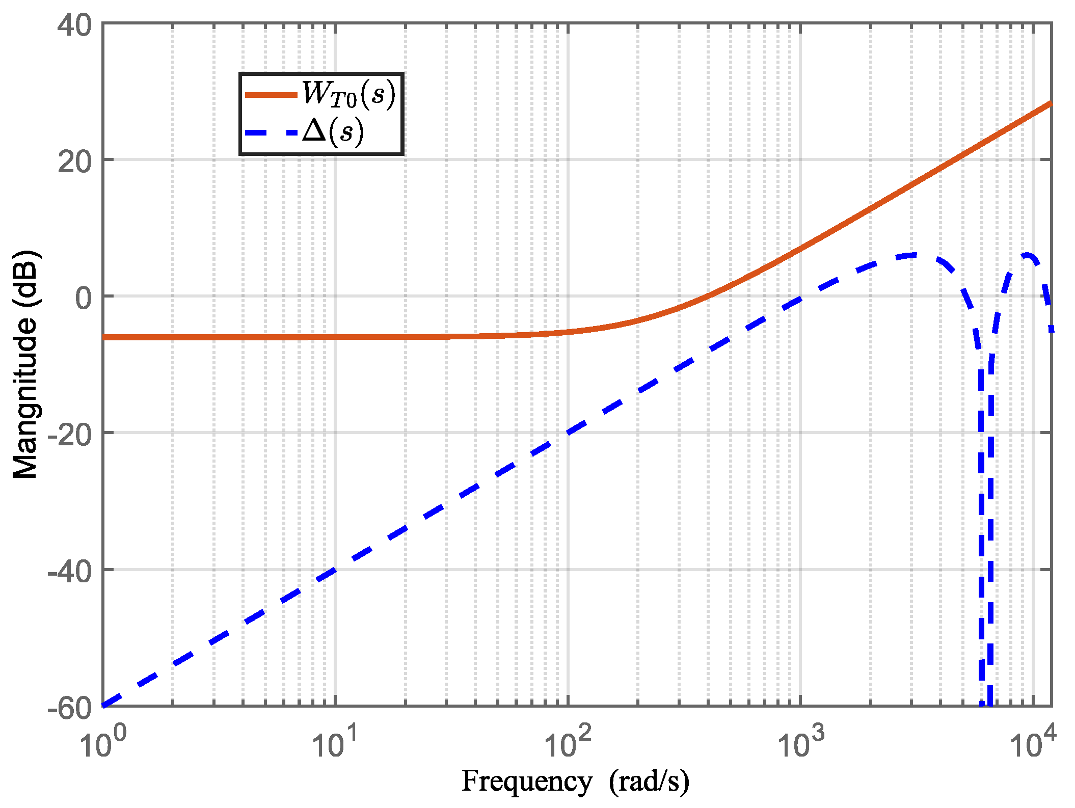
3.1. H∞ Mixed Sensitivity Controller Design
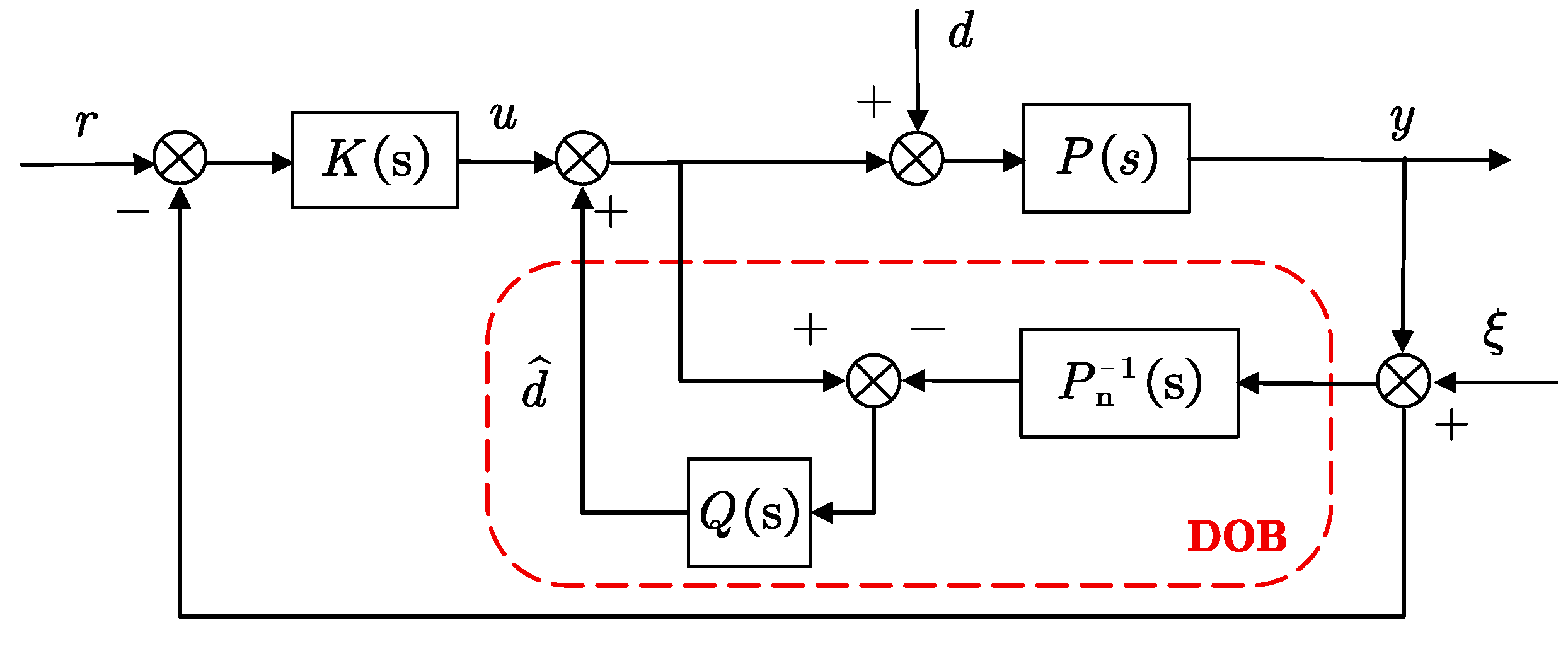
3.2. Optimized Design of Disturbance Observer
3.2.1. Analysis of the Two-Degrees-of-Freedom System with DOB
3.2.2. Evaluation Function Definition
- Evaluation function for a two-degree-of-freedom system:
 
- 2.
 - Evaluation function for the inner loop DOB system:
 
- 3.
 - Transformation of evaluation functions:
 
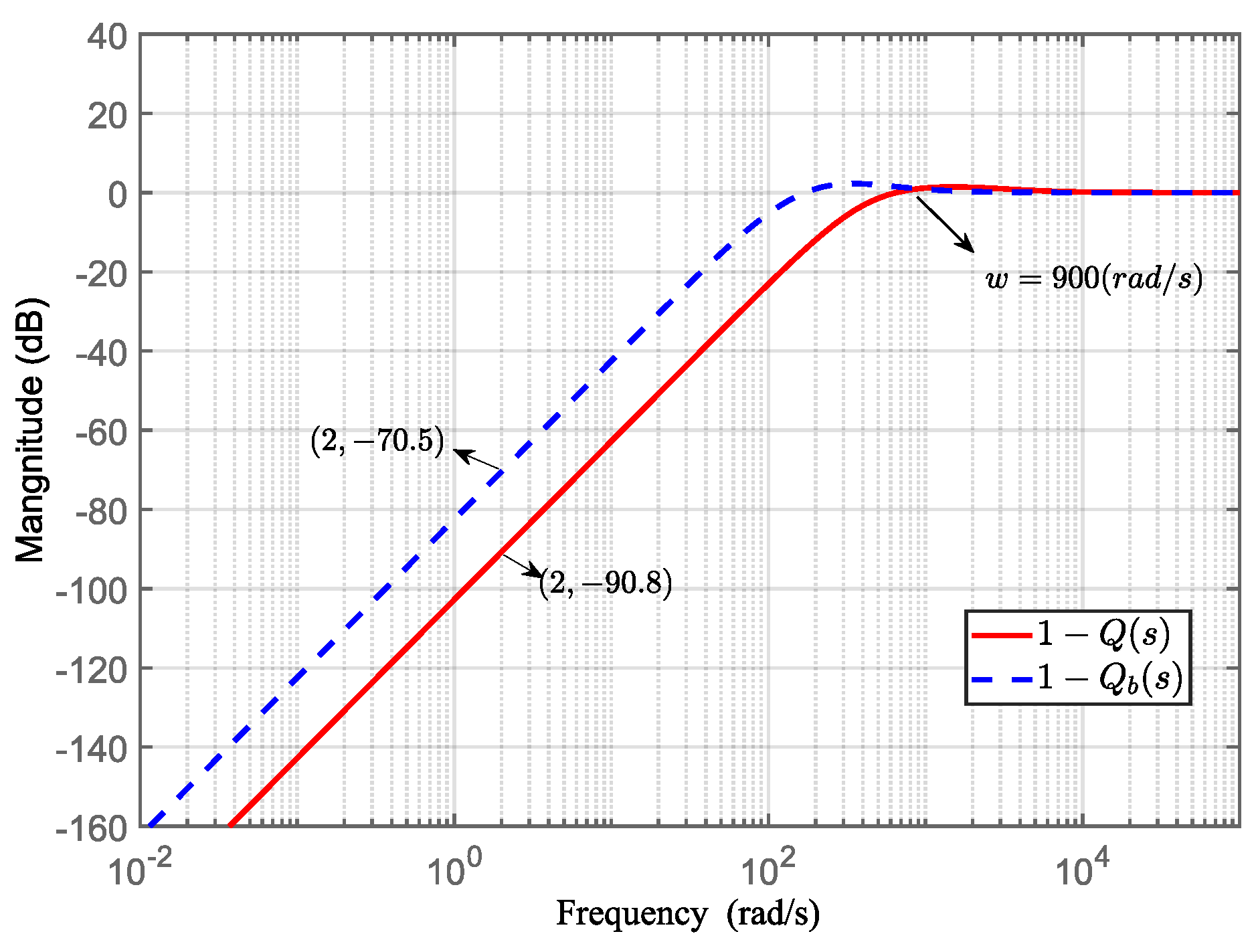
3.2.3. Filter Design
4. Simulation and Analysis
5. Conclusions
Author Contributions
Funding
Institutional Review Board Statement
Informed Consent Statement
Data Availability Statement
Acknowledgments
Conflicts of Interest
References
- Abbott, B.P.; Abbott, R.; Abbott, T.D. Observation of Gravitational Waves from a Binary Black Hole Merger. Phys. Rev. Lett. 2016, 116, 061102. [Google Scholar] [CrossRef] [PubMed]
 - Belgacem, E.; Benkel, R.; Bernard, L. New horizons for fundamental physics with LISA. Living Rev. Relativ. 2022, 25, 4. [Google Scholar]
 - Gong, Y.; Luo, J.; Wang, B. Concepts and status of Chinese space gravitational wave detection projects. arXiv 2021, arXiv:2109.07442. [Google Scholar] [CrossRef]
 - Ye, B.; Zhang, X.; Ding, Y.; Meng, Y. Eclipse avoidance in TianQin orbit selection. Phys. Rev. D 2021, 103, 042007. [Google Scholar] [CrossRef]
 - Wu, Y.; Hai, H.; Fang, S.; Fan, W.; Song, J.; Zhao, K.; Zhang, R.; He, B.; Zhao, H.; Li, Z.; et al. A fast steering mirror with ultra-low geometric tilt-to-length coupling noise for space-borne gravitational wave detection. Meas. Sci. Technol. 2023, 35, 015407. [Google Scholar] [CrossRef]
 - Luo, J.; Chen, L.; Duan, H.; Gong, Y.; Hu, S.; Ji, J.; Liu, Q.; Mei, J.; Milyukov, V.; Sazhin, M.; et al. TianQin: A space-borne gravitational wave detector. Class. Quant. Grav. 2016, 33, 035010. [Google Scholar] [CrossRef]
 - Produktionstechnik, V.F. Towards an Advanced LISA Payload Architecture Featuring In-Field Pointing and Spherical Proof Masses; Universität Bremen: Bremen, Germany, 2018. [Google Scholar]
 - Livas, J.; Sankar, S.; West, G.; Seals, L.; Howard, J.; Fitzsimons, E. eLISA Telescope In-field Pointing and Scattered Light Study. J. Physics. Conf. Ser. 2017, 840, 012015. [Google Scholar] [CrossRef]
 - Riel, T.; Galffy, A.; Janisch, G.; Wertjanz, D.; Sinn, A.; Schwaer, C.; Schitter, G. High performance motion control for optical satellite tracking systems. Adv. Space Res. 2020, 65, 1333–1343. [Google Scholar] [CrossRef]
 - Wang, P.; Zhang, J.; Lian, X.; Lu, L. Stacked recurrent neural network based high precision pointing coupled control of the spacecraft and telescopes. Adv. Space Res. 2023, 71, 692–704. [Google Scholar] [CrossRef]
 - Deng, H.; Meng, Y. Frequency Division Control of Line-of-Sight Tracking for Space Gravitational Wave Detector. Sensors 2022, 22, 9721. [Google Scholar] [CrossRef]
 - Gao, Y.; Zhang, Q.; Wei, C.; Zhu, Y.; Li, Q.; Yin, D. The closed-loop control method based on dual-port adaptive internal model control for fine image stabilization of space telescopes. Rev. Sci. Instrum. 2023, 94, 114503. [Google Scholar] [CrossRef] [PubMed]
 - Khoroshylov, S.; Martyniuk, S.; Sushko, O.; Vasyliev, V.; Medzmariashvili, E.; Woods, W. Dynamics and attitude control of space-based synthetic aperture radar. Nonlinear Eng. 2023, 12, 3755–3769. [Google Scholar] [CrossRef]
 - Zhao, H.; Zong, G.; Wang, H.; Zhao, X.; Xu, N. Zero-Sum Game-Based Hierarchical Sliding-Mode Fault-Tolerant Tracking Control for Interconnected Nonlinear Systems via Adaptive Critic Design. IEEE Trans. Autom. Sci. Eng. 2023, 1–11. [Google Scholar] [CrossRef]
 - Wu, W.; Zhang, L.; Wu, Y.; Zhao, H. Adaptive saturated two-bit-triggered bipartite consensus control for networked MASs with periodic disturbances: A low-computation method. IMA J. Math. Control Inf. 2024, 41, 116–148. [Google Scholar] [CrossRef]
 - Cui, Y.; Yang, Y.; Zhu, Y.; Qiao, J.; Guo, L. Composite Velocity-Tracking Control for Flexible Gimbal System with Multi-Frequency-Band Disturbances. IEEE Trans. Circuits Syst. I Regul. Pap. 2021, 68, 4360–4370. [Google Scholar] [CrossRef]
 - Cui, Y.; Yang, Y.; Zhao, L.; Zhu, Y.; Qiao, J.; Guo, L. Composite Control for Gimbal Systems With Multiple Disturbances: Analysis, Design, and Experiment. IEEE Trans. Syst. Man Cybern. Syst. 2023, 53, 4789–4798. [Google Scholar] [CrossRef]
 - Virdis, M. A Meteoroid Impact Recovery Control System for the LISA Gravitational Wave Observatory; Politecnico di Torino: Turin, Italy, 2021. [Google Scholar]
 - Ye, B.; Zhang, X.; Zhou, M.; Wang, Y.; Yuan, H.; Gu, D.; Ding, Y.; Zhang, J.; Mei, J.; Luo, J. Optimizing orbits for TianQin. Int. J. Mod. Phys. D 2019, 28, 1950121. [Google Scholar] [CrossRef]
 - Szufnarowski, F.; Schneider, A. Two-dimensional dynamics of a quasi-static legged piezoelectric actuator. Smart Mater Struct 2012, 21, 055007. [Google Scholar] [CrossRef]
 - Ma, Z.; Wang, J. A Controller Design Method for Drag-Free Spacecraft Multiple Loops with Frequency Domain Constraints. IEEE Trans. Aerosp. Electron. Syst. 2023, 59, 3224–3235. [Google Scholar] [CrossRef]
 - Kai, C. Study of the Dynamics Coupling between the Two-Axis Gimbal and the Satellite Bus; Xi’an Institute of Optics & Precision Mechnics, Chinese Academy of Science: Xi’an, China, 2013. [Google Scholar]
 - Yan, H.; Duan, H.; Li, L.; Liang, Y.; Luo, J.; Yeh, H. A dual-heterodyne laser interferometer for simultaneous measurement of linear and angular displacements. Rev. Sci. Instrum. 2015, 86, 123102. [Google Scholar] [CrossRef]
 - Doyle, J.C.; Francis, B.A.; Tannenbaum, A. Feedback Control Theory; Macmillan Pub. Co.: New York, NY, USA, 1992. [Google Scholar]
 - Noshadi, A.; Shi, J.; Lee, W.S.; Shi, P.; Kalam, A. System Identification and Robust Control of Multi-Input Multi-Output Active Magnetic Bearing Systems. IEEE Trans. Control Syst. Technol. 2016, 24, 1227–1239. [Google Scholar] [CrossRef]
 - Yun, J.N.; Su, J.; Kim, Y.I.; Kim, Y.C. Robust Disturbance Observer for Two-Inertia System. IEEE Trans. Ind. Electron. 2013, 60, 2700–2710. [Google Scholar] [CrossRef]
 - Su, J.; Wang, L.; Yun, J.N. A design of disturbance observer in standard H∞ control framework. Int. J. Robust Nonlinear 2015, 25, 2894–2910. [Google Scholar] [CrossRef]
 - Wang, Q.; Liu, Z.; Er, L. Disturbance Observer Based Robust Backstepping Control for Flight Simulator. In Proceedings of the Proceedings of the Multiconference on “Computational Engineering in Systems Applications”, Beijing, China, 4–6 October 2006; IEEE: Piscataway, NJ, USA, 2006; pp. 1366–1370. [Google Scholar]
 

















| Parameter | Value | Parameter | Value | 
|---|---|---|---|
| Jt | 15 kg‧m2 | ()max | 5.7 × 10−9 N | 
| Js | Diag{800,800,100} kg‧m2 | ()max | 3 × 10−11 Nm | 
| ωN | 2.9439 rad/s | 3.6 × 10−1 m | |
| ξ | 0.9058 | μ | 398,600.44 km3/s2 | 
Disclaimer/Publisher’s Note: The statements, opinions and data contained in all publications are solely those of the individual author(s) and contributor(s) and not of MDPI and/or the editor(s). MDPI and/or the editor(s) disclaim responsibility for any injury to people or property resulting from any ideas, methods, instructions or products referred to in the content.  | 
© 2024 by the authors. Licensee MDPI, Basel, Switzerland. This article is an open access article distributed under the terms and conditions of the Creative Commons Attribution (CC BY) license (https://creativecommons.org/licenses/by/4.0/).
Share and Cite
Zhang, R.; Zhao, K.; Fang, S.; Fan, W.; Hai, H.; Luo, J.; Li, B.; Sun, Q.; Song, J.; Yan, Y. Research on High-Stability Composite Control Methods for Telescope Pointing Systems under Multiple Disturbances. Sensors 2024, 24, 2907. https://doi.org/10.3390/s24092907
Zhang R, Zhao K, Fang S, Fan W, Hai H, Luo J, Li B, Sun Q, Song J, Yan Y. Research on High-Stability Composite Control Methods for Telescope Pointing Systems under Multiple Disturbances. Sensors. 2024; 24(9):2907. https://doi.org/10.3390/s24092907
Chicago/Turabian StyleZhang, Rui, Kai Zhao, Sijun Fang, Wentong Fan, Hongwen Hai, Jian Luo, Bohong Li, Qicheng Sun, Jie Song, and Yong Yan. 2024. "Research on High-Stability Composite Control Methods for Telescope Pointing Systems under Multiple Disturbances" Sensors 24, no. 9: 2907. https://doi.org/10.3390/s24092907
APA StyleZhang, R., Zhao, K., Fang, S., Fan, W., Hai, H., Luo, J., Li, B., Sun, Q., Song, J., & Yan, Y. (2024). Research on High-Stability Composite Control Methods for Telescope Pointing Systems under Multiple Disturbances. Sensors, 24(9), 2907. https://doi.org/10.3390/s24092907
        
