The Mechanism of Short-Circuit Oscillations in Automotive-Grade Multi-Chip Parallel Power Modules and an Effective Mitigation Approach
Abstract
1. Introduction
2. Gate Oscillation Experiments under Short-Circuit Conditions
2.1. Construction of Short-Circuit Experimental Platform
2.2. Gate Oscillation Experimental Test Results
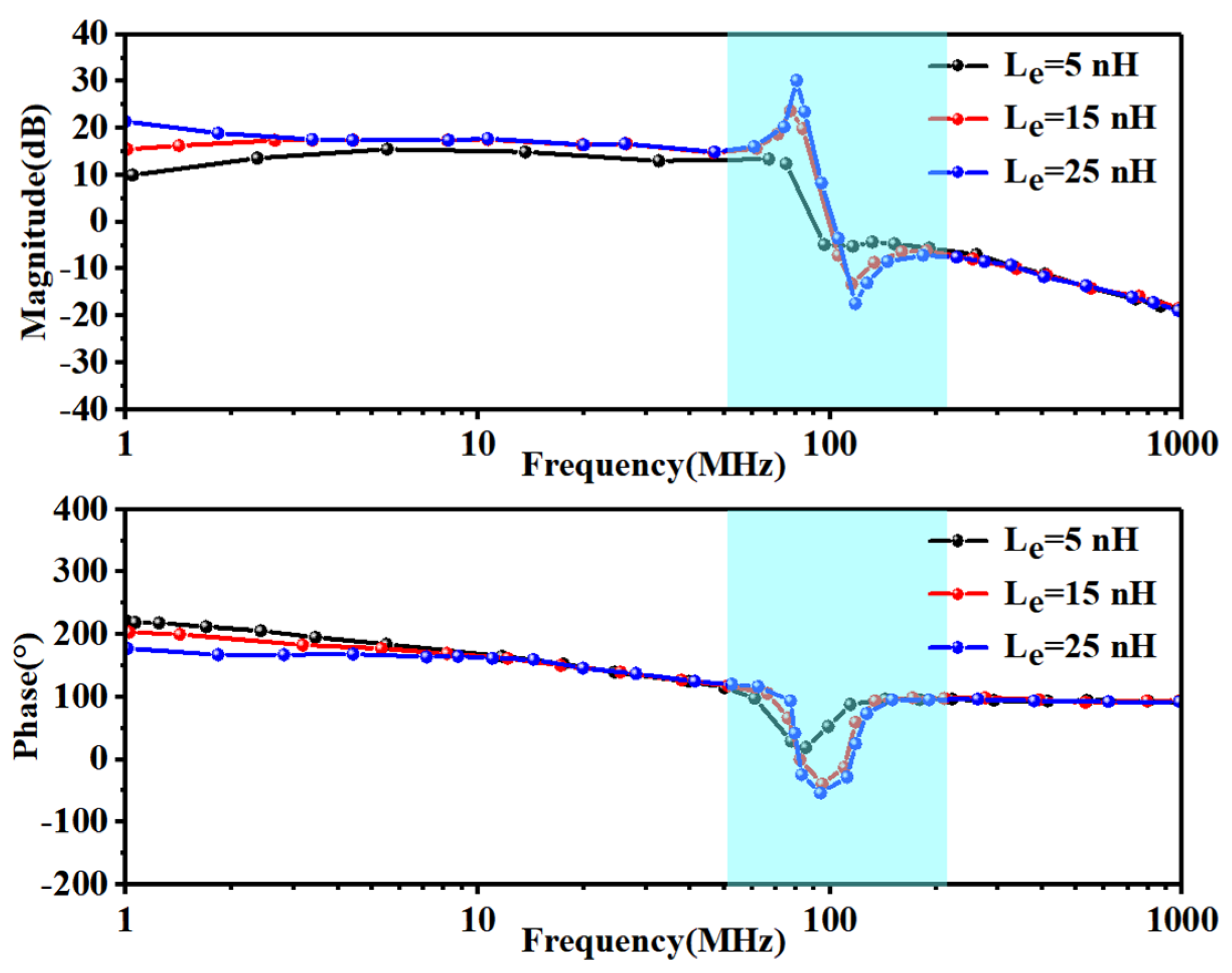
3. Gate Oscillation Mechanism Analysis
4. Short-Circuit Gate Oscillation Suppression Methods
4.1. Impact of Gate Drive Resistance on Gate Oscillations
4.2. Impact of Gate Drive Capacitance on Gate Oscillations
4.3. Impact of Adding Parallel Lines to the Common Emitter on Gate Oscillation
5. Conclusions
Author Contributions
Funding
Institutional Review Board Statement
Informed Consent Statement
Data Availability Statement
Conflicts of Interest
References
- Liu, X.; Kowalsky, J.; Herrmann, C.; Baumler, C.; Lutz, J. The influence of the gate driver and common-source inductance on the short-circuit behavior of IGBT modules and protection. IEEE Trans. Power Electron. 2020, 35, 10789–10798. [Google Scholar] [CrossRef]
- Dou, Z.; Yang, Y.; Zheng, A.; Wang, N. A critical fault-tolerant inverter based on internal evolutionary short-circuit failure mechanism of IGBT module. IEEE Trans. Compon. Packag. Manuf. Technol. 2022, 12, 1914–1921. [Google Scholar] [CrossRef]
- Abuelnaga, A.; Narimani, M.; Bahman, A.S. Power electronic converter reliability and prognosis review focusing on power switch module failures. J. Power Electron. 2021, 21, 865–880. [Google Scholar] [CrossRef]
- Abbate, C.; Busatto, G.; Sanseverino, A.; Velardi, F.; Iavarone, S.; Ronsisvalle, C. Measurement of IGBT high-frequency input impedance in short circuit. IEEE Trans. Power Electron. 2017, 32, 584–592. [Google Scholar] [CrossRef]
- Mohsenzade, S. A gate driving strategy for the series-connected IGBTs to improve the resilience against IGBTs short-circuit failures. IEEE Trans. Ind. Electron. 2022, 69, 9961–9971. [Google Scholar] [CrossRef]
- Yang, F.; Tan, J.; Lu, S.; Zhu, Y. Investigation on the robustness during short-circuit turn-off and its tradeoff characteristics with performance in IGBTs. IEEE Trans. Electron Devices 2017, 64, 3293–3297. [Google Scholar] [CrossRef]
- Schulze, H.-J.; Niedernostheide, F.-J.; Pfirsch, F.; Baburske, R. Limiting factors of the safe operating area for power devices. IEEE Trans. Electron Devices 2013, 60, 551–562. [Google Scholar] [CrossRef]
- Zhang, W.; Wang, X.; Dahidah, M.S.A.; Thompson, G.N.; Pickert, V.; Elgendy, M.A. An investigation of gate voltage oscillation and its suppression for SiC MOSFET. IEEE Access 2020, 8, 127781–127788. [Google Scholar] [CrossRef]
- Reigosa, P.D.; Iannuzzo, F.; Corvasce, C.; Rahimo, M. Modeling of IGBT with high bipolar gain for mitigating gate voltage oscillations during short circuit. IEEE J. Emerg. Sel. Top. Power Electron. 2019, 7, 1584–1592. [Google Scholar] [CrossRef]
- Reigosa, P.D.; Iannuzzo, F.; Rahimo, M.; Corvasce, C.; Blaabjerg, F. Improving the short-circuit reliability in IGBTs: How to mitigate oscillations. IEEE Trans. Power Electron. 2018, 33, 5603–5612. [Google Scholar] [CrossRef]
- Van Treek, V.; Schulze, H.-J.; Niedernostheide, F.-J.; Sandow, C.; Baburske, R.; Pfirsch, F. Influence of doping profiles and chip temperature on short-circuit oscillations of IGBTs. In Proceedings of the 2018 IEEE 30th International Symposium on Power Semiconductor Devices and ICs (ISPSD), Chicago, IL, USA, 13–17 May 2018; pp. 108–111. [Google Scholar] [CrossRef]
- Liu, X.; Basler, T. Investigation of the gate voltage overshoot of IGBTs under short circuit type II condition. IEEE Trans. Electron Devices 2023, 70, 1763–1768. [Google Scholar] [CrossRef]
- Reigosa, P.D.; Wu, R.; Iannuzzo, F.; Blaabjerg, F. Robustness of MW-Level IGBT modules against gate oscillations under short circuit events. Microelectron. Reliab. 2015, 55, 1950–1955. [Google Scholar] [CrossRef]
- Basler, T.; Lutz, J.; Jakob, R.; Brückner, T. The influence of asymmetries on the parallel connection of IGBT chips under short-circuit condition. In Proceedings of the 2011 14th European Conference on Power Electronics and Applications, Birmingham, UK, 30 August–1 September 2011; pp. 1–8. [Google Scholar]
- Liang, X.; Xu, P.; Xie, Z.; Xu, Y.; Zhang, M.; Feng, T.; Wen, H. Gate voltage oscillation mitigation in solid-state circuit breakers with single-gate driven series-connected power devices. IEEE Trans. Compon. Packag. Manuf. Technol. 2024, 1. [Google Scholar] [CrossRef]
- Wu, X.; Wu, Y.; Wu, Y.; Rong, M.; Tao, C.; Xiao, Y.; Wang, J. Mitigating gate oscillations of parallel SiC MOSFETs for enhanced performance in DC solid-state circuit breaker. IEEE J. Emerg. Sel. Top. Power Electron. 2024, 12, 1822–1833. [Google Scholar] [CrossRef]
- Fan, J.; Cui, X.; He, Y.; Zhao, Z.; Tang, X.; Li, X.; Chen, Z. The modified formula for PETT oscillation frequency in IGBT devices. IEEE Trans. Power Electron. 2021, 36, 4960–4964. [Google Scholar] [CrossRef]
- Shu, L.; Zhang, J.; Shao, S. Crosstalk analysis and suppression for a closed-loop active IGBT gate driver. IEEE J. Emerg. Sel. Top. Power Electron. 2019, 7, 1931–1940. [Google Scholar] [CrossRef]
- Zhu, A.; Ye, S.; Kang, J.; Xin, Z.; Luo, H.; Iannuzzo, F.; Li, W.; He, X. Analytical modeling and sensitivity analysis on plasma extraction transit time (PETT) oscillations in high-voltage NPT p-i-n diode. IEEE J. Emerg. Sel. Top. Power Electron. 2023, 11, 1754–1766. [Google Scholar] [CrossRef]











| Equipment | Model |
|---|---|
| Oscilloscope | MSO56 5-BW-500 |
| Pulse Generator | QTJ15610A |
| High-Voltage DC Power Supply | TDK Z+ 650-1 |
| Auxiliary DC Power Supply | ITECH IT6302 |
| High-Voltage Probe | Tek THDP0200 |
| Rogowski Coil | IWATSU SS-286A |
| Load Inductance | FS-L-500 |
| Driver Board | FZ1200R33KF2C |
| Adapter Board | Self-developed Adapter Board |
| Parameters | Values |
|---|---|
| Le1 | 10.76 nH |
| Le2 | 10.87 nH |
| Le3 | 11.34 nH |
| Le4 | 10.99 nH |
| Parameters | Initial Structure | Optimized Structure with Parallel Bond Wires |
|---|---|---|
| Le1 | 10.76 nH | 7.18 nH |
| Le2 | 10.87 nH | 7.20 nH |
| Le3 | 11.34 nH | 7.32 nH |
| Le4 | 10.99 nH | 7.41 nH |
Disclaimer/Publisher’s Note: The statements, opinions and data contained in all publications are solely those of the individual author(s) and contributor(s) and not of MDPI and/or the editor(s). MDPI and/or the editor(s) disclaim responsibility for any injury to people or property resulting from any ideas, methods, instructions or products referred to in the content. |
© 2024 by the authors. Licensee MDPI, Basel, Switzerland. This article is an open access article distributed under the terms and conditions of the Creative Commons Attribution (CC BY) license (https://creativecommons.org/licenses/by/4.0/).
Share and Cite
Ma, K.; Sun, Y.; Liu, X.; Song, Y.; Li, X.; Shi, H.; Feng, Z.; Zhang, X.; Zhou, Y.; Liu, S. The Mechanism of Short-Circuit Oscillations in Automotive-Grade Multi-Chip Parallel Power Modules and an Effective Mitigation Approach. Sensors 2024, 24, 2858. https://doi.org/10.3390/s24092858
Ma K, Sun Y, Liu X, Song Y, Li X, Shi H, Feng Z, Zhang X, Zhou Y, Liu S. The Mechanism of Short-Circuit Oscillations in Automotive-Grade Multi-Chip Parallel Power Modules and an Effective Mitigation Approach. Sensors. 2024; 24(9):2858. https://doi.org/10.3390/s24092858
Chicago/Turabian StyleMa, Kun, Yameng Sun, Xun Liu, Yifan Song, Xuehan Li, Huimin Shi, Zheng Feng, Xiao Zhang, Yang Zhou, and Sheng Liu. 2024. "The Mechanism of Short-Circuit Oscillations in Automotive-Grade Multi-Chip Parallel Power Modules and an Effective Mitigation Approach" Sensors 24, no. 9: 2858. https://doi.org/10.3390/s24092858
APA StyleMa, K., Sun, Y., Liu, X., Song, Y., Li, X., Shi, H., Feng, Z., Zhang, X., Zhou, Y., & Liu, S. (2024). The Mechanism of Short-Circuit Oscillations in Automotive-Grade Multi-Chip Parallel Power Modules and an Effective Mitigation Approach. Sensors, 24(9), 2858. https://doi.org/10.3390/s24092858

