Electrochemical Detection of Bisphenol A Based on Gold Nanoparticles/Multi-Walled Carbon Nanotubes: Applications on Glassy Carbon and Screen Printed Electrodes
Abstract
1. Introduction
2. Materials and Methods
2.1. Reagents
2.2. Sensor Assembly
2.3. Electrode Measurements and Nanocomposite Characterization
3. Results and Discussion
3.1. Raman, Scanning Electron Microscopy, and Energy-Dispersive X-ray Characterization of the CNT/Au Composite
3.2. Characterization and Analytical Properties of GCE/CNT/Au Electrodes
3.2.1. Evaluation of the Catalytic Activity toward BPA during the Assembling Process
3.2.2. Effect of the Scan Rate
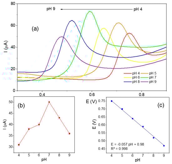
3.2.3. Effect of the pH on the Determination of BPA
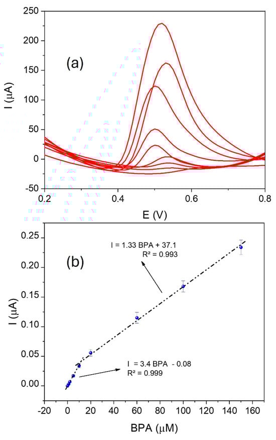
3.2.4. Analytical Performance for GCE/CNT/Au
3.3. Characterization and Analytical Properties of SPE/CNT/Au Electrodes: For FIA Applications
3.3.1. Analytical Performance for SPE/CNT/Au under FIA Approach
3.3.2. Interference, Stability, and Reproducibility Tests
3.3.3. Analysis Applications
4. Conclusions
Supplementary Materials
Author Contributions
Funding
Institutional Review Board Statement
Informed Consent Statement
Data Availability Statement
Acknowledgments
Conflicts of Interest
References
- Zhang, Y.; Cheng, Y.; Zhou, Y.; Li, B.; Gu, W.; Shi, X.; Xian, Y. Electrochemical sensor for bisphenol A based on magnetic nanoparticles decorated reduced graphene oxide. Talanta 2013, 107, 211–218. [Google Scholar] [CrossRef] [PubMed]
- Niu, X.; Yang, W.; Wang, G.; Ren, J.; Guo, H.; Gao, J. A novel electrochemical sensor of bisphenol A based on stacked graphene nanofibers/gold nanoparticles composite modified glassy carbon electrode. Electrochim. Acta 2013, 98, 167–175. [Google Scholar] [CrossRef]
- Xu, W.; Zhang, Y.; Yin, X.; Zhang, L.; Cao, Y.; Ni, X.; Huang, W. Highly sensitive electrochemical BPA sensor based on titanium nitride-reduced graphene oxide composite and core-shell molecular imprinting particles. Anal. Bioanal. Chem. 2021, 413, 1081–1090. [Google Scholar] [CrossRef]
- Ginter-Kramarczyk, D.; Zembrzuska, J.; Kruszelnicka, I.; Zając-Woźnialis, A.; Ciślak, M. Influence of Temperature on the Quantity of Bisphenol A in Bottled Drinking Water. Int. J. Environ. Res. Public Health 2022, 19, 5710. [Google Scholar] [CrossRef] [PubMed]
- da Silva Costa, R.; Sainara Maia Fernandes, T.; de Sousa Almeida, E.; Tomé Oliveira, J.; Carvalho Guedes, J.A.; Julião Zocolo, G.; Wagner de Sousa, F.; do Nascimento, R.F. Potential risk of BPA and phthalates in commercial water bottles: A minireview. J. Water Health 2021, 19, 411–435. [Google Scholar] [CrossRef]
- Alam, A.U.; Deen, M.J. Bisphenol A Electrochemical Sensor Using Graphene Oxide and β-Cyclodextrin-Functionalized Multi-Walled Carbon Nanotubes. Anal. Chem. 2020, 92, 5532–5539. [Google Scholar] [CrossRef]
- Tarafdar, A.; Sirohi, R.; Balakumaran, P.A.; Reshmy, R.; Madhavan, A.; Sindhu, R.; Binod, P.; Kumar, Y.; Kumar, D.; Sim, S.J. The hazardous threat of Bisphenol A: Toxicity, detection and remediation. J. Hazard. Mater. 2022, 423, 127097. [Google Scholar] [CrossRef]
- Zhan, T.; Song, Y.; Tan, Z.; Hou, W. Electrochemical bisphenol A sensor based on exfoliated Ni2Al-layered double hydroxide nanosheets modified electrode. Sens. Actuators B Chem. 2017, 238, 962–971. [Google Scholar] [CrossRef]
- Zhang, J.; Xu, X.; Chen, L. An ultrasensitive electrochemical bisphenol A sensor based on hierarchical Ce-metal-organic framework modified with cetyltrimethylammonium bromide. Sens. Actuators B Chem. 2018, 261, 425–433. [Google Scholar] [CrossRef]
- Ma, Y.; Guo, J.; Chen, Y.; Yi, Y.; Zhu, G. Electrochemical sensing of phenolics based on copper/cobalt/nitrogen co-doped hollow nanocarbon spheres. J. Electroanal. Chem. 2021, 892, 115263. [Google Scholar] [CrossRef]
- Manfo, F.P.; Jubendradass, R.; Nantia, E.A.; Moundipa, P.F.; Mathur, P.P. Adverse effects of bisphenol A on male reproductive function. Rev. Environ. Contam. Toxicol. 2014, 228, 57–82. [Google Scholar]
- Rochester, J.R. Bisphenol A and human health: A review of the literature. Reprod. Toxicol. 2013, 42, 132–155. [Google Scholar] [CrossRef]
- Ohore, O.E.; Zhang, S. Endocrine disrupting effects of bisphenol A exposure and recent advances on its removal by water treatment systems. A review. Sci. Afr. 2019, 5, e00135. [Google Scholar] [CrossRef]
- Regulation (EU), No.10/2011 of 14 January 2011 on Plastic Materials and Articles Intended to Come into Contact with Food. 2011. Available online: https://eur-lex.europa.eu/eli/reg/2011/10/oj (accessed on 15 April 2024).
- Ma, W.; Wan, S.; Lin, C.; Lin, X.; Xie, Z. Towards online specific recognition and sensitive analysis of bisphenol A by using AuNPs@aptamer hybrid-silica affinity monolithic column with LC-MS. Talanta 2020, 219, 121275. [Google Scholar] [CrossRef]
- Martín-Pozo, L.; Martín-Bueno, J.; Moscoso-Ruiz, I.; Zafra-Gómez, A. Chapter 18—Methods of bisphenol A detection by gas chromatography and mass spectrometry (GC-Ms) in human breast milk and foodstuff. In Emerging Contaminants in the Environment; Sarma, H., Dominguez, D.C., Lee, W.-Y., Eds.; Elsevier: Amsterdam, The Netherlands, 2022; pp. 465–493. [Google Scholar]
- Owczarek, K.; Waraksa, E.; Kłodzińska, E.; Zrobok, Y.; Ozimek, M.; Rachoń, D.; Kudłak, B.; Wasik, A.; Mazerska, Z. Validated GC–MS method for determination of bisphenol a and its five analogues in dietary and nutritional supplements. Microchem. J. 2022, 180, 107643. [Google Scholar] [CrossRef]
- Vidal, R.B.P.; Ibañez, G.A.; Escandar, G.M. Chemometrics-assisted cyclodextrin-enhanced excitation–emission fluorescence spectroscopy for the simultaneous green determination of bisphenol A and nonylphenol in plastics. Talanta 2015, 143, 162–168. [Google Scholar] [CrossRef] [PubMed]
- Hou, C.; Zhao, L.; Geng, F.; Wang, D.; Guo, L.-H. Donor/acceptor nanoparticle pair-based singlet oxygen channeling homogenous chemiluminescence immunoassay for quantitative determination of bisphenol A. Anal. Bioanal. Chem. 2016, 408, 8795–8804. [Google Scholar] [CrossRef] [PubMed]
- Lei, Y.; Fang, L.; Hamid Akash, M.S.; Liu, Z.; Shi, W.; Chen, S. Development and comparison of two competitive ELISAs for the detection of bisphenol A in human urine. Anal. Methods 2013, 5, 6106–6113. [Google Scholar] [CrossRef]
- Zhang, C.; Yi, Y.; Zhou, Y.; Zhou, R.; Zhu, G. Homogeneous electroanalysis coupled with colorimetry dual-mode sensing of silver ion in water based on target-inhibited peroxidase activity of Pt@ZIF-8 nanozyme. Microchem. J. 2024, 197, 109839. [Google Scholar] [CrossRef]
- Liu, X.; Yao, Y.; Ying, Y.; Ping, J. Recent advances in nanomaterial-enabled screen-printed electrochemical sensors for heavy metal detection. TrAC Trends Anal. Chem. 2019, 115, 187–202. [Google Scholar] [CrossRef]
- Dhaffouli, A.; Salazar-Carballo, P.A.; Carinelli, S.; Holzinger, M.; Barhoumi, H. Improved electrochemical sensor using functionalized silica nanoparticles (SiO2-APTES) for high selectivity detection of lead ions. Mater. Chem. Phys. 2024, 318, 129253. [Google Scholar] [CrossRef]
- Baluta, S.; Meloni, F.; Halicka, K.; Szyszka, A.; Zucca, A.; Pilo, M.I.; Cabaj, J. Differential pulse voltammetry and chronoamperometry as analytical tools for epinephrine detection using a tyrosinase-based electrochemical biosensor. RSC Adv. 2022, 12, 25342–25353. [Google Scholar] [CrossRef] [PubMed]
- Jebril, S.; Cubillana-Aguilera, L.; Palacios-Santander, J.M.; Dridi, C. A novel electrochemical sensor modified with green gold sononanoparticles and carbon black nanocomposite for bisphenol A detection. Mater. Sci. Eng. B 2021, 264, 114951. [Google Scholar] [CrossRef]
- Zhang, J.; Xu, X.; Chen, Z. A highly sensitive electrochemical sensor for bisphenol A using cetyltrimethylammonium bromide functionalized carbon nanohorn modified electrode. Ionics 2018, 24, 2123–2134. [Google Scholar] [CrossRef]
- Zhang, Y.; Lei, Y.; Lu, H.; Shi, L.; Wang, P.; Ali, Z.; Li, J. Electrochemical detection of bisphenols in food: A review. Food Chem. 2021, 346, 128895. [Google Scholar] [CrossRef] [PubMed]
- Aralekallu, S.; Palanna, M.; Hadimani, S.; Prabhu, C.P.K.; Sajjan, V.A.; Thotiyl, M.O.; Sannegowda, L.K. Biologically inspired catalyst for electrochemical reduction of hazardous hexavalent chromium. Dalton Trans. 2020, 49, 15061–15071. [Google Scholar] [CrossRef]
- Sajjan, V.A.; Aralekallu, S.; Nemakal, M.; Palanna, M.; Keshavananda Prabhu, C.P.; Koodlur Sannegowda, L. Nanomolar detection of 4-nitrophenol using Schiff-base phthalocyanine. Microchem. J. 2021, 164, 105980. [Google Scholar] [CrossRef]
- Bounegru, A.V.; Apetrei, C. Carbonaceous Nanomaterials Employed in the Development of Electrochemical Sensors Based on Screen-Printing Technique—A Review. Catalysts 2020, 10, 680. [Google Scholar] [CrossRef]
- Musa, A.M.; Kiely, J.; Luxton, R.; Honeychurch, K.C. An Electrochemical Screen-Printed Sensor Based on Gold-Nanoparticle-Decorated Reduced Graphene Oxide-Carbon Nanotubes Composites for the Determination of 17-beta Estradiol. Biosensors 2023, 13, 491. [Google Scholar] [CrossRef]
- Fritea, L.; Banica, F.; Costea, T.O.; Moldovan, L.; Dobjanschi, L.; Muresan, M.; Cavalu, S. Metal Nanoparticles and Carbon-Based Nanomaterials for Improved Performances of Electrochemical (Bio)Sensors with Biomedical Applications. Materials 2021, 14, 6319. [Google Scholar] [CrossRef]
- Otero, F.; Magner, E. Biosensors—Recent Advances and Future Challenges in Electrode Materials. Sensors 2020, 20, 3561. [Google Scholar] [CrossRef]
- de Faria, L.V.; Lisboa, T.P.; de Farias, D.M.; Araujo, F.M.; Machado, M.M.; de Sousa, R.A.; Matos, M.A.C.; Munoz, R.A.A.; Matos, R.C. Direct analysis of ascorbic acid in food beverage samples by flow injection analysis using reduced graphene oxide sensor. Food Chem. 2020, 319, 126509. [Google Scholar] [CrossRef]
- Trojanowicz, M.; Pyszynska, M. Flow-Injection Methods in Water Analysis-Recent Developments. Molecules 2022, 27, 1410. [Google Scholar] [CrossRef] [PubMed]
- Martínez-Paredes, G.; González-García, M.B.; Costa-García, A. In situ electrochemical generation of gold nanostructured screen-printed carbon electrodes. Application to the detection of lead underpotential deposition. Electrochim. Acta 2009, 54, 4801–4808. [Google Scholar] [CrossRef]
- Pérez-Fernández, B.; Martín-Yerga, D.; Costa-García, A. Galvanostatic electrodeposition of copper nanoparticles on screen-printed carbon electrodes and their application for reducing sugars determination. Talanta 2017, 175, 108–113. [Google Scholar] [CrossRef] [PubMed]
- Rivera-Gavidia, L.M.; Fernández de la Puente, I.; Hernández-Rodríguez, M.A.; Celorrio, V.; Sebastián, D.; Lázaro, M.J.; Pastor, E.; García, G. Bi-functional carbon-based catalysts for unitized regenerative fuel cells. J. Catal. 2020, 387, 138–144. [Google Scholar] [CrossRef]
- Carinelli, S.; Fernández, I.; Luis González-Mora, J.; Salazar-Carballo, P.A. Hemoglobin-modified nanoparticles for electrochemical determination of haptoglobin: Application in bovine mastitis diagnosis. Microchem. J. 2022, 179, 107528. [Google Scholar] [CrossRef]
- Fernández, I.; González-Mora, J.L.; Lorenzo-Luis, P.; Villalonga, R.; Salazar-Carballo, P.A. Nickel oxide nanoparticles-modified glassy carbon electrodes for non-enzymatic determination of total sugars in commercial beverages. Microchem. J. 2020, 159, 105538. [Google Scholar] [CrossRef]
- Zhang, S.; Zhao, W.; Liu, C.; Zeng, J.; He, Z.; Wang, C.; Yuan, W.; Wang, Q. Flower-like CoO nanowire-decorated Ni foam: A non-invasive electrochemical biosensor for glucose detection in human saliva. Appl. Mater. Today 2024, 36, 102083. [Google Scholar] [CrossRef]
- Baghayeri, M.; Nazarzadeh Zare, E.; Mansour Lakouraj, M. A simple hydrogen peroxide biosensor based on a novel electro-magnetic poly(p-phenylenediamine)@Fe3O4 nanocomposite. Biosens. Bioelectron. 2014, 55, 259–265. [Google Scholar] [CrossRef]
- Xing, Y.; Zhou, S.; Wu, G.; Wang, C.; Yuan, X.; Feng, Q.; Zhu, X.; Qu, J. A sensitive electrochemical sensor for bisphenol F detection and its application in evaluating cytotoxicity. Microchem. J. 2021, 168, 106414. [Google Scholar] [CrossRef]
- Laviron, E. Adsorption, autoinhibition and autocatalysis in polarography and in linear potential sweep voltammetry. J. Electroanal. Chem. Interfacial Electrochem. 1974, 52, 355–393. [Google Scholar] [CrossRef]
- Ławrywianiec, M.; Smajdor, J.; Paczosa-Bator, B.; Piech, R. High Sensitive Method for Determination of the Toxic Bisphenol A in Food/Beverage Packaging and Thermal Paper Using Glassy Carbon Electrode Modified with Carbon Black Nanoparticles. Food Anal. Methods 2017, 10, 3825–3835. [Google Scholar] [CrossRef]
- Ben Jaballah, M.; Ben Messaoud, N.; Dridi, C. Nanoengineering of new cost-effective nanosensor based on functionalized MWCNT and Ag nanoparticles for sensitive detection of BPA in drinking water. Appl. Phys. A 2021, 127, 713. [Google Scholar] [CrossRef]
- Jemmeli, D.; Dridi, C.; Abbas, M.N.; Dempsey, E. Development of highly sensitive and selective bisphenol A sensor based on a cobalt phthalocyanine-modified carbon paste electrode: Application in dairy analysis. Anal. Methods 2021, 13, 4674–4682. [Google Scholar] [CrossRef] [PubMed]
- Xin, X.; Sun, S.; Li, H.; Wang, M.; Jia, R. Electrochemical bisphenol A sensor based on core–shell multiwalled carbon nanotubes/graphene oxide nanoribbons. Sens. Actuators B Chem. 2015, 209, 275–280. [Google Scholar] [CrossRef]
- Ndlovu, T.; Arotiba, O.A.; Sampath, S.; Krause, R.W.; Mamba, B.B. An Exfoliated Graphite-Based Bisphenol A Electrochemical Sensor. Sensors 2012, 12, 11601–11611. [Google Scholar] [CrossRef]
- Li, Q.; Li, H.; Du, G.-F.; Xu, Z.-H. Electrochemical detection of bisphenol A mediated by [Ru(bpy)3]2+ on an ITO electrode. J. Hazard. Mater. 2010, 180, 703–709. [Google Scholar] [CrossRef]
- Kim, M.; Song, Y.E.; Xiong, J.-Q.; Kim, K.-Y.; Jang, M.; Jeon, B.-H.; Kim, J.R. Electrochemical detection and simultaneous removal of endocrine disruptor, bisphenol A using a carbon felt electrode. J. Electroanal. Chem. 2021, 880, 114907. [Google Scholar] [CrossRef]
- Gugoasa, L.A.D. Review—Electrochemical Sensors for Determination of the Endocrine Disruptor, Bisphenol A. J. Electrochem. Soc. 2020, 167, 037506. [Google Scholar] [CrossRef]
- Trojanowicz, M. Impact of nanotechnology on progress of flow methods in chemical analysis: A review. Anal. Chim. Acta 2023, 1276, 341643. [Google Scholar] [CrossRef]
- Mezaal, E.N.; Kawther Ahmed, S.; Tamara Ahmed Abdel, K. A Review using continuous flow injection analysis technique in the determination of several drugs. Ibn AL-Haitham J. Pure Appl. Sci. 2024, 37, 221–235. [Google Scholar] [CrossRef]
- Sun, J.; Liu, Y.; Lv, S.; Huang, Z.; Cui, L.; Wu, T. An Electrochemical Sensor Based on Nitrogen-doped Carbon Nanofiber for Bisphenol A Determination. Electroanalysis 2016, 28, 439–444. [Google Scholar] [CrossRef]
- He, S.; Xia, H.; Chang, F. Enzyme free electrochemical determination of bisphenol A using screen-printed electrode modified by graphdiyne and carbon nanotubes. Microchem. J. 2022, 182, 107858. [Google Scholar] [CrossRef]
- Shim, K.; Kim, J.; Shahabuddin, M.; Yamauchi, Y.; Hossain, M.S.A.; Kim, J.H. Efficient wide range electrochemical bisphenol-A sensor by self-supported dendritic platinum nanoparticles on screen-printed carbon electrode. Sens. Actuators B Chem. 2018, 255, 2800–2808. [Google Scholar] [CrossRef]
- Huang, K.-J.; Liu, Y.-J.; Liu, Y.-M.; Wang, L.-L. Molybdenum disulfide nanoflower-chitosan-Au nanoparticles composites based electrochemical sensing platform for bisphenol A determination. J. Hazard. Mater. 2014, 276, 207–215. [Google Scholar] [CrossRef]
- Shi, R.; Yuan, X.; Liu, A.; Xu, M.; Zhao, Z. Determination of Bisphenol A in Beverages by an Electrochemical Sensor Based on Rh2O3/Reduced Graphene Oxide Composites. Appl. Sci. 2018, 8, 2535. [Google Scholar] [CrossRef]
- Zheng, Z.; Du, Y.; Wang, Z.; Feng, Q.; Wang, C. Pt/graphene–CNTs nanocomposite based electrochemical sensors for the determination of endocrine disruptor bisphenol A in thermal printing papers. Analyst 2013, 138, 693–701. [Google Scholar] [CrossRef]
- Wang, J.-Y.; Su, Y.-L.; Wu, B.-H.; Cheng, S.-H. Reusable electrochemical sensor for bisphenol A based on ionic liquid functionalized conducting polymer platform. Talanta 2016, 147, 103–110. [Google Scholar] [CrossRef]
- Ben Messaoud, N.; Ghica, M.E.; Dridi, C.; Ben Ali, M.; Brett, C.M.A. Electrochemical sensor based on multiwalled carbon nanotube and gold nanoparticle modified electrode for the sensitive detection of bisphenol A. Sens. Actuators B Chem. 2017, 253, 513–522. [Google Scholar] [CrossRef]
- Tu, X.; Yan, L.; Luo, X.; Luo, S.; Xie, Q. Electroanalysis of Bisphenol A at a Multiwalled Carbon Nanotubes-gold Nanoparticles Modified Glassy Carbon Electrode. Electroanalysis 2009, 21, 2491–2494. [Google Scholar] [CrossRef]
- Yi, Y.; Zhang, D.; An, P.; Zhu, G. Nitrogen Coordinated Copper Co-Doped Multi-Walled Carbon Nanotubes for High-Efficiency Electrochemical Sensing of Bisphenol A. J. Electrochem. Soc. 2020, 167, 146515. [Google Scholar] [CrossRef]








| Sensor Material | Detection Method | LoD (nM) | Linear Range (μM) | References |
|---|---|---|---|---|
| NCNF/CPE a | DPV | 50 | 0.1–60 | [55] |
| GO-MWCNT-βCD/SPE b | LSV | 6 | 0.05–5/5–30 | [6] |
| GDY-cMWCNT/SPE c | LSV | 13 | 0.2–500 | [56] |
| DPNs d | Amp | 6.6 | 0.01–1/1–300 | [57] |
| AuNPs/MoS2 e | CV | 5 | 0.05–100 | [58] |
| Rh2O3-rGO f | CV | 120 | 0.6–40 | [59] |
| Ni2Al-LDH g | DPV | 7 | 0.02–1.51 | [8] |
| GCE/MNPs-rGO-CS h | DPV | 170 | 0.06–11 | [1] |
| GCE/Pt-Gr-CNTs i | DPV | 420 | 0.06–10 | [60] |
| SPCE/PEDOT/NMIMBr j | CV | 20 | 0.1–500 | [61] |
| AuNP/MWCNT/GCE k | DPV | 4.3 | 0.01–0.7 | [62] |
| MWCNT-GNPs/GCE l | DPV | 7.5 | 0.02–20 | [63] |
| MWCNTs@Cu-N-PC m | DPV | 5.8 | 0.01–100 | [64] |
| GCE/CNT/Au | DPV | 31 | 0–10 | This work |
| GCE/CNT/Au | DPV | -- | 10–160 | This work |
| SPE/CNT/Au | CPA/FIA | 5 | 1–20 | This work |
| SPE/CNT/Au | CPA/FIA | -- | 20–100 | This work |
| Interference | Concentration (mM) | Signal Change (%) | RSD a (%) |
|---|---|---|---|
| Glucose | 0.5 | −3.8 | 1.10 |
| Fructose | 0.5 | −1.8 | 2.74 |
| Lactose | 0.5 | 1.1 | 1.57 |
| Sucrose | 0.5 | −11.2 | 2.15 |
| Urea | 0.5 | −8.1 | 0.50 |
| Ethanol | 0.5 | 2.3 | 0.93 |
| Methanol | 0.5 | −13.0 | 0.41 |
| KNO3 | 0.5 | −1.6 | 1.64 |
| MgSO4 | 0.5 | −8.8 | 0.39 |
| NH4Cl | 0.5 | −2.0 | 0.95 |
| Na2CO3 | 0.5 | −2.4 | 1.30 |
| Sample a | Spiked (μM) | Total b (μM) | Recovery c (%) | RSD d (%) |
|---|---|---|---|---|
| 1 | 0 | 2.14 | - | 1.5 |
| 2 | 4.20 | 101.4 | 1.5 | |
| 2.5 | 4.47 | 96.3 | 4.6 | |
| 5 | 6.94 | 97.2 | 0.45 | |
| 6 | 7.73 | 95.0 | 2.4 | |
| 2 | 0 | 3.09 | - | 4.2 |
| 2 | 5.16 | 101.4 | 2.7 | |
| 2.5 | 5.89 | 105.4 | 4.1 | |
| 5 | 7.98 | 98.6 | 3.6 | |
| 6 | 8.87 | 97.6 | 2.1 | |
| 3 | 0 | 4.39 | - | 4.6 |
| 2 | 6.10 | 95.5 | 3.4 | |
| 2.5 | 6.57 | 95.4 | 1.9 | |
| 5 | 9.49 | 101.1 | 0.95 | |
| 6 | 10.3 | 99.1 | 2.3 |
Disclaimer/Publisher’s Note: The statements, opinions and data contained in all publications are solely those of the individual author(s) and contributor(s) and not of MDPI and/or the editor(s). MDPI and/or the editor(s) disclaim responsibility for any injury to people or property resulting from any ideas, methods, instructions or products referred to in the content. |
© 2024 by the authors. Licensee MDPI, Basel, Switzerland. This article is an open access article distributed under the terms and conditions of the Creative Commons Attribution (CC BY) license (https://creativecommons.org/licenses/by/4.0/).
Share and Cite
Luis-Sunga, M.; Carinelli, S.; García, G.; González-Mora, J.L.; Salazar-Carballo, P.A. Electrochemical Detection of Bisphenol A Based on Gold Nanoparticles/Multi-Walled Carbon Nanotubes: Applications on Glassy Carbon and Screen Printed Electrodes. Sensors 2024, 24, 2570. https://doi.org/10.3390/s24082570
Luis-Sunga M, Carinelli S, García G, González-Mora JL, Salazar-Carballo PA. Electrochemical Detection of Bisphenol A Based on Gold Nanoparticles/Multi-Walled Carbon Nanotubes: Applications on Glassy Carbon and Screen Printed Electrodes. Sensors. 2024; 24(8):2570. https://doi.org/10.3390/s24082570
Chicago/Turabian StyleLuis-Sunga, Maximina, Soledad Carinelli, Gonzalo García, José Luis González-Mora, and Pedro A. Salazar-Carballo. 2024. "Electrochemical Detection of Bisphenol A Based on Gold Nanoparticles/Multi-Walled Carbon Nanotubes: Applications on Glassy Carbon and Screen Printed Electrodes" Sensors 24, no. 8: 2570. https://doi.org/10.3390/s24082570
APA StyleLuis-Sunga, M., Carinelli, S., García, G., González-Mora, J. L., & Salazar-Carballo, P. A. (2024). Electrochemical Detection of Bisphenol A Based on Gold Nanoparticles/Multi-Walled Carbon Nanotubes: Applications on Glassy Carbon and Screen Printed Electrodes. Sensors, 24(8), 2570. https://doi.org/10.3390/s24082570

