Influence of Double-Pulse Electrodeposition Parameters on the Performance of Ag/AgCl Electrochemical Electrode for Marine Electric Field
Abstract
1. Introduction
2. Experiments
2.1. Pretreatment of Silver Foil Substrate
2.2. Preparation of Ag/AgCl Electrochemical Electrode by Double-Pulse Electrodeposition
2.3. Characterization
3. Results and Discussion
3.1. Morphological Characterization of the Electrode
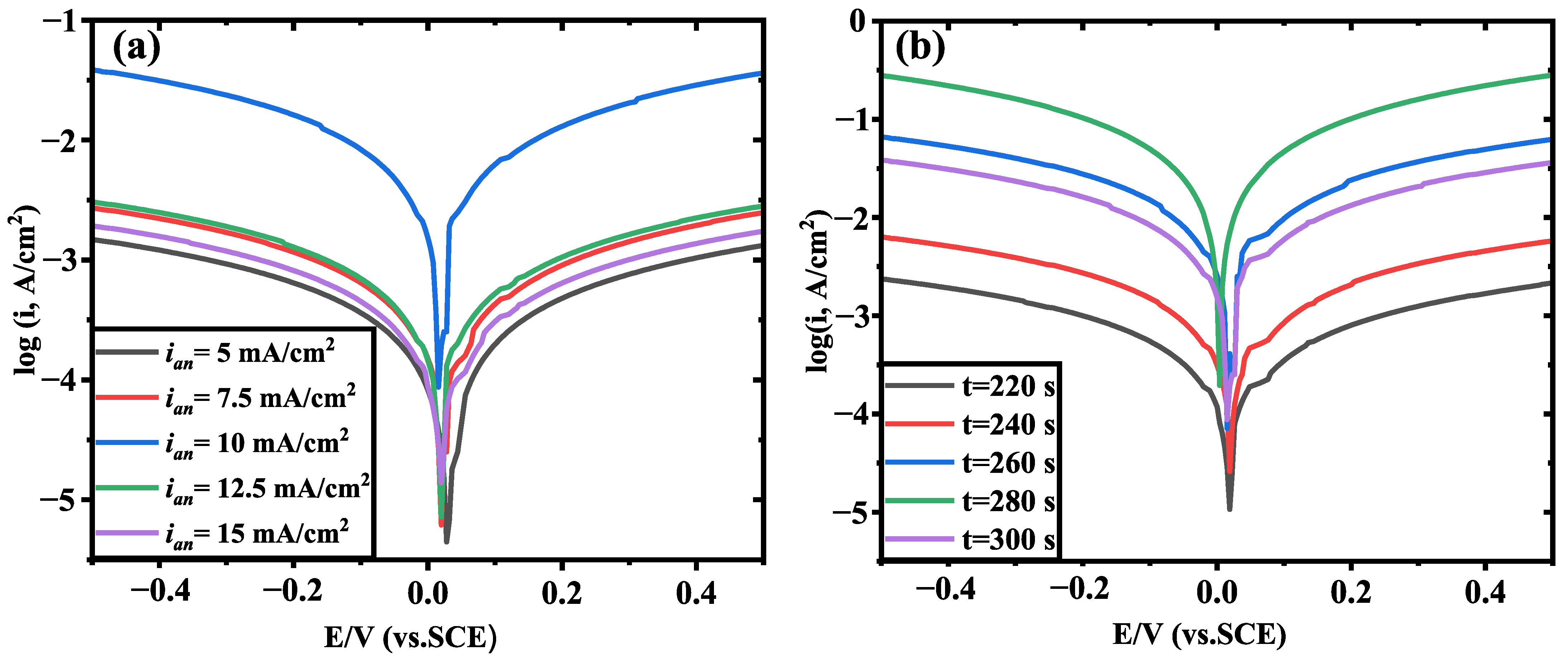
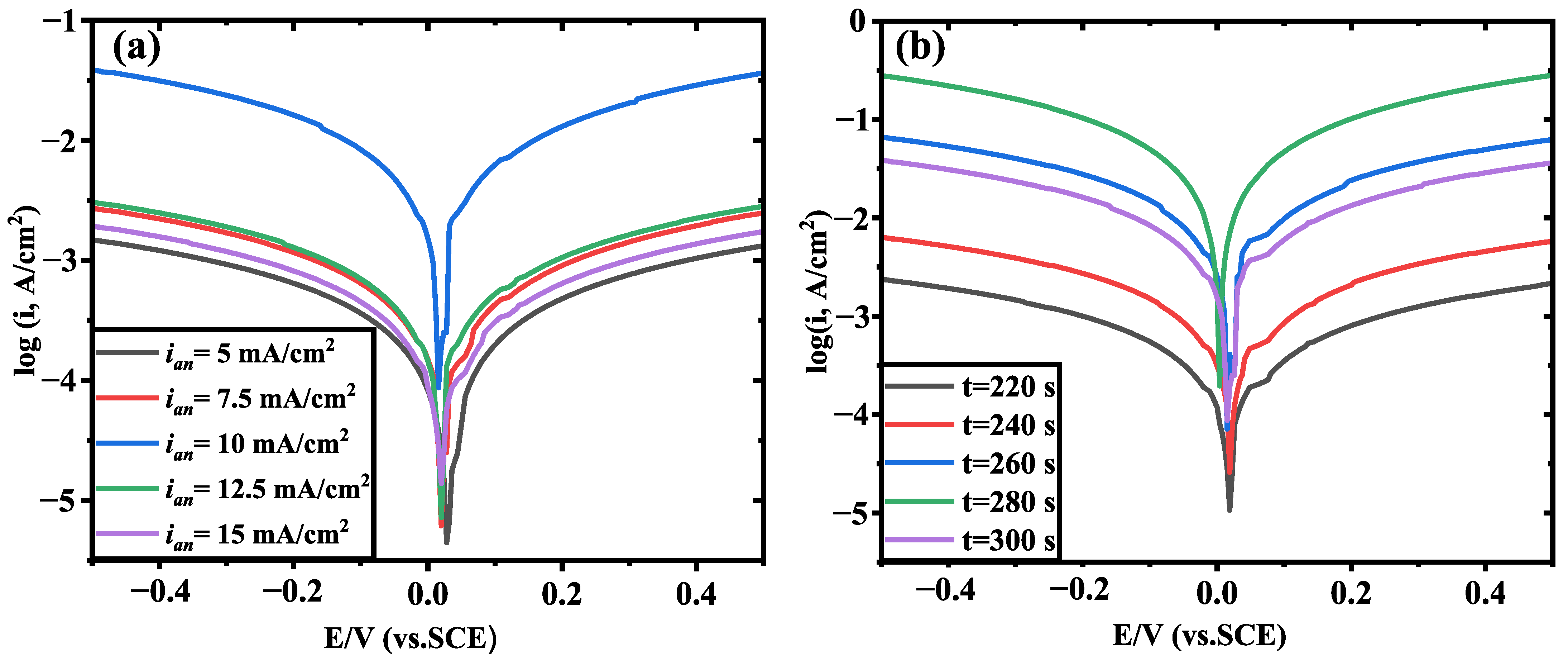
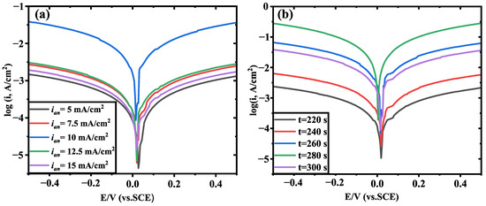
3.2. The Exchange Current Density of the Electrode
3.3. The Potential Stability of the Electrode
3.4. The Noise Level of the Electrode
4. Conclusions
Author Contributions
Funding
Institutional Review Board Statement
Informed Consent Statement
Data Availability Statement
Acknowledgments
Conflicts of Interest
References
- Kalmijn, A.J. Detection of weak electric fields. In Sensory Biology of Aquatic Animals; Springer: New York, NY, USA, 1988; pp. 151–186. [Google Scholar]
- Zhang, Z.; Schwanz, D.; Narayanan, B.; Kotiuga, M.; Dura, J.A.; Cherukara, M.; Zhou, H.; Freeland, J.W.; Li, J.; Sutarto, R.; et al. Perovskite nickelates as electric-field sensors in salt water. Nature 2018, 553, 68–72. [Google Scholar] [CrossRef] [PubMed]
- Duan, S.; Li, Y.; Pei, J.; Zhao, T.; Wu, Z.; Han, B.; Yu, X.; Liu, L.; Chen, J.; Xu, Z. Carbonate imaging with magnetotellurics in a shallow-water environment, South Yellow Sea, China. J. Appl. Geophys. 2020, 178, 104076. [Google Scholar] [CrossRef]
- Mohammed Shafeeq, K.K.; Nair, S.; Uma, D.G.; Mukundan, T. Fabrication of Ag/AgCl electrode for detection of electric field in marine environment. IOP Conf. Ser. Mater. Sci. Eng. 2019, 561, 012054. [Google Scholar] [CrossRef]
- Zai, J.; Fu, Y.; Zai, X.; Ji, H.; Liu, A.; Chai, F. Fabrication of novel Ag/AgCl electrode pair on the template of carbon foam as marine electric field sensor and its electrochemical performances. Ionics 2017, 23, 2213–2219. [Google Scholar] [CrossRef]
- Wang, Z.; Deng, M.; Chen, K.; Wang, M. An ultralow-noise Ag/AgCl electric field sensor with good stability for marine EM applications. In Proceedings of the 2013 Seventh International Conference on Sensing Technology (ICST), Wellington, New Zealand, 3–5 December 2013; IEEE: Piscataway, NJ, USA, 2013; pp. 747–750. [Google Scholar] [CrossRef]
- Li, H.; Xiao, H.; Song, Y. A preparation method of Ag/AgCl marine electric field electrode with sodium bicarbonate as foaming agent. Mater. Lett. 2022, 323, 132604. [Google Scholar] [CrossRef]
- Hu, Z.; Peng, Y.; Guo, D.; Li, W.; He, T.; Bao, Z.; Xu, J. Flexible composite Ag-AgNWs-CF as low noise marine electric field sensor. Compos. Part A Appl. Sci. Manuf. 2022, 152, 106711. [Google Scholar] [CrossRef]
- Luo, W.; Dong, H.; Xu, J.; Ge, J.; Liu, H.; Zhang, C. Development and characterization of high-stability all-solid-state porous electrodes for marine electric field sensors. Sens. Actuators A Phys. 2020, 301, 111730. [Google Scholar] [CrossRef]
- Chen, J.; Lu, Y.; Liu, L.; Xu, H. Self-repairing nanoporous MCNT/Ag/AgCl composite electrode as a low-cost and long-term stable marine potentiometric sensor. Sens. Actuators B Chem. 2022, 368, 132166. [Google Scholar] [CrossRef]
- Cagniard, L. Basic theory of the magneto-telluric method of geophysical prospecting. Geophysics 1953, 18, 605–635. [Google Scholar] [CrossRef]
- Constable, S.C.; Orange, A.S.; Hoversten, G.M.; Morrison, H.F. Marine magnetotellurics for petroleum exploration Part I: A sea-floor equipment system. Geophysics 1998, 63, 816–825. [Google Scholar] [CrossRef]
- Wang, Z.; Deng, M.; Chen, K.; Wang, M.; Zhang, Q.; Zeng, D. Development and evaluation of an ultralow-noise sensor system for marine electric field measurements. Sens. Actuators A Phys. 2014, 213, 70–78. [Google Scholar] [CrossRef]
- Hu, Z.; He, T.; Li, W.; Huang, J.; Zhang, A.; Wang, S.; Zhou, W.; Xu, J. Controllable 3D Flower-Like Ag-CF Electrodes as Flexible Marine Electric Field Sensors with High Stability. Inorg. Chem. 2023, 62, 3541–3554. [Google Scholar] [CrossRef]
- Filloux, J.H. Techniques and instrumentation for study of natural electromagnetic induction at sea. Phys. Earth Planet. Inter. 1973, 7, 323–338. [Google Scholar] [CrossRef]
- Dearth, L.C. Investigation of Electrode Materials for Low Frequency Electric Antennas in Sea Water. Masters Thesis, Naval Postgraduate School, Monterey, CA, USA, 1978. [Google Scholar]
- Song, Y.S.; Zhang, K.; Zuo, P. Choice of Electrode Material for Detecting Low Frequency Electric Field in Sea Water. Adv. Mater. Res. 2011, 239–242, 137–140. [Google Scholar] [CrossRef]
- Constable, S. Review paper: Instrumentation for marine magnetotelluric and controlled source electromagnetic sounding. Geophys. Prospect. 2013, 61, 505–532. [Google Scholar] [CrossRef]
- Crona, L.; Fristedt, T.; Lundberg, P.; Sigray, P. Field Tests of a New Type of Graphite-Fiber Electrode for Measuring Motionally Induced Voltages. J. Atmos. Ocean. Technol. 2001, 18, 92–99. [Google Scholar] [CrossRef]
- Janz, G.J.; Taniguchi, H. The Silver-Silver Halide Electrodes. Preparation, Stability, and Standard Potentials in Aqueous and non-Aqueous Media. Chem. Rev. 1953, 53, 397–437. [Google Scholar] [CrossRef]
- Webb, S.C.; Constable, S.C.; Cox, C.S.; Deaton, T.K. A seafloor electric field instrument. J. Geomagn. Geoelectr. 1985, 37, 1115–1129. [Google Scholar] [CrossRef]
- Tao, D.; Jiang, L.; Jin, M. A Method of Preparation of Ag/AgCl Chloride Selective Electrode. J. Wuhan Univ. Technol. Sci. Ed. 2018, 33, 767–771. [Google Scholar] [CrossRef]
- Zhang, K.; Song, Y.S.; Zhou, Y. Effect of Sintering Technology on Ag/AgCl Electrode Potential Stability. Adv. Mater. Res. 2011, 152–153, 1900–1904. [Google Scholar] [CrossRef]
- Brewer, P.J.; Brown, R.J.C. Effect of Silver Annealing Conditions on the Performance of Electrolytic Silver/Silver Chloride Electrodes used in Harned Cell Measurements of pH. Sensors 2010, 10, 2202–2216. [Google Scholar] [CrossRef] [PubMed]
- Petersen, L.W.; Moldrup, P.; Jacobsen, O.H.; Rolston, D.E. Relations between specific surface area and soil physical and chemical properties. Soil Sci. 1996, 161, 9–21. [Google Scholar] [CrossRef]
- Calle-Vallejo, F.; Martínez, J.I.; García-Lastra, J.M.; Rossmeisl, J.; Koper, M.T.M. Physical and Chemical Nature of the Scaling Relations between Adsorption Energies of Atoms on Metal Surfaces. Phys. Rev. Lett. 2012, 108, 116103. [Google Scholar] [CrossRef] [PubMed]
- Shi, J.; Jiang, B.; Liu, Z.; Li, C.; Yan, F.; Liu, X.; Li, H.; Yang, C.; Dong, D. Effects of specific surface area of electrode and different electrolyte on capacitance properties in nano porous-structure CrN thin film electrode for supercapacitor. Ceram. Int. 2021, 47, 18540–18549. [Google Scholar] [CrossRef]
- Heywood, H. Calculation of the specific surface of a powder. Proc. Inst. Mech. Eng. 1933, 125, 383–459. [Google Scholar] [CrossRef]
- Mohan, S.; Raj, V. A comparative study of DC and pulse gold electrodeposits. Trans. IMF 2005, 83, 72–76. [Google Scholar] [CrossRef]
- Shanthi, C.; Barathan, S.; Jaiswal, R.; Arunachalam, R.M. Study of surface morphology in DC and pulse plating of silver alloy. Indian J. Eng. Mater. Sci. 2009, 16, 128–132. [Google Scholar]
- Budevski, E.; Staikov, G.; Lorenz, W. Electrocrystallization: Nucleation and growth phenomena. Electrochim. Acta 2000, 45, 2559–2574. [Google Scholar] [CrossRef]
- Bittner, H.F.; Badcock, C.C. Electrochemical utilization of metal hydrides. J. Electrochem. Soc. 1983, 130, 193C. [Google Scholar] [CrossRef]
- Haran, B.S.; Popov, B.N.; White, R.E. Theoretical Analysis of Metal Hydride Electrodes: Studies on Equilibrium Potential and Exchange Current Density. J. Electrochem. Soc. 1998, 145, 4082–4090. [Google Scholar] [CrossRef]
- Trasatti, S. The electrode potential. In Comprehensive Treatise of Electrochemistry: The Double Layer; Springer US: Boston, MA, USA, 1980; pp. 45–81. [Google Scholar]
- Benesty, J.; Chen, J.D.; Huang, Y.T.; Cohen, I. Pearson correlation coefficient. In Noise Reduction in Speech Processing; Springer: Berlin/Heidelberg, Germany, 2009; Volume 2, pp. 1–4. [Google Scholar]
- Xin, Y.; Liu, C.; Cui, M.; Hou, T.; Liu, H.; Tong, J.; Lin, T.; Liu, C.; Yang, D. Electrochemical performance of a new all solid-state ultra-low noise electrospray electrode as a marine electric field sensor. Rev. Sci. Instrum. 2021, 92, 095002. [Google Scholar] [CrossRef] [PubMed]
- Hu, Z.; Sun, W.; He, T.; Huang, J.; Bao, Z.; Dong, H.; Xu, J. Ag/Reduced Graphene Oxide/Carbon Fiber Composites as Electrodes for Highly Stable and Responsive Marine Electric Field Sensors. ACS Appl. Nano Mater. 2023, 6, 11154–11165. [Google Scholar] [CrossRef]
- Bertocci, U.; Huet, F. Noise Analysis Applied to Electrochemical Systems. Corrosion 1995, 51, 131–144. [Google Scholar] [CrossRef]
- Budevski, E.; Obretenov, W.; Bostanov, W.; Staikov, G.; Doneit, J.; Jüttner, K.; Lorenz, W. Noise analysis in metal deposition—Expectations and limits. Electrochim. Acta 1989, 34, 1023–1029. [Google Scholar] [CrossRef]
- Northrop, R.B. Analog Electronic Circuits: Analysis and Applications; Addison-Wesley Pub. Co.: Boston, MA, USA, 2012. [Google Scholar]
- Lee, S.; Yang, C.-S.; Chung, H.-J. Development of Multi-rod Type Ag–AgCl Electrodes for an Underwater Electric Field Sensor. J. Sens. Sci. Technol. 2022, 31, 45–50. [Google Scholar] [CrossRef]









| Positive Direction Parameters | Reverse Direction Parameters | Deposition Time | ||||
|---|---|---|---|---|---|---|
| () | (ms) | (ms) | () | (ms) | (ms) | (s) |
| 5 | 12 | 4 | 5 | 3 | 1 | 300 |
| 7.5 | 12 | 4 | 5 | 3 | 1 | 300 |
| 10 | 12 | 4 | 5 | 3 | 1 | 300 |
| 12.5 | 12 | 4 | 5 | 3 | 1 | 300 |
| 15 | 12 | 4 | 5 | 3 | 1 | 300 |
| 10 | 12 | 4 | 5 | 3 | 1 | 280 |
| 10 | 12 | 4 | 5 | 3 | 1 | 260 |
| 10 | 12 | 4 | 5 | 3 | 1 | 240 |
| 10 | 12 | 4 | 5 | 3 | 1 | 220 |
| Electrode Number | Electrodeposition Parameters | The Sizes of Particles in Electrode’s Deposition Layers | |
|---|---|---|---|
| Positive Direction Peak Current Density ian (mA/cm2) | Deposition Time t(s) | ||
| 1 (Figure 3a) | 5 | 300 | Uniform in size and essentially less than 1.3 μm, but the deposited layer does not completely cover the silver foil. |
| 2 (Figure 3b) | 7.5 | 300 | The size is basically less than 1 micron, but the shape varies greatly. |
| 3 (Figure 3c) | 10 | 300 | The size is relatively uniform and basically smaller than 4.31 μm. |
| 4 (Figure 3d) | 12.5 | 300 | Particle size is uneven, with more large-sized particles. |
| 5 (Figure 3e) | 15 | 300 | The particle size is very uneven, with some particles reaching a size of 10 μm. |
| 6 (Figure 3f) | 10 | 220 | Porous and small particle size, but agglomeration occurs. |
| 7 (Figure 3g) | 10 | 240 | Particle size varies greatly. |
| 8 (Figure 3h) | 10 | 260 | There is some porosity, but the size is uneven. |
| 9 (Figure 3i) | 10 | 280 | There is some porosity, and the particle size is uniform and basically not larger than 1.42 μm. |
| Electrode Number | Electrodeposition Parameters | Potential Stability Parameters | ||||
|---|---|---|---|---|---|---|
| Positive Direction Peak Current Density ian (mA/cm2) | Deposition Time t(s) | Potential Difference (mV) | Potential Difference Drift (mV/24 h) | |||
| Maximum | Minimum | Maximum | Minimum | |||
| 1 (Figure 7a) | 5 | 300 | 1.42 | 1.05 | 0.12 | 0.028 |
| 2 (Figure 7b) | 7.5 | 300 | −0.53 | −0.78 | 0.071 | 0.010 |
| 3 (Figure 7c) | 10 | 300 | 0.16 | 0.093 | 0.027 | 0.0059 |
| 4 (Figure 7d) | 12.5 | 300 | −0.92 | −1.27 | 0.24 | 0.021 |
| 5 (Figure 7e) | 15 | 300 | 8.76 | 8.0 | 0.27 | 0.051 |
| 6 (Figure 7f) | 10 | 220 | 1.19 | 0.78 | 0.074 | 0.0074 |
| 7 (Figure 7g) | 10 | 240 | −0.20 | −0.30 | 0.045 | 0.0052 |
| 8 (Figure 7h) | 10 | 260 | −0.30 | −0.44 | 0.095 | 0.0062 |
| 9 (Figure 7i) | 10 | 280 | −0.0037 | −0.079 | 0.027 | 0.0048 |
| Electrode | Potential Difference | Minimum Value of Potential Difference Drift | |
|---|---|---|---|
| Maximum | Minimum | ||
| Ag/AgCl electrode prepared by direct current electrolysis [6] | 0.1 mV | Unknown | 0.005 mV/24 h |
| Ag/AgCl prepared by sintering [9] | 0.035 mV | Unknown | 0.01 mV/24 h |
| Ag/AgCl prepared by electrospray [36] | 0.056 mV | −0.051 mV | 0.005 mV/100h |
| Ag/AgCl electrode pair on the template of carbon foam [5] | Unknown | Unknown | 0.02 mV/24 h |
| Ag-AgNWs-CF electrode [8] | >0.1 mV | Unknown | 0.06722 mV/24 h |
| MCNT/Ag/AgCl electrode [10] | 0.1 mV | 0.0363 mV | Unknown |
| 3D Flower-Like Ag-CF electrode [14] | Unknown | 0.03308 mV | 0.01862 mV/24 h |
| rGO-CF electrode [37] | Unknown | 0.04989 mV | 0.05587 mV/24 h |
| Electrode Number | Electrodeposition Parameters | Noise Level | ||
|---|---|---|---|---|
| Positive Direction Peak Current Density ian (mA/cm2) | Deposition Time t(s) | ) | ) | |
| 1 (Figure 9a) | 5 | 300 | 12.8 | 12.1 |
| 2 (Figure 9b) | 7.5 | 300 | 9.7 | 8.8 |
| 3 (Figure 9c) | 10 | 300 | 8.9 | 7.9 |
| 4 (Figure 9d) | 12.5 | 300 | 10.5 | 9.7 |
| 5 (Figure 9e) | 15 | 300 | 20.4 | 20.0 |
| 6 (Figure 9f) | 10 | 220 | 11.5 | 10.7 |
| 7 (Figure 9g) | 10 | 240 | 10.3 | 9.4 |
| 8 (Figure 9h) | 10 | 260 | 9.7 | 8.8 |
| 9 (Figure 9i) | 10 | 280 | 4.6 | 2.1 |
| Electrode | ) |
|---|---|
| Ag/AgCl electrode prepared by direct current electrolysis [6] | 0.6 |
| Ag/AgCl prepared by sintering [9] | 1.57 |
| Ag/AgCl prepared by electrospray [36] | 2.48 |
| Ag/AgCl electrode pair on the template of carbon foam [5] | 1.6 |
| Ag-AgNWs-CF electrode [8] | 1.03 |
| MCNT/Ag/AgCl electrode [10] | 4.1 |
| 3D Flower-Like Ag-CF electrode [14] | 0.92 |
| rGO-CF electrode [37] | 0.83 |
| Multi-rod Type Ag–AgCl [41] | 3.7 |
Disclaimer/Publisher’s Note: The statements, opinions and data contained in all publications are solely those of the individual author(s) and contributor(s) and not of MDPI and/or the editor(s). MDPI and/or the editor(s) disclaim responsibility for any injury to people or property resulting from any ideas, methods, instructions or products referred to in the content. |
© 2024 by the authors. Licensee MDPI, Basel, Switzerland. This article is an open access article distributed under the terms and conditions of the Creative Commons Attribution (CC BY) license (https://creativecommons.org/licenses/by/4.0/).
Share and Cite
Wang, C.; Li, Y.; Wu, Y. Influence of Double-Pulse Electrodeposition Parameters on the Performance of Ag/AgCl Electrochemical Electrode for Marine Electric Field. Sensors 2024, 24, 2103. https://doi.org/10.3390/s24072103
Wang C, Li Y, Wu Y. Influence of Double-Pulse Electrodeposition Parameters on the Performance of Ag/AgCl Electrochemical Electrode for Marine Electric Field. Sensors. 2024; 24(7):2103. https://doi.org/10.3390/s24072103
Chicago/Turabian StyleWang, Chenjuan, Yuguo Li, and Yunju Wu. 2024. "Influence of Double-Pulse Electrodeposition Parameters on the Performance of Ag/AgCl Electrochemical Electrode for Marine Electric Field" Sensors 24, no. 7: 2103. https://doi.org/10.3390/s24072103
APA StyleWang, C., Li, Y., & Wu, Y. (2024). Influence of Double-Pulse Electrodeposition Parameters on the Performance of Ag/AgCl Electrochemical Electrode for Marine Electric Field. Sensors, 24(7), 2103. https://doi.org/10.3390/s24072103
