Omni-OTPE: Omnidirectional Optimal Real-Time Ground Target Position Estimation System for Moving Lightweight Unmanned Aerial Vehicle
Abstract
1. Introduction
- We provide a method for estimating the position of a target center using edge information detection. This algorithm reduces the error between the extracted target center and the real value, thus improving the accuracy of position estimation;
- We propose an efficient position–direction point cloud screening method that utilizes visual localization results to effectively exclude unnecessary information from the point cloud and improve the accuracy of target location extraction from the point cloud;
- We present a position estimator which utilizes a Kalman fusion filter to get optimal results. This estimator merges two types of localization information using the mutual covariance matrix of the position estimation error. The result is a target position estimation that is both real-time and precise;
- We design an efficient hardware and software solution for precisely estimating the position of a target. It allows us to install our system on a lightweight unmanned aerial vehicle (UAV) and prove the efficiency of our method in a real-world scenario.
2. System Overview
3. Image-Based Position Estimation Process
3.1. Fisheye Camera Target Detection
3.2. Target Position Estimation Based on Fisheye Camera Model
- There are valid target images in the image with fisheye projection models that accurately represent the polar angle information at different pixel locations.
- The terrain in the reconnaissance area is flat and the upper surface of the target is parallel to the ground.
- The detection algorithms can accurately recognize the label pattern on the target, and the detection box in the inspection result can correctly characterize the limit size information of the label.
4. Point Cloud-Based Position Estimation Process
4.1. Point Cloud Pre-Processing
- Position-based point cloud filtering: Based on the target size, the points with distance to the visual position less than the position filtering threshold are filtered to form a new point cloud set , as shown in Figure 8a. Specifically, the point in the point cloud set satisfy the relation
- Direction-based point cloud filtering: The error in height estimation is the main reason for localization accuracy, and the polar angle as well as azimuthal angle measurements are relatively accurate in comparison, so the orientation-based point cloud filtering is used to filter the point cloud set . Constructing vector , the points with distance to less than the direction filtering threshold are recorded as valid points, and a new point cloud set can be obtained, as shown in Figure 8b. Specifically, the point in the point cloud set satisfy the relation
4.2. Target Relocalization
5. Optimal Position Information Fusion Based on Kalman Filtering
6. Experimental Results and Discussion
6.1. Sensor Calibration
- Transformation matrix from fisheye camera coordinate system to UAV coordinate system : After setting up the known transformation relation, the fisheye camera is used to localize the target at a known position in space, and the error function is constructed, and the transformation matrix is updated to get the exact matrix using the Gaussian–Newton method.
- Transformation matrix from LiDAR coordinate system to UAV coordinate system : Similar to the calibration method for . Target detection of point clouds can be improved by placing highly reflective material on the target.
6.2. Performance on Target Detection
6.3. Target Localization Experiments
6.4. Experiment of Image-Based Target Position Estimation
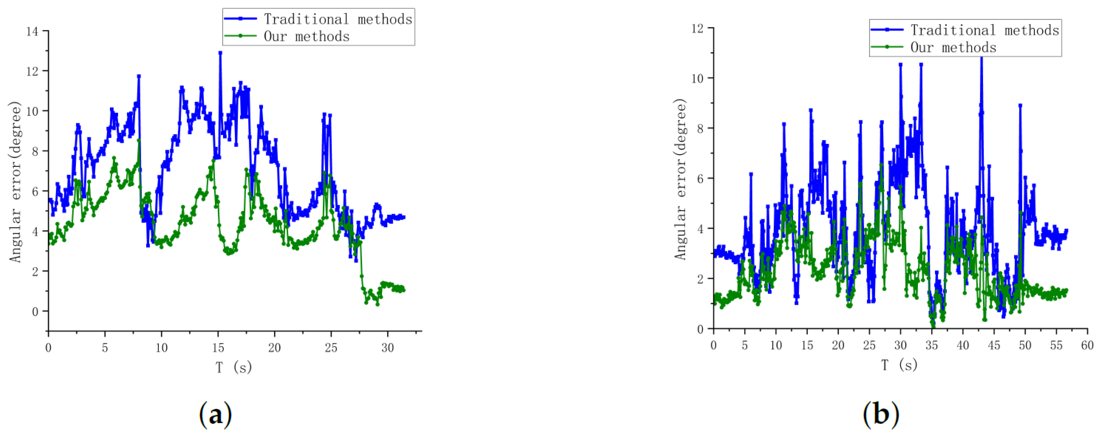
6.5. Experiment of Optimal Target Position Estimation
7. Conclusions
Author Contributions
Funding
Institutional Review Board Statement
Informed Consent Statement
Data Availability Statement
Conflicts of Interest
References
- Xiang, Y.; Guo, S.; Xia, S.; Gu, X.; Chen, J.; Cui, G. NLOS Target Positioning Method Based on UAV Millimeter-wave Radar. IEEE Sens. J. 2023, 24, 1975–1987. [Google Scholar] [CrossRef]
- Alhafnawi, M.; Salameh, H.B.; Masadeh, A.; Al-Obiedollah, H.; Ayyash, M.; El-Khazali, R.; Elgala, H. A survey of indoor and outdoor uav-based target tracking systems: Current status, challenges, technologies, and future directions. IEEE Access 2023, 11, 68324–68339. [Google Scholar] [CrossRef]
- Liu, X.; Zhang, Z. A vision-based target detection, tracking, and positioning algorithm for unmanned aerial vehicle. Wirel. Commun. Mob. Comput. 2021, 2021, 5565589. [Google Scholar] [CrossRef]
- Xing, L.; Fan, X.; Dong, Y.; Xiong, Z.; Xing, L.; Yang, Y.; Bai, H.; Zhou, C. Multi-UAV cooperative system for search and rescue based on YOLOv5. Int. J. Disaster Risk Reduct. 2022, 76, 102972. [Google Scholar] [CrossRef]
- Madewell, E.; Pollack, E.; Kuni, H.; Johri, S.; Broyles, D.; Vagners, J.; Leung, K. Beyond Visual Line-of-Sight Uncrewed Aerial Vehicle for Search and Locate Operations. In Proceedings of the AIAA SCITECH 2024 Forum, Orlando, FL, USA, 8–12 January 2024; p. 1695. [Google Scholar]
- Jiang, T.; Hou, X.; Pan, Q. Target detection and positioning for UAV search and rescue in complex environments. In Proceedings of the International Conference on Autonomous Unmanned Systems, Changsha, China, 24–26 September 2021; Springer: Berlin/Heidelberg, Germany, 2021; pp. 2765–2776. [Google Scholar]
- Šipoš, D.; Gleich, D. A lightweight and low-power UAV-borne ground penetrating radar design for landmine detection. Sensors 2020, 20, 2234. [Google Scholar] [CrossRef] [PubMed]
- Paschall, S.; Rose, J. Fast, lightweight autonomy through an unknown cluttered environment: Distribution statement: A—Approved for public release; distribution unlimited. In Proceedings of the 2017 IEEE Aerospace Conference, Big Sky, MT, USA, 4–11 March 2017; IEEE: Piscataway, NJ, USA, 2017; pp. 1–8. [Google Scholar]
- Arnold, R.; Carey, K.; Abruzzo, B.; Korpela, C. What is a robot swarm: A definition for swarming robotics. In Proceedings of the 2019 IEEE 10th Annual Ubiquitous Computing, Electronics & Mobile Communication Conference (UEMCON), New York, NY, USA, 10–12 October 2019; IEEE: Piscataway, NJ, USA, 2019; pp. 0074–0081. [Google Scholar]
- Dalal, N.; Triggs, B. Histograms of oriented gradients for human detection. In Proceedings of the 2005 IEEE Computer Society Conference on Computer Vision and Pattern Recognition (CVPR’05), San Diego, CA, USA, 20–25 June 2005; IEEE: Piscataway, NJ, USA, 2005; Volume 1, pp. 886–893. [Google Scholar]
- Dollár, P.; Appel, R.; Belongie, S.; Perona, P. Fast feature pyramids for object detection. IEEE Trans. Pattern Anal. Mach. Intell. 2014, 36, 1532–1545. [Google Scholar] [CrossRef] [PubMed]
- Duan, Z.; Tezcan, O.; Nakamura, H.; Ishwar, P.; Konrad, J. Rapid: Rotation-aware people detection in overhead fisheye images. In Proceedings of the IEEE/CVF Conference on Computer Vision and Pattern Recognition Workshops, Seattle, WA, USA, 14–19 June 2020; pp. 636–637. [Google Scholar]
- Duan, K.; Bai, S.; Xie, L.; Qi, H.; Huang, Q.; Tian, Q. Centernet: Keypoint triplets for object detection. In Proceedings of the IEEE/CVF International Conference on Computer Vision, Seoul, Republic of Korea, 27 October–2 November 2019; pp. 6569–6578. [Google Scholar]
- Redmon, J.; Divvala, S.; Girshick, R.; Farhadi, A. You only look once: Unified, real-time object detection. In Proceedings of the IEEE Conference on Computer Vision and Pattern Recognition, Las Vegas, NV, USA, 27–30 June 2016; pp. 779–788. [Google Scholar]
- Haggui, O.; Bayd, H.; Magnier, B.; Aberkane, A. Human detection in moving fisheye camera using an improved YOLOv3 framework. In Proceedings of the 2021 IEEE 23rd International Workshop on Multimedia Signal Processing (MMSP), Tampere, Finland, 6–8 October 2021; IEEE: Piscataway, NJ, USA, 2021; pp. 1–6. [Google Scholar]
- Lei, X.; Sun, B.; Peng, J.; Zhang, F. Fisheye image object detection based on an improved yolov3 algorithm. In Proceedings of the 2020 Chinese Automation Congress (CAC), Shanghai, China, 6–8 November 2020; IEEE: Piscataway, NJ, USA, 2020; pp. 5801–5805. [Google Scholar]
- Faure, B.; Odic, N.; Haggui, O.; Magnier, B. Performance of recent tiny/small yolo versions in the context of top-view fisheye images. In Proceedings of the International Conference on Image Analysis and Processing, Lecce, Italy, 23–27 May 2022; Springer: Berlin/Heidelberg, Germany, 2022; pp. 246–257. [Google Scholar]
- Cao, H.; Peng, B.; Jia, L.; Li, B.; Knoll, A.; Chen, G. Orientation-aware People Detection and Counting Method based on Overhead Fisheye Camera. In Proceedings of the 2022 IEEE International Conference on Multisensor Fusion and Integration for Intelligent Systems (MFI), Bedford, UK, 20–22 September 2022; IEEE: Piscataway, NJ, USA, 2022; pp. 1–7. [Google Scholar]
- Li, S.; Tezcan, M.O.; Ishwar, P.; Konrad, J. Supervised people counting using an overhead fisheye camera. In Proceedings of the 2019 16th IEEE International Conference on Advanced Video and Signal Based Surveillance (AVSS), Taipei, Taiwan, 18–21 September 2019; IEEE: Piscataway, NJ, USA, 2019; pp. 1–8. [Google Scholar]
- Zhu, J.; Zhu, J.; Wan, X.; Xu, C. Downside hemisphere object detection and localization of mav by fisheye camera. In Proceedings of the 2018 15th International Conference on Control, Automation, Robotics and Vision (ICARCV), Singapore, 18–21 November 2018; IEEE: Piscataway, NJ, USA, 2018; pp. 532–537. [Google Scholar]
- Kumar, V.R.; Hiremath, S.A.; Bach, M.; Milz, S.; Witt, C.; Pinard, C.; Yogamani, S.; Mäder, P. Fisheyedistancenet: Self-supervised scale-aware distance estimation using monocular fisheye camera for autonomous driving. In Proceedings of the 2020 IEEE International Conference on Robotics and Automation (ICRA), Paris, France, 31 May 2020–31 August 2020; IEEE: Piscataway, NJ, USA, 2020; pp. 574–581. [Google Scholar]
- Billings, G.; Johnson-Roberson, M. Silhonet: An rgb method for 6d object pose estimation. IEEE Robot. Autom. Lett. 2019, 4, 3727–3734. [Google Scholar] [CrossRef]
- Pavlakos, G.; Zhou, X.; Chan, A.; Derpanis, K.G.; Daniilidis, K. 6-Dof object pose from semantic keypoints. In Proceedings of the 2017 IEEE International Conference on Robotics and Automation (ICRA), Singapore, 29 May–3 June 2017; IEEE: Piscataway, NJ, USA, 2017; pp. 2011–2018. [Google Scholar]
- Billings, G.; Johnson-Roberson, M. SilhoNet-fisheye: Adaptation of a ROI based object pose estimation network to monocular fisheye images. IEEE Robot. Autom. Lett. 2020, 5, 4241–4248. [Google Scholar] [CrossRef]
- Pavliv, M.; Schiano, F.; Reardon, C.; Floreano, D.; Loianno, G. Tracking and relative localization of drone swarms with a vision-based headset. IEEE Robot. Autom. Lett. 2021, 6, 1455–1462. [Google Scholar] [CrossRef]
- Xu, H.; Zhang, Y.; Zhou, B.; Wang, L.; Yao, X.; Meng, G.; Shen, S. Omni-swarm: A decentralized omnidirectional visual–inertial–uwb state estimation system for aerial swarms. IEEE Trans. Robot. 2022, 38, 3374–3394. [Google Scholar] [CrossRef]
- Wang, H.; Zhang, X. Real-time vehicle detection and tracking using 3D LiDAR. Asian J. Control 2022, 24, 1459–1469. [Google Scholar] [CrossRef]
- Sualeh, M.; Kim, G.W. Dynamic multi-lidar based multiple object detection and tracking. Sensors 2019, 19, 1474. [Google Scholar] [CrossRef]
- Wu, Y.; Wang, Y.; Zhang, S.; Ogai, H. Deep 3D object detection networks using LiDAR data: A review. IEEE Sens. J. 2020, 21, 1152–1171. [Google Scholar] [CrossRef]
- Guo, Y.; Wang, H.; Hu, Q.; Liu, H.; Liu, L.; Bennamoun, M. Deep learning for 3D point clouds: A survey. IEEE Trans. Pattern Anal. Mach. Intell. 2020, 43, 4338–4364. [Google Scholar] [CrossRef]
- Dogru, S.; Marques, L. Drone detection using sparse lidar measurements. IEEE Robot. Autom. Lett. 2022, 7, 3062–3069. [Google Scholar] [CrossRef]
- Yin, L.; Zhu, F.; Ren, Y.; Kong, F.; Zhang, F. Decentralized Swarm Trajectory Generation for LiDAR-based Aerial Tracking in Cluttered Environments. In Proceedings of the 2023 IEEE/RSJ International Conference on Intelligent Robots and Systems (IROS), Detroit, MI, USA, 1–5 October 2023; IEEE: Piscataway, NJ, USA, 2023; pp. 9285–9292. [Google Scholar]
- Tang, B.; Ren, Y.; Zhu, F.; He, R.; Liang, S.; Kong, F.; Zhang, F. Bubble Explorer: Fast UAV Exploration in Large-Scale and Cluttered 3D-Environments using Occlusion-Free Spheres. arXiv 2023, arXiv:2304.00852. [Google Scholar]
- Snoek, C.G.; Worring, M.; Smeulders, A.W. Early versus late fusion in semantic video analysis. In Proceedings of the 13th Annual ACM International Conference on Multimedia, Singapore, 6–11 November 2005; pp. 399–402. [Google Scholar]
- Islam, M.M.; Newaz, A.A.R.; Karimoddini, A. A pedestrian detection and tracking framework for autonomous cars: Efficient fusion of camera and lidar data. In Proceedings of the 2021 IEEE International Conference on Systems, Man, and Cybernetics (SMC), Melbourne, Australia, 17–20 October 2021; IEEE: Piscataway, NJ, USA, 2021; pp. 1287–1292. [Google Scholar]
- Habtemariam, B.; Tharmarasa, R.; Thayaparan, T.; Mallick, M.; Kirubarajan, T. A multiple-detection joint probabilistic data association filter. IEEE J. Sel. Top. Signal Process. 2013, 7, 461–471. [Google Scholar] [CrossRef]
- Anitha, R.; Renuka, S.; Abudhahir, A. Multi sensor data fusion algorithms for target tracking using multiple measurements. In Proceedings of the 2013 IEEE International Conference on Computational Intelligence and Computing Research, Enathi, India, 26–28 December 2013; IEEE: Piscataway, NJ, USA, 2013; pp. 1–4. [Google Scholar]
- Kang, Z.; Yang, J.; Zhong, R.; Wu, Y.; Shi, Z.; Lindenbergh, R. Voxel-based extraction and classification of 3-D pole-like objects from mobile LiDAR point cloud data. IEEE J. Sel. Top. Appl. Earth Obs. Remote Sens. 2018, 11, 4287–4298. [Google Scholar] [CrossRef]
- Berrio, J.S.; Shan, M.; Worrall, S.; Nebot, E. Camera-LIDAR integration: Probabilistic sensor fusion for semantic mapping. IEEE Trans. Intell. Transp. Syst. 2021, 23, 7637–7652. [Google Scholar] [CrossRef]
- Han, J.; Liao, Y.; Zhang, J.; Wang, S.; Li, S. Target fusion detection of LiDAR and camera based on the improved YOLO algorithm. Mathematics 2018, 6, 213. [Google Scholar] [CrossRef]
- Hausberg, J.; Ishikawa, R.; Roxas, M.; Oishi, T. Relative drone-ground vehicle localization using LiDAR and fisheye cameras through direct and indirect observations. arXiv 2020, arXiv:2011.07008. [Google Scholar]
- Fremont, V.; Bui, M.T.; Boukerroui, D.; Letort, P. Vision-based people detection system for heavy machine applications. Sensors 2016, 16, 128. [Google Scholar] [CrossRef]
- Wu, T.H.; Wang, T.W.; Liu, Y.Q. Real-time vehicle and distance detection based on improved yolo v5 network. In Proceedings of the 2021 3rd World Symposium on Artificial Intelligence (WSAI), Guangzhou, China, 18–20 June 2021; IEEE: Piscataway, NJ, USA, 2021; pp. 24–28. [Google Scholar]
- Ultralytics. yolo-v5 Source Code. 2024. Available online: https://github.com/ultralytics/yolov5 (accessed on 29 February 2024).
- Kannala, J.; Brandt, S.S. A generic camera model and calibration method for conventional, wide-angle, and fish-eye lenses. IEEE Trans. Pattern Anal. Mach. Intell. 2006, 28, 1335–1340. [Google Scholar] [CrossRef] [PubMed]
- Chen, J.K.; Wang, Y.X. Pointtree: Transformation-robust point cloud encoder with relaxed kd trees. In Proceedings of the European Conference on Computer Vision, Tel Aviv, Israel, 23–27 October 2022; Springer: Berlin/Heidelberg, Germany, 2022; pp. 105–120. [Google Scholar]
- Bar-Shalom, Y.; Campo, L. The effect of the common process noise on the two-sensor fused-track covariance. IEEE Trans. Aerosp. Electron. Syst. 1986, AES-22, 803–805. [Google Scholar] [CrossRef]
- Fatehi, A.; Huang, B. Kalman filtering approach to multi-rate information fusion in the presence of irregular sampling rate and variable measurement delay. J. Process Control 2017, 53, 15–25. [Google Scholar] [CrossRef]

















| Notations | Explanation |
|---|---|
| The pixel coordinate corresponding to the lower right corner of the detection box. | |
| The pixel coordinate corresponding to the upper left corner of the detection box. | |
| The polar angle corresponding to the lower right corner of the detection box. | |
| The polar angle corresponding to the upper left corner of the detection box. | |
| The azimuth angle corresponding to the lower right corner of the detection box. | |
| The azimuth angle corresponding to the upper left corner of the detection box. | |
| The transformation relation from the camera coordinate system to the UAV coordinate system. | |
| The transformation relation from the UAV coordinate system to the world coordinate system. | |
| The compensation value of the target height. | |
| The estimated coordinate of the position of the center of the target in the world coordinate system. | |
| The estimated coordinate of the position of the center of the target in the world coordinate system. | |
| Altitude values of the drone in the world coordinate system. | |
| Target center position coordinates based on visual localization methods. | |
| The coordinate of the ith point in the LiDAR real-time point cloud based on the world coordinate system. | |
| The transformation relation from the LiDAR coordinate system to the UAV coordinate system. | |
| The coordinate of the ith point in the LiDAR real-time point cloud based on the LiDAR coordinate system. | |
| The estimated coordinates of the visual position after the alignment of two perceptual information time frames. | |
| The UAV velocity vector. | |
| Time compensation parameters. | |
| The set of point clouds obtained by LiDAR. | |
| The set of point clouds obtained after the position filter. | |
| The coordinate of the ith point in the set of . | |
| The set of point clouds obtained after the direction filter. | |
| Maximum distance condition in position filter. | |
| The coordinate of the ith point in the set of . | |
| Maximum distance condition in direction filter. | |
| Target center position coordinates based on point cloud localization methods. | |
| Filter state vector. | |
| Filter state covariance matrix. | |
| Filter state transition matrix. | |
| Filter process noise covariance matrix. | |
| Filter state observation vector. | |
| Filter observation matrix. | |
| Filter measured noise covariance matrix. | |
| Filter state prediction vector. | |
| Filter covariance matrix between true and predicted values. | |
| Filter gain matrix. | |
| Covariance matrix of LiDAR-based localization and vision-based localization states. | |
| Target center position coordinates based on optimal target position estimation. |
| Model | Number of Data | Iteration Step | mAP@IoU0.5 1 | Runtime 2 |
|---|---|---|---|---|
| yolov5-n | 1200 | 800 | 0.896 | 38.656 ms |
| yolov5-s | 1200 | 800 | 0.862 | 34.862 ms |
| yolov5-m | 1200 | 800 | 0.926 | 46.726 ms |
| Object Type | X (E 1)/m | Y (N 2)/m | Z (U 3)/m |
|---|---|---|---|
| Target | −5.910 | 1.101 | 0.496 |
| Distractor 1 | 4.204 | −5.476 | 0.458 |
| Distractor 2 | −4.257 | −5.447 | 0.425 |
| Process | Gain Image | Gain Point Cloud | Visual Position Estimation | Lidar Position Estimation | Optimal Fusion Filter |
|---|---|---|---|---|---|
| Runtime 1 | about 50 ms | about 100 ms | about 20 ms | about 35 ms | about 30 ms |
Disclaimer/Publisher’s Note: The statements, opinions and data contained in all publications are solely those of the individual author(s) and contributor(s) and not of MDPI and/or the editor(s). MDPI and/or the editor(s) disclaim responsibility for any injury to people or property resulting from any ideas, methods, instructions or products referred to in the content. |
© 2024 by the authors. Licensee MDPI, Basel, Switzerland. This article is an open access article distributed under the terms and conditions of the Creative Commons Attribution (CC BY) license (https://creativecommons.org/licenses/by/4.0/).
Share and Cite
Ding, Y.; Che, J.; Zhou, Z.; Bian, J. Omni-OTPE: Omnidirectional Optimal Real-Time Ground Target Position Estimation System for Moving Lightweight Unmanned Aerial Vehicle. Sensors 2024, 24, 1709. https://doi.org/10.3390/s24051709
Ding Y, Che J, Zhou Z, Bian J. Omni-OTPE: Omnidirectional Optimal Real-Time Ground Target Position Estimation System for Moving Lightweight Unmanned Aerial Vehicle. Sensors. 2024; 24(5):1709. https://doi.org/10.3390/s24051709
Chicago/Turabian StyleDing, Yi, Jiaxing Che, Zhiming Zhou, and Jingyuan Bian. 2024. "Omni-OTPE: Omnidirectional Optimal Real-Time Ground Target Position Estimation System for Moving Lightweight Unmanned Aerial Vehicle" Sensors 24, no. 5: 1709. https://doi.org/10.3390/s24051709
APA StyleDing, Y., Che, J., Zhou, Z., & Bian, J. (2024). Omni-OTPE: Omnidirectional Optimal Real-Time Ground Target Position Estimation System for Moving Lightweight Unmanned Aerial Vehicle. Sensors, 24(5), 1709. https://doi.org/10.3390/s24051709

