An Adaptive Partial Least-Squares Regression Approach for Classifying Chicken Egg Fertility by Hyperspectral Imaging
Abstract
1. Introduction
2. Materials and Methods
2.1. Samples
2.2. Image Acquisition and Processing
2.3. Spectral Transmission and Feature Extraction
2.4. Partial Least-Squares Regression Analysis
2.4.1. Choice of Optimal Number of PLS Components (PCs)
2.4.2. Criteria for Evaluating Discrimination Performance
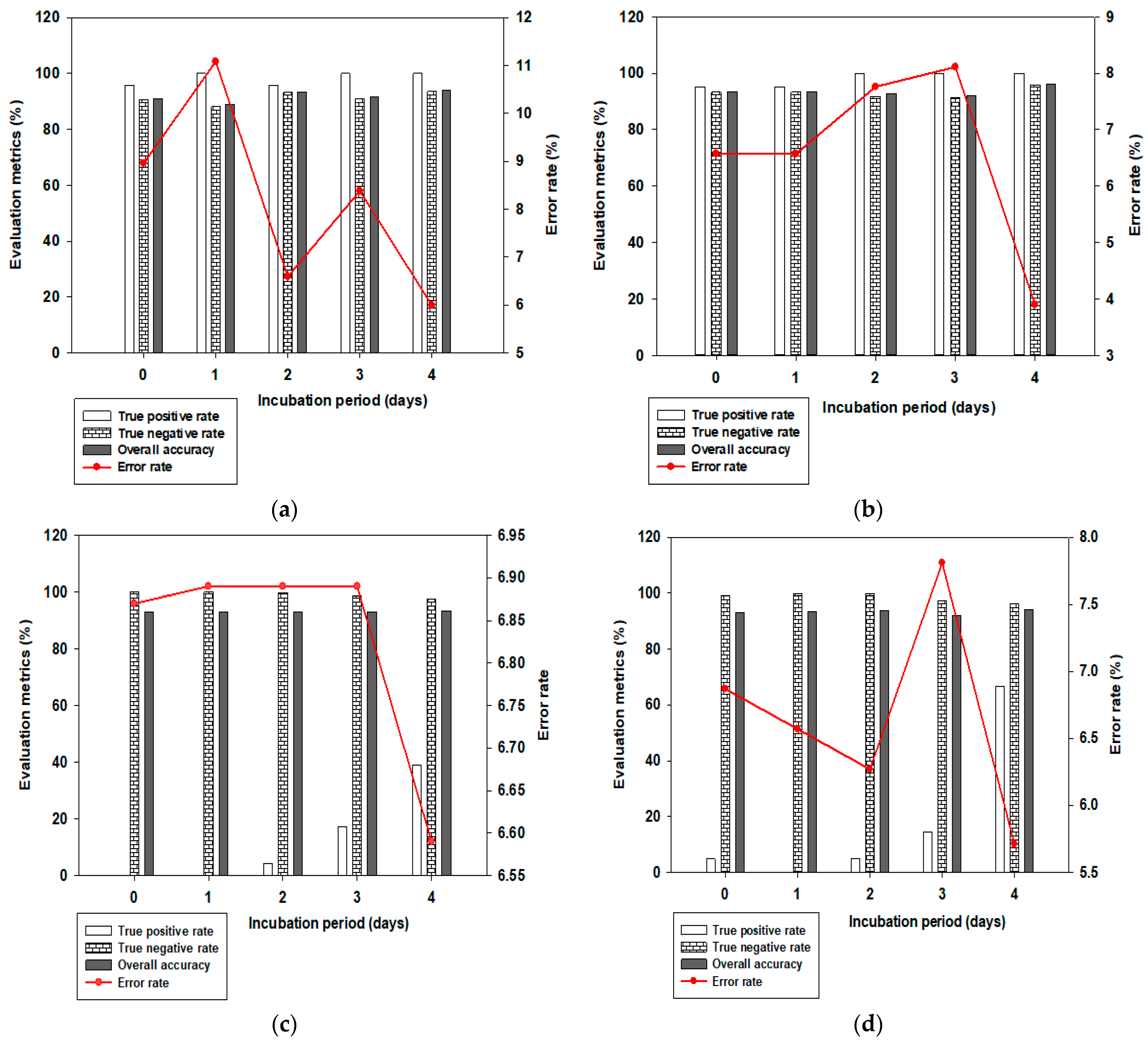
3. Results and Discussion
4. Conclusions
Supplementary Materials
Author Contributions
Funding
Institutional Review Board Statement
Informed Consent Statement
Data Availability Statement
Conflicts of Interest
Appendix A
| INC. Day | TR | FP | FN | TP | TN | TPR (%) | TNR (%) | OVA (%) |
|---|---|---|---|---|---|---|---|---|
| Day 0 | 0.5 | 1 | 8 | 15 | 311 | 65.22 | 99.68 | 97.31 |
| F = 312 | 0.55 | 1 | 3 | 20 | 311 | 86.96 | 99.68 | 98.81 |
| NF = 23 | 0.60 | 1 | 3 | 20 | 311 | 86.96 | 99.68 | 98.81 |
| T = 335 | 0.65 | 3 | 3 | 20 | 309 | 86.96 | 99.04 | 98.21 |
| 0.70 | 12 | 3 | 20 | 300 | 86.96 | 96.15 | 95.52 | |
| 0.75 | 14 | 1 | 22 | 298 | 95.65 | 95.51 | 95.52 | |
| 0.80 | 29 | 1 | 22 | 283 | 95.65 | 90.71 | 91.04 | |
| 0.81 | 30 | 0 | 23 | 282 | 100 | 90.38 | 91.04 | |
| Day 1 | 0.5 | 0 | 10 | 13 | 311 | 56.52 | 100 | 97.01 |
| F = 311 | 0.55 | 0 | 8 | 15 | 311 | 65.22 | 100 | 97.6 |
| NF = 23 | 0.60 | 1 | 4 | 19 | 310 | 82.61 | 99.68 | 98.5 |
| T = 334 | 0.65 | 3 | 2 | 21 | 308 | 91.3 | 99.04 | 98.5 |
| 0.70 | 6 | 1 | 22 | 305 | 95.65 | 98.07 | 97.9 | |
| 0.75 | 16 | 1 | 22 | 295 | 95.65 | 94.86 | 94.91 | |
| 0.79 | 32 | 1 | 22 | 279 | 95.65 | 89.71 | 90.12 | |
| 0.80 | 37 | 0 | 23 | 274 | 100 | 88.1 | 88.92 | |
| Day 2 | 0.5 | 0 | 4 | 19 | 311 | 82.61 | 100 | 98.8 |
| F = 311 | 0.55 | 0 | 3 | 20 | 311 | 86.96 | 100 | 99.1 |
| NF = 23 | 0.60 | 0 | 1 | 22 | 311 | 95.65 | 100 | 99.7 |
| T = 334 | 0.65 | 0 | 1 | 22 | 311 | 95.65 | 100 | 99.7 |
| 0.70 | 2 | 1 | 22 | 309 | 95.65 | 99.36 | 99.1 | |
| 0.75 | 8 | 1 | 22 | 303 | 95.65 | 97.43 | 97.31 | |
| 0.79 | 18 | 1 | 22 | 293 | 95.65 | 94.21 | 94.31 | |
| 0.80 | 21 | 1 | 22 | 290 | 95.65 | 93.25 | 93.41 | |
| Day 3 | 0.5 | 0 | 7 | 16 | 311 | 69.57 | 100 | 97.9 |
| F = 311 | 0.55 | 0 | 7 | 16 | 311 | 69.57 | 100 | 97.9 |
| NF = 23 | 0.60 | 0 | 6 | 17 | 311 | 73.91 | 100 | 98.2 |
| T = 334 | 0.65 | 1 | 4 | 19 | 310 | 82.61 | 99.68 | 98.5 |
| 0.70 | 5 | 3 | 20 | 306 | 86.96 | 98.39 | 97.6 | |
| 0.75 | 15 | 2 | 21 | 296 | 91.3 | 95.18 | 94.91 | |
| 0.79 | 25 | 0 | 23 | 286 | 100 | 91.96 | 92.51 | |
| 0.80 | 28 | 0 | 23 | 283 | 100 | 91 | 91.62 | |
| Day 4 | 0.5 | 0 | 6 | 17 | 311 | 73.91 | 100 | 98.2 |
| F = 311 | 0.55 | 0 | 5 | 18 | 311 | 78.26 | 100 | 98.5 |
| NF = 23 | 0.60 | 0 | 5 | 18 | 311 | 78.26 | 100 | 98.5 |
| T = 334 | 0.65 | 1 | 3 | 20 | 310 | 86.96 | 99.68 | 98.8 |
| 0.70 | 4 | 0 | 23 | 307 | 100 | 98.71 | 98.8 | |
| 0.75 | 13 | 0 | 23 | 298 | 100 | 95.82 | 96.11 | |
| 0.79 | 17 | 0 | 23 | 294 | 100 | 94.53 | 94.91 | |
| 0.80 | 20 | 0 | 23 | 291 | 100 | 93.57 | 94.01 |
| INC. Day | TR | FP | FN | TP | TN | TPR (%) | TNR (%) | OVA (%) |
|---|---|---|---|---|---|---|---|---|
| Day 0 | 0.5 | 0 | 10 | 11 | 314 | 52.38 | 100 | 97.01 |
| F = 314 | 0.55 | 0 | 8 | 13 | 314 | 61.9 | 100 | 97.61 |
| NF = 21 | 0.60 | 0 | 7 | 14 | 314 | 66.67 | 100 | 97.91 |
| T = 335 | 0.65 | 0 | 6 | 15 | 314 | 71.43 | 100 | 98.21 |
| 0.70 | 2 | 3 | 18 | 312 | 85.71 | 99.36 | 98.51 | |
| 0.75 | 7 | 3 | 18 | 307 | 85.71 | 97.77 | 97.01 | |
| 0.80 | 21 | 1 | 20 | 293 | 95.24 | 93.31 | 93.43 | |
| 0.81 | 23 | 1 | 20 | 291 | 95.24 | 92.68 | 92.84 | |
| Day 1 | 0.5 | 0 | 5 | 16 | 314 | 76.19 | 100 | 98.51 |
| F = 314 | 0.55 | 0 | 3 | 18 | 314 | 85.71 | 100 | 99.1 |
| NF = 21 | 0.60 | 1 | 3 | 18 | 313 | 85.71 | 99.68 | 98.81 |
| T = 335 | 0.65 | 2 | 2 | 19 | 312 | 90.48 | 99.36 | 98.81 |
| 0.70 | 6 | 2 | 19 | 308 | 90.48 | 98.09 | 97.61 | |
| 0.75 | 10 | 1 | 20 | 304 | 95.24 | 96.82 | 96.72 | |
| 0.80 | 21 | 1 | 20 | 293 | 95.24 | 93.31 | 93.43 | |
| 0.81 | 26 | 1 | 20 | 288 | 95.24 | 91.72 | 91.94 | |
| Day 2 | 0.5 | 0 | 8 | 13 | 314 | 61.9 | 100 | 97.61 |
| F = 314 | 0.55 | 0 | 5 | 16 | 314 | 76.19 | 100 | 98.51 |
| NF = 21 | 0.60 | 0 | 3 | 18 | 314 | 85.71 | 100 | 99.1 |
| T = 335 | 0.65 | 2 | 1 | 20 | 312 | 95.24 | 99.36 | 99.1 |
| 0.70 | 3 | 1 | 20 | 311 | 95.24 | 99.04 | 98.81 | |
| 0.75 | 10 | 1 | 20 | 304 | 95.24 | 96.82 | 96.72 | |
| 0.80 | 26 | 0 | 21 | 288 | 100 | 91.72 | 92.24 | |
| 0.81 | 31 | 0 | 21 | 283 | 100 | 90.13 | 90.75 | |
| Day 3 | 0.5 | 0 | 4 | 17 | 312 | 80.95 | 100 | 98.8 |
| F = 312 | 0.55 | 0 | 3 | 18 | 312 | 85.71 | 100 | 99.1 |
| NF = 21 | 0.60 | 0 | 3 | 18 | 312 | 85.71 | 100 | 99.1 |
| T = 333 | 0.65 | 1 | 2 | 19 | 311 | 90.48 | 99.68 | 99.1 |
| 0.70 | 3 | 2 | 19 | 309 | 90.48 | 99.04 | 98.5 | |
| 0.75 | 10 | 1 | 20 | 302 | 95.24 | 96.79 | 96.7 | |
| 0.79 | 23 | 0 | 21 | 289 | 100 | 92.63 | 93.09 | |
| 0.80 | 27 | 0 | 21 | 285 | 100 | 91.35 | 91.89 | |
| Day 4 | 0.5 | 0 | 5 | 16 | 312 | 76.19 | 100 | 98.5 |
| F = 312 | 0.55 | 0 | 5 | 16 | 312 | 76.19 | 100 | 98.5 |
| NF = 21 | 0.60 | 1 | 3 | 18 | 311 | 85.71 | 99.68 | 98.8 |
| T = 333 | 0.65 | 2 | 0 | 21 | 310 | 100 | 99.36 | 99.4 |
| 0.70 | 3 | 0 | 21 | 309 | 100 | 99.04 | 99.1 | |
| 0.75 | 5 | 0 | 21 | 307 | 100 | 98.4 | 98.5 | |
| 0.79 | 12 | 0 | 21 | 300 | 100 | 96.15 | 96.4 | |
| 0.80 | 13 | 0 | 21 | 299 | 100 | 95.83 | 96.1 |
References
- Lawrence, K.; Smith, D.; Windham, W.; Heitschmidt, G.; Park, B.; Yoon, S. Egg embryo development detection with hyperspectral imaging. Int. J. Poult. Sci. 2007, 5, 964–969. [Google Scholar]
- Smith, D.; Lawrence, K.; Heitschmidt, G. Fertility and embryo development of broiler hatching eggs evaluated with a hyperspectral imaging and predictive modeling system. Int. J. Poult. Sci. 2008, 7, 1001–1004. [Google Scholar]
- Liu, L.; Ngadi, M.O. Detecting Fertility and Early Embryo Development of Chicken Eggs Using Near-Infrared Hyperspectral Imaging. Food Bioprocess Technol. 2013, 6, 2503–2513. [Google Scholar] [CrossRef]
- Swarbrick, B. Multivariate Data Analysis for Dummies. In CAMO Software Special Edition; CAMO: Woodbridge, NJ, USA, 2012. [Google Scholar]
- Yu, C.H. An overview of remedial tools for collinearity in SAS. In Proceedings of the 2000 Western Users of SAS Software Conference, San Jose, CA, USA, 3–5 September 2014; pp. 196–201. [Google Scholar]
- Barker, M.; Rayens, W. Partial least squares for discrimination. J. Chemom. 2003, 17, 166–173. [Google Scholar] [CrossRef]
- Stocchero, M.; De Nardi, M.; Scarpa, B. PLS for Classification. Chemom. Intell. Lab. Syst. 2021, 216, 104374. [Google Scholar] [CrossRef]
- Gottfries, J.; Blennow, K.; Wallin, A.; Gottfries, C. Diagnosis of dementias using partial least squares discriminant analysis. Dement. Geriatr. Cogn. Disord. 1995, 6, 83–88. [Google Scholar] [CrossRef] [PubMed]
- Briandet, R.; Kemsley, E.K.; Wilson, R.H. Discrimination of Arabica and Robusta in instant coffee by Fourier transform infrared spectroscopy and chemometrics. J. Agric. Food Chem. 1996, 44, 170–174. [Google Scholar] [CrossRef]
- Iizuka, K.; Aishima, T. Soy sauce classification by geographic region based on NIR spectra and chemometrics pattern recognition. J. Food Sci. 1997, 62, 101–104. [Google Scholar] [CrossRef]
- Xiang, X.; Wang, Y.; Yu, Z.; Ma, M.; Zhu, Z.; Jin, Y. Non-destructive Characterization of Egg Odor and Fertilization Status by SPME/GC-MS Coupled with Electronic Nose. J. Sci. Food Agric. 2019, 99, 3264–3275. [Google Scholar] [CrossRef]
- Lin, Q.; Fang, Q.; Feng, Y.; Song, A.; Hou, Z.; Chen, H.; Yue, H.; Chen, N.; Wang, Z.; Li, Z. An Optimization Strategy for Detection of Fertile Pigeon Egg Based on NIR Spectroscopy Analysis. Infrared Phys. Technol. 2023, 132, 104733. [Google Scholar] [CrossRef]
- Japkowicz, N. Concept-Learning in the Presence of between-Class and within-Class Imbalances, Advances in Artificial Intelligence; Springer: Berlin/Heidelberg, Germany, 2001; pp. 67–77. [Google Scholar]
- Yoon, K.; Kwek, S. A data reduction approach for resolving the imbalanced data issue in functional genomics. Neural Comput. Appl. 2007, 16, 295–306. [Google Scholar] [CrossRef]
- Cassel, C.; Hackl, P.; Westlund, A.H. Robustness of partial least-squares method for estimating latent variable quality structures. J. Appl. Stat. 1999, 26, 435–446. [Google Scholar] [CrossRef]
- Abdel-Nour, N.; Ngadi, M.; Prasher, S.; Karimi, Y. Combined Maximum R2 and partial least squares method for wavelengths selection and analysis of spectroscopic data. Int. J. Poult. Sci. 2009, 8, 170–178. [Google Scholar] [CrossRef][Green Version]
- BOĞA, M.; ÇEVİK, K.; Kocer, H.; Burgut, A. Computer-Assisted Automatic Egg Fertility Control. Kafkas Univ. Vet. Fak. Derg. 2019, 25, 567–574. [Google Scholar]
- Huang, L.; He, A.; Zhai, M.; Wang, Y.; Bai, R.; Nie, X. A Multi-Feature Fusion Based on Transfer Learning for Chicken Embryo Eggs Classification. Symmetry 2019, 11, 606. [Google Scholar] [CrossRef]
- Geng, L.; Xu, Y.; Xiao, Z.; Tong, J. DPSA: Dense Pixelwise Spatial Attention Network for Hatching Egg Fertility Detection. J. Electron. Imaging 2020, 29, 023011. [Google Scholar] [CrossRef]
- Çevik, K.K.; Koçer, H.E.; Boğa, M. Deep Learning Based Egg Fertility Detection. Vet. Sci. 2022, 9, 574. [Google Scholar] [CrossRef]
- Liao, T.W. Classification of weld flaws with imbalanced class data. Expert Syst. Appl. 2008, 35, 1041–1052. [Google Scholar] [CrossRef]
- Archer, G.S.; Cartwright, A.L. Incubating and Hatching Eggs. Tex. AM Agrlife Ext. Serv. 2012, 1, 1–13. [Google Scholar]
- Wilson, J.L. Predicting Fertility. In The Midwest Poultry Federation, Buffalo, Minnesota, 2nd ed.; Techniques for Semen Evaluation, Semen Storage, and Fertility Determination; Bakst, M.R., Long, J.A., Eds.; Poultry Science Association: Champaign, IL, USA, 2014. [Google Scholar]
- Williams, D.P.; Myers, V.; Silvious, M.S. Mine classification with imbalanced data. Geosci. Remote Sens. Lett. IEEE 2009, 6, 528–532. [Google Scholar] [CrossRef]
- Longadge, R.; Dongre, S. Class Imbalance Problem in Data Mining Review. arXiv 2013, arXiv:1305.1707. [Google Scholar]
- Tobias, R.D. An introduction to partial least squares regression. In Proceedings of the Twentieth Annual SAS Users Group International Conference, Orlando, FL, USA, 2–5 April 1995; pp. 2–5. [Google Scholar]
- Wold, S.; Sjöström, M.; Eriksson, L. PLS-regression: A basic tool of chemometrics. Chemom. Intell. Lab. Syst. 2001, 58, 109–130. [Google Scholar] [CrossRef]
- Abdi, H. Partial least squares regression and projection on latent structure regression (PLS Regression). Wiley Interdiscip. Rev. Comput. Stat. 2010, 2, 97–106. [Google Scholar] [CrossRef]
- Wakeling, I.N.; Morris, J.J. A test of significance for partial least squares regression. J. Chemom. 1993, 7, 291–304. [Google Scholar] [CrossRef]
- Clark, M.; Cramer, R.D. The probability of chance correlation using partial least squares (PLS). Quant. Struct.-Act. Relatsh. 1993, 12, 137–145. [Google Scholar] [CrossRef]
- Höskuldsson, A. Prediction methods in science and technology. 1. Basic theory. Thor. Publ. 1996. [Google Scholar]
- Nguyen, G.; Bouzerdoum, A.; Phung, S. Learning pattern classification tasks with imbalanced data sets. In Pattern Recognition; Yin, P., Ed.; INTECH Open Access Publisher: Vukovar, Croatia, 2009; pp. 193–208. [Google Scholar]
- Adegbenjo, A.O.; Liu, L.; Ngadi, M.O. Non-Destructive Assessment of Chicken Egg Fertility. Sensors 2020, 20, 5546. [Google Scholar] [CrossRef] [PubMed]
- Sun, Y.; Wong, A.; Kamel, M. Classification of imbalanced data: A review. Int. J. Pattern Recognit. Artif. Intell. 2009, 23, 687–719. [Google Scholar] [CrossRef]
- François, D. Binary classification performances measure cheat sheet. J. Mach. Learn. Res. 2006, 7, 1–30. [Google Scholar]
- Sokolova, M.; Lapalme, G. A systematic analysis of performance measures for classification tasks. Inf. Process. Manag. 2009, 45, 427–437. [Google Scholar] [CrossRef]
- Kucha, C.T.; Ngadi, M.O. Rapid Assessment of Pork Freshness Using Miniaturized NIR Spectroscopy. J. Food Meas. Charact. 2020, 14, 1105–1115. [Google Scholar] [CrossRef]
- Williams, P.; Norris, K. Near-Infrared Technology in the Agricultural and Food Industries; American Association of Cereal Chemists, Inc.: St. Paul, MN, USA, 1987. [Google Scholar]
- Norris, K. History of NIR. J. Near Infrared Spectrosc. 1996, 4, 31–38. [Google Scholar] [CrossRef]
- Mani, I.; Zhang, I. kNN Approach to Unbalanced Data Distributions: A Case Study involving Information Extraction. In Proceedings of the ICML’03 Workshop on Learning from Imbalanced Data Sets, Washington, DC, USA, 21–24 August 2003. [Google Scholar]
- He, H.; Garcia, E.A. Learning from imbalanced data. Knowl. Data Eng. IEEE Trans. 2009, 21, 1263–1284. [Google Scholar]






| a. | |||||
| Incubation Period | Egg Received | Broken | Total Eggs Used | Fertile (F) | Non-Fertile (NF) |
| Day 0 | 336 | 1 | 335 | 312 (93.13%) | 23 (6.87%) |
| Day 1 | 335 | 1 | 334 | 311 (93.11%) | 23 (6.89%) |
| Day 2 | 334 | - | 334 | 311 (93.11%) | 23 (6.89%) |
| Day 3 | 334 | - | 334 | 311 (93.11%) | 23 (6.89%) |
| Day 4 | 334 | - | 334 | 311 (93.11%) | 23 (6.89%) |
| b. | |||||
| Incubation Period | Egg Received | Broken | Total Eggs Used | Fertile (F) | Non-Fertile (NF) |
| Day 0 | 336 | 1 | 335 | 314 (93.73%) | 21 (6.27%) |
| Day 1 | 335 | - | 335 | 314 (93.73%) | 21 (6.27%) |
| Day 2 | 335 | - | 335 | 314 (93.73%) | 21 (6.27%) |
| Day 3 | 335 | 2 | 333 | 312 (93.69%) | 21 (6.31%) |
| Day 4 | 333 | - | 333 | 312 (93.69%) | 21 (6.31%) |
| Prediction Class | |||
|---|---|---|---|
| Predicted as Positive | Predicted as Negative | ||
| True class | Actually Positive | TPR | FNR |
| Actually Negative | FPR | TNR |
| (a) | Prediction Class (%) | ||
| Predicted | Predicted | ||
| True Class (%) | Positive | Negative | |
| Actually Positive | 86.96 (20/23) | 13.04 (3/23) | |
| Actually Negative | 0.32 (1/312) | 99.68 (311/312) | |
| OVA = 98.81% | |||
| (b) | Prediction class (%) | ||
| Predicted | Predicted | ||
| True Class (%) | Positive | Negative | |
| Actually Positive | 61.90 (13/21) | 38.10 (8/21) | |
| Actually Negative | 0.00 (0/312) | 100.00 (314/314) | |
| OVA = 97.61% | |||
| (c) | Prediction class (%) | ||
| Predicted | Predicted | ||
| True Class (%) | Positive | Negative | |
| Actually Positive | 100.00 (23/23) | 0.00 (0/23) | |
| Actually Negative | 9.62 (30/312) | 90.38 (282/312) | |
| OVA = 91.04% | |||
| (d) | Prediction class (%) | ||
| Predicted | Predicted | ||
| True Class (%) | Positive | Negative | |
| Actually Positive | 95.24 (20/21) | 4.76 (1/21) | |
| Actually Negative | 7.32 (23/314) | 92.68 (291/314) | |
| OVA = 92.84% | |||
| (e) | Prediction class (%) | ||
| Predicted | Predicted | ||
| True Class (%) | Positive | Negative | |
| Actually Positive | 0.00 (0/23) | 100.00 (23/23) | |
| Actually Negative | 0.00 (0/312) | 100.00 (312/312) | |
| OVA = 93.13% | |||
| (f) | Prediction class (%) | ||
| Predicted | Predicted | ||
| True Class (%) | Positive | Negative | |
| Actually Positive | 0.00 (0/21) | 100.00 (21/21) | |
| Actually Negative | 0.00 (0/314) | 100.00 (314/314) | |
| OVA = 93.73% | |||
| (g) | Prediction class (%) | ||
| Predicted | Predicted | ||
| True Class (%) | Positive | Negative | |
| Actually Positive | 0.00 (0/23) | 100.00 (23/23) | |
| Actually Negative | 0.00 (0/312) | 100.00 (312/312) | |
| OVA = 93.13% | |||
| (h) | Prediction class (%) | ||
| Predicted | Predicted | ||
| True Class (%) | Positive | Negative | |
| Actually Positive | 4.76 (1/21) | 95.24 (20/21) | |
| Actually Negative | 0.00 (0/314) | 98.73 (310/314) | |
| OVA = 92.84% | |||
Disclaimer/Publisher’s Note: The statements, opinions and data contained in all publications are solely those of the individual author(s) and contributor(s) and not of MDPI and/or the editor(s). MDPI and/or the editor(s) disclaim responsibility for any injury to people or property resulting from any ideas, methods, instructions or products referred to in the content. |
© 2024 by the authors. Licensee MDPI, Basel, Switzerland. This article is an open access article distributed under the terms and conditions of the Creative Commons Attribution (CC BY) license (https://creativecommons.org/licenses/by/4.0/).
Share and Cite
Adegbenjo, A.O.; Liu, L.; Ngadi, M.O. An Adaptive Partial Least-Squares Regression Approach for Classifying Chicken Egg Fertility by Hyperspectral Imaging. Sensors 2024, 24, 1485. https://doi.org/10.3390/s24051485
Adegbenjo AO, Liu L, Ngadi MO. An Adaptive Partial Least-Squares Regression Approach for Classifying Chicken Egg Fertility by Hyperspectral Imaging. Sensors. 2024; 24(5):1485. https://doi.org/10.3390/s24051485
Chicago/Turabian StyleAdegbenjo, Adeyemi O., Li Liu, and Michael O. Ngadi. 2024. "An Adaptive Partial Least-Squares Regression Approach for Classifying Chicken Egg Fertility by Hyperspectral Imaging" Sensors 24, no. 5: 1485. https://doi.org/10.3390/s24051485
APA StyleAdegbenjo, A. O., Liu, L., & Ngadi, M. O. (2024). An Adaptive Partial Least-Squares Regression Approach for Classifying Chicken Egg Fertility by Hyperspectral Imaging. Sensors, 24(5), 1485. https://doi.org/10.3390/s24051485

