Attention Mechanism and LSTM Network for Fingerprint-Based Indoor Location System
Abstract
1. Introduction
- We propose a novel deep neural network that integrates the self-attention mechanism and LSTM networks for indoor localization. The proposed SA-LSTM method processes the RSSI values of consecutive time instances and predicts the position at the final moment in the input sequence. To the best of our knowledge, this is the first time that the self-attention mechanism and LSTM networks have been fused for RSSI-based fingerprinting localization.
- Based on LSTM, the SA-LSTM introduces the self-attention mechanism, which enables the LSTM to effectively capture the interdependencies between the RSSI values at different time instances, thereby facilitating the improved extraction of location information and reducing the localization error.
- We conducted a comparative analysis between our proposed model and several state-of-the-art methods. The experimental results reveal that our proposed SA-LSTM model achieves the highest localization accuracy in both experimental scenarios, demonstrating its robustness and precision.
2. Related Work
3. Methodology
3.1. SA-LSTM-Based Localization Algorithm
3.2. LSTM Network
3.3. Self-Attention Mechanism
3.4. Proposed SA-LSTM Network
3.4.1. Input Sequence Data
3.4.2. The Layers of Network
4. Experimental Setup
4.1. Two-Dimensional-Moving Experiment Setup
4.2. Three-Dimensional-Moving Experiment Setup
4.3. SA-LSTM Training Setup
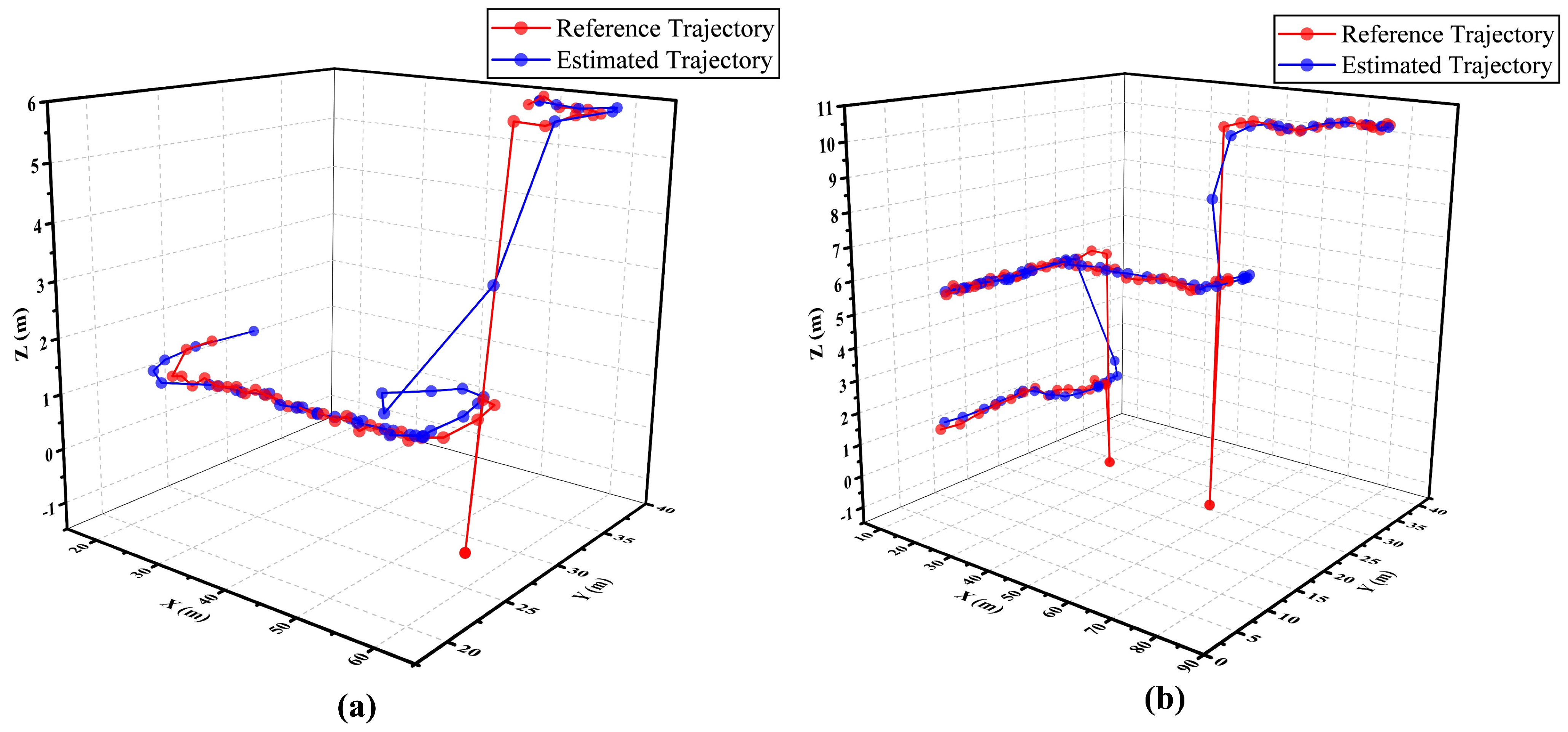
5. Results and Discussion
6. Conclusions
Author Contributions
Funding
Institutional Review Board Statement
Informed Consent Statement
Data Availability Statement
Conflicts of Interest
Abbreviations
| LBS | Location-based services | 
| GPS | Global Positioning System | 
| BDS | BeiDou Satellite Navigation System | 
| UWB | Ultra-wide bandwidth | 
| RFID | Radio frequency identification | 
| AOA | Angle of arrival | 
| TOA | Time of arrival | 
| APs | Access points | 
| UE | User equipment | 
| LSTM | Long short-term memory | 
| RSSI | Received signal strength indicator | 
| TPs | Test points | 
| RPs | Reference points | 
| KNN | K-Nearest neighbors | 
| WKNN | Weighted K-nearest neighbors | 
| SVM | Support vector machines | 
| FNN | Feedforward neural networks | 
| SA-LSTM | Self-attention and LSTM | 
| VSLAM | Simultaneous localization and mapping | 
| RNN | Recurrent neural networks | 
References
- Zhong, S.; Li, L.; Liu, Y.G.; Yang, Y.R. Privacy-Preserving Location-Based Services for Mobile Users in Wireless Networks; Technical Report ALEU/DCS/TR-1297; Department of Computer Science, Yale University: New Haven, CT, USA, 2004; Volume 26. [Google Scholar]
- Gao, L.; Xiong, L.; Xia, X.; Lu, Y.; Yu, Z.; Khajepour, A. Improved vehicle localization using on-board sensors and vehicle lateral velocity. IEEE Sens. J. 2022, 22, 6818–6831. [Google Scholar] [CrossRef]
- Balaji, B.; Xu, J.; Nwokafor, A.; Gupta, R.; Agarwal, Y. Sentinel: Occupancy based HVAC actuation using existing WiFi infrastructure within commercial buildings. In Proceedings of the 11th ACM Conference on Embedded Networked Sensor Systems, Roma, Italy, 11–15 November 2013; pp. 1–14. [Google Scholar]
- Tekler, Z.D.; Chong, A. Occupancy prediction using deep learning approaches across multiple space types: A minimum sensing strategy. Build. Environ. 2022, 226, 109689. [Google Scholar] [CrossRef]
- Filippoupolitis, A.; Oliff, W.; Loukas, G. Bluetooth low energy based occupancy detection for emergency management. In Proceedings of the 2016 15th International Conference on Ubiquitous Computing and Communications and 2016 International Symposium on Cyberspace and Security (IUCC-CSS), Rovaniemi, Finland, 12–15 December 2016; pp. 31–38. [Google Scholar]
- Nemra, A.; Aouf, N. Robust INS/GPS sensor fusion for UAV localization using SDRE nonlinear filtering. IEEE Sens. J. 2010, 10, 789–798. [Google Scholar] [CrossRef]
- Mulloni, A.; Seichter, H.; Schmalstieg, D. Handheld augmented reality indoor navigation with activity-based instructions. In Proceedings of the 13th International Conference on Human Computer Interaction with Mobile Devices and Services, Stockholm, Sweden, 30 August–2 September 2011; pp. 211–220. [Google Scholar]
- Spilker, J.J., Jr.; Axelrad, P.; Parkinson, B.W.; Enge, P. Global Positioning System: Theory and Applications; American Institute of Aeronautics and Astronautics: Reston, VA, USA, 1996; Volume I. [Google Scholar]
- Yang, Y.; Gao, W.; Guo, S.; Mao, Y.; Yang, Y. Introduction to BeiDou-3 navigation satellite system. Navigation 2019, 66, 7–18. [Google Scholar] [CrossRef]
- Khassanov, Y.; Nurpeiissov, M.; Sarkytbayev, A.; Kuzdeuov, A.; Varol, H.A. Finer-level sequential wifi-based indoor localization. In Proceedings of the 2021 IEEE/SICE International Symposium on System Integration (SII), Iwaki, Japan, 11–14 January 2021; pp. 163–169. [Google Scholar]
- Salamah, A.H.; Tamazin, M.; Sharkas, M.A.; Khedr, M. An enhanced WiFi indoor localization system based on machine learning. In Proceedings of the 2016 International Conference on Indoor Positioning and Indoor Navigation (IPIN), Alcala de Henares, Spain, 4–7 October 2016; pp. 1–8. [Google Scholar]
- Abbas, M.; Elhamshary, M.; Rizk, H.; Torki, M.; Youssef, M. WiDeep: WiFi-based accurate and robust indoor localization system using deep learning. In Proceedings of the 2019 IEEE International Conference on Pervasive Computing and Communications (PerCom), Kyoto, Japan, 11–15 March 2019; pp. 1–10. [Google Scholar]
- Chen, C.; Chen, Y.; Lai, H.Q.; Han, Y.; Liu, K.R. High accuracy indoor localization: A WiFi-based approach. In Proceedings of the 2016 IEEE International Conference on Acoustics, Speech and Signal Processing (ICASSP), Shanghai, China, 20–25 March 2016; pp. 6245–6249. [Google Scholar]
- Altini, M.; Brunelli, D.; Farella, E.; Benini, L. Bluetooth indoor localization with multiple neural networks. In Proceedings of the IEEE 5th International Symposium on Wireless Pervasive Computing 2010, Modena, Italy, 5–7 May 2010; pp. 295–300. [Google Scholar]
- Wang, Y.; Ye, Q.; Cheng, J.; Wang, L. RSSI-based bluetooth indoor localization. In Proceedings of the 2015 11th International Conference on Mobile Ad-Hoc and Sensor Networks (MSN), Shenzhen, China, 16–18 December 2015; pp. 165–171. [Google Scholar]
- Zhang, C.; Kuhn, M.; Merkl, B.; Fathy, A.E.; Mahfouz, M. Accurate UWB indoor localization system utilizing time difference of arrival approach. In Proceedings of the 2006 IEEE Radio and Wireless Symposium, San Diego, CA, USA, 17–19 October 2006; pp. 515–518. [Google Scholar]
- Poulose, A.; Han, D.S. UWB indoor localization using deep learning LSTM networks. Appl. Sci. 2020, 10, 6290. [Google Scholar] [CrossRef]
- Montaser, A.; Moselhi, O. RFID indoor location identification for construction projects. Autom. Constr. 2014, 39, 167–179. [Google Scholar] [CrossRef]
- Chen, Y.; Lymberopoulos, D.; Liu, J.; Priyantha, B. Indoor localization using FM signals. IEEE Trans. Mob. Comput. 2013, 12, 1502–1517. [Google Scholar] [CrossRef]
- Lan, T.; Wang, X.; Chen, Z.; Zhu, J.; Zhang, S. Fingerprint augment based on super-resolution for WiFi fingerprint based indoor localization. IEEE Sens. J. 2022, 22, 12152–12162. [Google Scholar] [CrossRef]
- Torres-Sospedra, J.; Montoliu, R.; Martínez-Usó, A.; Avariento, J.P.; Arnau, T.J.; Benedito-Bordonau, M.; Huerta, J. UJIIndoorLoc: A new multi-building and multi-floor database for WLAN fingerprint-based indoor localization problems. In Proceedings of the 2014 International Conference on Indoor Positioning and Indoor Navigation (IPIN), Busan, Republic of Korea, 27–30 October 2014; pp. 261–270. [Google Scholar]
- Roy, P.; Chowdhury, C. A survey of machine learning techniques for indoor localization and navigation systems. J. Intell. Robot. Syst. 2021, 101, 63. [Google Scholar] [CrossRef]
- Brunato, M.; Battiti, R. Statistical learning theory for location fingerprinting in wireless LANs. Comput. Netw. 2005, 47, 825–845. [Google Scholar] [CrossRef]
- Hoang, M.T.; Zhu, Y.; Yuen, B.; Reese, T.; Dong, X.; Lu, T.; Westendorp, R.; Xie, M. A soft range limited K-nearest neighbors algorithm for indoor localization enhancement. IEEE Sens. J. 2018, 18, 10208–10216. [Google Scholar] [CrossRef]
- Fang, S.H.; Lin, T.N. Indoor location system based on discriminant-adaptive neural network in IEEE 802.11 environments. IEEE Trans. Neural Netw. 2008, 19, 1973–1978. [Google Scholar] [CrossRef] [PubMed]
- Nurpeiissov, M.; Kuzdeuov, A.; Assylkhanov, A.; Khassanov, Y.; Varol, H.A. End-to-end sequential indoor localization using smartphone inertial sensors and WiFi. In Proceedings of the 2022 IEEE/SICE International Symposium on System Integration (SII), Narvik, Norway, 9–12 January 2022; pp. 566–571. [Google Scholar]
- Zhang, Y.; Qu, C.; Wang, Y. An indoor positioning method based on CSI by using features optimization mechanism with LSTM. IEEE Sens. J. 2020, 20, 4868–4878. [Google Scholar] [CrossRef]
- Gibbons, F.X. Self-attention and behavior: A review and theoretical update. Adv. Exp. Soc. Psychol. 1990, 23, 249–303. [Google Scholar]
- Zhao, H.; Jia, J.; Koltun, V. Exploring self-attention for image recognition. In Proceedings of the IEEE/CVF Conference on Computer Vision and Pattern Recognition, Seattle, WA, USA, 13–19 June 2020; pp. 10076–10085. [Google Scholar]
- Humphreys, G.W.; Sui, J. Attentional control and the self: The self-attention network (SAN). Cogn. Neurosci. 2016, 7, 5–17. [Google Scholar] [CrossRef] [PubMed]
- Vaswani, A.; Shazeer, N.; Parmar, N.; Uszkoreit, J.; Jones, L.; Gomez, A.N.; Kaiser, Ł.; Polosukhin, I. Attention is all you need. In Proceedings of the Advances in Neural Information Processing Systems 30 (NIPS 2017), Long Beach, CA, USA, 4–9 December 2017. [Google Scholar]
- Bahl, P.; Padmanabhan, V.N. RADAR: An in-building RF-based user location and tracking system. In Proceedings of the Proceedings IEEE INFOCOM 2000, Conference on Computer Communications, Nineteenth Annual Joint Conference of the IEEE Computer and Communications Societies (Cat. No. 00CH37064), Tel Aviv, Israel, 26–30 March 2000; Volume 2, pp. 775–784. [Google Scholar]
- Jedari, E.; Wu, Z.; Rashidzadeh, R.; Saif, M. Wi-Fi based indoor location positioning employing random forest classifier. In Proceedings of the 2015 International Conference on Indoor Positioning and Indoor Navigation (IPIN), Banff, AB, Canada, 13–16 October 2015; pp. 1–5. [Google Scholar]
- Ding, J.; Wang, Y.; Fu, S.; Si, H.; Zhang, J.; Gao, S. Multiview features fusion and Adaboost based indoor localization on Wifi platform. IEEE Sens. J. 2022, 22, 16607–16616. [Google Scholar] [CrossRef]
- Singh, N.; Choe, S.; Punmiya, R.; Kaur, N. XGBLoc: XGBoost-Based Indoor Localization in Multi-Building Multi-Floor Environments. Sensors 2022, 22, 6629. [Google Scholar] [CrossRef]
- Tekler, Z.D.; Low, R.; Gunay, B.; Andersen, R.K.; Blessing, L. A scalable Bluetooth Low Energy approach to identify occupancy patterns and profiles in office spaces. Build. Environ. 2020, 171, 106681. [Google Scholar] [CrossRef]
- Chen, Z.; Zou, H.; Yang, J.; Jiang, H.; Xie, L. WiFi fingerprinting indoor localization using local feature-based deep LSTM. IEEE Syst. J. 2019, 14, 3001–3010. [Google Scholar] [CrossRef]
- Chorowski, J.K.; Bahdanau, D.; Serdyuk, D.; Cho, K.; Bengio, Y. Attention-based models for speech recognition. In Advances in Neural Information Processing Systems; MIT Press: St. Cambridge, MA, USA, 2015; pp. 577–585. [Google Scholar]
- Yang, C.H.; Qi, J.; Chen, P.Y.; Ma, X.; Lee, C.H. Characterizing speech adversarial examples using self-attention u-net enhancement. In Proceedings of the ICASSP 2020—2020 IEEE International Conference on Acoustics, Speech and Signal Processing (ICASSP), Barcelona, Spain, 4–8 May 2020; pp. 3107–3111. [Google Scholar]
- Mittag, G.; Naderi, B.; Chehadi, A.; Möller, S. Nisqa: A deep cnn-self-attention model for multidimensional speech quality prediction with crowdsourced datasets. arXiv 2021, arXiv:2104.09494. [Google Scholar]
- Zang, H.; Xu, R.; Cheng, L.; Ding, T.; Liu, L.; Wei, Z.; Sun, G. Residential load forecasting based on LSTM fusing self-attention mechanism with pooling. Energy 2021, 229, 120682. [Google Scholar] [CrossRef]
- Finney, D.J. Probit analysis: A statistical treatment of the sigmoid response curve. J. R. Stat. Soc. 1947, 110, 263–266. [Google Scholar]
- Torres-Sospedra, J.; Montoliu, R.; Trilles, S.; Belmonte, Ó.; Huerta, J. Comprehensive analysis of distance and similarity measures for Wi-Fi fingerprinting indoor positioning systems. Expert Syst. Appl. 2015, 42, 9263–9278. [Google Scholar] [CrossRef]
- Song, X.; Fan, X.; Xiang, C.; Ye, Q.; Liu, L.; Wang, Z.; He, X.; Yang, N.; Fang, G. A novel convolutional neural network based indoor localization framework with WiFi fingerprinting. IEEE Access 2019, 7, 110698–110709. [Google Scholar] [CrossRef]
- He, K.; Zhang, X.; Ren, S.; Sun, J. Deep residual learning for image recognition. In Proceedings of the IEEE Conference on Computer Vision and Pattern Recognition, Las Vegas, NV, USA, 27–30 June 2016; pp. 770–778. [Google Scholar]
- Morselli, F.; Razavi, S.M.; Win, M.Z.; Conti, A. Soft information based localization for 5G networks and beyond. IEEE Trans. Wirel. Commun. 2023, 22, 9923–9938. [Google Scholar] [CrossRef]
















| Parameters | Values | 
|---|---|
| Bluetooth version | BLE 5.0 | 
| Bluetooth protocol | iBeacon | 
| Working temperature | −30∼25 °C | 
| Maximum transmission distance | 120 m | 
| Transmitted power | −30∼+4 dBm (default: 0 dBm) | 
| Broadcast interval | 100 ms∼10 s (default: 500 ms) | 
| Layer | 2D Experiment | 3D Experiment | 
|---|---|---|
| Linear layer 1 | (24 × 64) | (436 × 128) | 
| LSTM layer | (64 × 64) | (128 × 128) | 
| Linear layer 2 | (64 × 4) | (128 × 4) | 
| Convolution layer | 3 × 3 kernels, 1 filter | 3 × 3 kernels, 1 filter | 
| Linear layer 3 | (62 × 2) | (126 × 3) | 
| Batch size | 2 | 2 | 
| Initial learning rate | 0.001 | 0.001 | 
| Optimizer | Adam | Adam | 
| Loss function | MSE | MSE | 
| Training epochs | 200 | 100 | 
| Method | Average Error (m) | Maximum Error (m) | ||
|---|---|---|---|---|
| Validation Set | Test Set | Validation Set | Test Set | |
| KNN | 2.53 | 3.36 | 18.39 | 15.22 | 
| WKNN | 2.53 | 3.33 | 18.41 | 15.42 | 
| FNN | 3.49 | 5.28 | 12.44 | 12.54 | 
| Linear regression | 3.64 | 5.31 | 13.06 | 12.34 | 
| RNN | 3.37 | 4.16 | 12.67 | 12.64 | 
| LSTM | 2.57 | 3.07 | 13.73 | 13.73 | 
| SA-LSTM | 1.67 | 1.76 | 12.35 | 12.35 | 
| Method | Average Error (m) | Maximum Error (m) | ||
|---|---|---|---|---|
| Validation Set | Test Set | Validation Set | Test Set | |
| KNN | 3.42 | 3.45 | 68.95 | 69.99 | 
| WKNN | 3.41 | 3.44 | 68.95 | 69.99 | 
| FNN | 6.41 | 6.81 | 68.79 | 58.70 | 
| Linear regression | 7.06 | 7.56 | 100.44 | 89.74 | 
| RNN | 3.73 | 4.93 | 40.71 | 60.96 | 
| LSTM | 3.91 | 4.14 | 66.91 | 69.29 | 
| SA-LSTM | 2.56 | 2.83 | 28.46 | 57.64 | 
| Disclaimer/Publisher’s Note: The statements, opinions and data contained in all publications are solely those of the individual author(s) and contributor(s) and not of MDPI and/or the editor(s). MDPI and/or the editor(s) disclaim responsibility for any injury to people or property resulting from any ideas, methods, instructions or products referred to in the content. | 
© 2024 by the authors. Licensee MDPI, Basel, Switzerland. This article is an open access article distributed under the terms and conditions of the Creative Commons Attribution (CC BY) license (https://creativecommons.org/licenses/by/4.0/).
Share and Cite
Wu, Z.; Hu, P.; Liu, S.; Pang, T. Attention Mechanism and LSTM Network for Fingerprint-Based Indoor Location System. Sensors 2024, 24, 1398. https://doi.org/10.3390/s24051398
Wu Z, Hu P, Liu S, Pang T. Attention Mechanism and LSTM Network for Fingerprint-Based Indoor Location System. Sensors. 2024; 24(5):1398. https://doi.org/10.3390/s24051398
Chicago/Turabian StyleWu, Zhen, Peng Hu, Shuangyue Liu, and Tao Pang. 2024. "Attention Mechanism and LSTM Network for Fingerprint-Based Indoor Location System" Sensors 24, no. 5: 1398. https://doi.org/10.3390/s24051398
APA StyleWu, Z., Hu, P., Liu, S., & Pang, T. (2024). Attention Mechanism and LSTM Network for Fingerprint-Based Indoor Location System. Sensors, 24(5), 1398. https://doi.org/10.3390/s24051398
 
        


 
       