Noninvasive Diabetes Detection through Human Breath Using TinyML-Powered E-Nose
Abstract
1. Introduction
2. Materials and Methods
2.1. E-Nose and Gas Sensors
2.2. Gas-Sensing Mechanism
- Gas sensors of the MQ series: The sensing mechanism is based on the principle of detecting changes in the electrical conductivity of a semiconductor material when exposed to specific gases. These sensors consist of a thin layer of metal oxide deposited on a ceramic or glass substrate. Upon interaction with gases, chemical reactions occur on the surface of the semiconductor material, initiating with the adsorption of gas molecules. This process alters the electronic structure of the metal oxide layer, resulting in a change in its electrical conductivity. The magnitude of this conductivity change is directly proportional to the concentration of the target gas in the environment, facilitating the determination of gas presence and concentration [16,24,35,37].
- MICS-5524 sensor: The gas-sensing mechanism relies on an electrochemical detection principle to measure the concentration of specific gases in the environment. This sensor is constructed with a catalytic detection electrode sensitive to the target gas and a counter electrode. Upon coming into contact with the target gas, a chemical reaction occurs at the detection electrode, generating an electric current proportional to the gas concentration. This electric current is then amplified and converted into an output signal that can be measured and quantified to determine the concentration of the target gas. This process enables the precise and sensitive detection of gases across a wide range of applications [16,23,24].
- DHT-22 sensor: The sensor operates based on capacitive humidity sensing coupled with a thermistor for temperature measurement. This sensor comprises a humidity-sensitive capacitive element and a thermistor enclosed within its housing. The capacitive element detects changes in electrical capacitance caused by variations in the surrounding air’s moisture content, facilitating precise humidity measurements. Simultaneously, the thermistor measures temperature variations by detecting changes in its electrical resistance. Both humidity and temperature data are then processed and outputted by the sensor, providing accurate and reliable environmental measurements. This combination of capacitive humidity sensing and thermistor-based temperature measurement ensures the effectiveness of the DHT-22 sensor in various applications requiring precise monitoring of humidity and temperature levels [67,68].
2.3. Sensor Calibration and Patient Breath Sample Collection
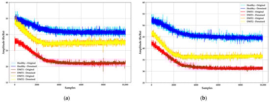
2.4. Data Preprocessing and Feature Selection
3. Results
3.1. Classification with XGBoost
3.2. Classification with Deep Neural Networks
3.3. Comparison with Classic Machine Learning Algorithms and Deep Neural Networks
3.4. Integration of TinyML into Arduino Nano 33 BLE Sense
4. Discussion
5. Conclusions
6. Patents
Author Contributions
Funding
Institutional Review Board Statement
Informed Consent Statement
Data Availability Statement
Acknowledgments
Conflicts of Interest
References
- Clarke, S.F.; Foster, J.R. A history of blood glucose meters and their role in self-monitoring of diabetes mellitus. Br. J. Biomed. Sci. 2012, 69, 83–93. [Google Scholar] [CrossRef] [PubMed]
- Lin, R.; Brown, F.; James, S.; Jones, J.; Ekinci, E. Continuous glucose monitoring: A review of the evidence in type 1 and 2 diabetes mellitus. Diabet. Med. 2021, 38, e14528. [Google Scholar] [CrossRef]
- Cole, J.B.; Florez, J.C. Genetics of diabetes mellitus and diabetes complications. Nat. Rev. Nephrol. 2020, 16, 377–390. [Google Scholar] [CrossRef]
- Cloete, L. Diabetes mellitus: An overview of the types, symptoms, complications and management. Nurs. Stand. (R. Coll. Nurs. (Great Br.) 1987) 2022, 37, 61–66. [Google Scholar] [CrossRef] [PubMed]
- Alam, S.; Hasan, M.K.; Neaz, S.; Hussain, N.; Hossain, M.F.; Rahman, T. Diabetes Mellitus: Insights from epidemiology, biochemistry, risk factors, diagnosis, complications and comprehensive management. Diabetology 2021, 2, 36–50. [Google Scholar] [CrossRef]
- Magliano, D.J.; Sacre, J.W.; Harding, J.L.; Gregg, E.W.; Zimmet, P.Z.; Shaw, J.E. Young-onset type 2 diabetes mellitus—Implications for morbidity and mortality. Nat. Rev. Endocrinol. 2020, 16, 321–331. [Google Scholar] [CrossRef] [PubMed]
- Samuelsson, J.; Samuelsson, U.; Hanberger, L.; Bladh, M.; Åkesson, K. Poor metabolic control in childhood strongly correlates to diabetes-related premature death in persons< 30 years of age—A population-based cohort study. Pediatr. Diabetes 2020, 21, 479–485. [Google Scholar] [CrossRef]
- Sun, H.; Saeedi, P.; Karuranga, S.; Pinkepank, M.; Ogurtsova, K.; Duncan, B.B.; Magliano, D.J. IDF Diabetes Atlas: Global, regional and country-level diabetes prevalence estimates for 2021 and projections for 2045. Diabetes Res. Clin. Pract. 2022, 183, 109119. [Google Scholar] [CrossRef]
- Rooney, M.R.; Fang, M.; Ogurtsova, K.; Ozkan, B.; Echouffo-Tcheugui, J.B.; Boyko, E.J.; Selvin, E. Global prevalence of prediabetes. Diabetes Care 2023, 46, 1388–1394. [Google Scholar] [CrossRef]
- Magkos, F.; Hjorth, M.F.; Astrup, A. Diet and exercise in the prevention and treatment of type 2 diabetes mellitus. Nat. Rev. Endocrinol. 2020, 16, 545–555. [Google Scholar] [CrossRef]
- Janež, A.; Guja, C.; Mitrakou, A.; Lalic, N.; Tankova, T.; Czupryniak, L.; Smircic-Duvnjak, L. Insulin therapy in adults with type 1 diabetes mellitus: A narrative review. Diabetes Ther. 2020, 11, 387–409. [Google Scholar] [CrossRef]
- Pauley, M.E.; Tommerdahl, K.L.; Snell-Bergeon, J.K.; Forlenza, G.P. Continuous glucose monitor, insulin pump, and automated insulin delivery therapies for type 1 diabetes: An update on potential for cardiovascular benefits. Curr. Cardiol. Rep. 2022, 24, 2043–2056. [Google Scholar] [CrossRef] [PubMed]
- Yang, J.; Yang, X.; Zhao, D.; Wang, X.; Wei, W.; Yuan, H. Association of time in range, as assessed by continuous glucose monitoring, with painful diabetic polyneuropathy. J. Diabetes Investig. 2021, 12, 828–836. [Google Scholar] [CrossRef]
- Zhang, X.; Zhu, X.; Ji, Y.; Li, H.; Hou, F.; Xiao, C.; Yuan, P. Increased risk of hepatitis B virus infection amongst individuals with diabetes mellitus. Biosci. Rep. 2019, 39, BSR20181715. [Google Scholar] [CrossRef] [PubMed]
- Rebeiro, P.F.; Jenkins, C.A.; Bian, A.; Lake, J.E.; Bourgi, K.; Moore, R.D.; Koethe, J.R. Risk of incident diabetes mellitus, weight gain, and their relationships with integrase inhibitor–based initial antiretroviral therapy among persons with human immunodeficiency virus in the United States and Canada. Clin. Infect. Dis. 2021, 73, e2234–e2242. [Google Scholar] [CrossRef]
- Lekha, S.; Suchetha, M. Recent advancements and future prospects on e-nose sensors technology and machine learning approaches for non-invasive diabetes diagnosis: A review. IEEE Rev. Biomed. Eng. 2021, 14, 127–138. [Google Scholar] [CrossRef]
- Zhao, M.; Leung, P.S. Revisiting the use of biological fluids for noninvasive glucose detection. Future Med. Chem. 2020, 12, 645–647. [Google Scholar] [CrossRef] [PubMed]
- Mandpe, P.; Prabhakar, B.; Gupta, H.; Shende, P. Glucose oxidase-based biosensor for glucose detection from biological fluids. Sens. Rev. 2020, 40, 497–511. [Google Scholar] [CrossRef]
- Shang, T.; Zhang, J.Y.; Thomas, A.; Arnold, M.A.; Vetter, B.N.; Heinemann, L.; Klonoff, D.C. Products for monitoring glucose levels in the human body with noninvasive optical, noninvasive fluid sampling, or minimally invasive technologies. J. Diabetes Sci. Technol. 2022, 16, 168–214. [Google Scholar] [CrossRef]
- Tang, L.; Chang, S.J.; Chen, C.J.; Liu, J.T. Non-invasive blood glucose monitoring technology: A review. Sensors 2020, 20, 6925. [Google Scholar] [CrossRef]
- He, J.; Sun, X.; Yang, X. Human respiratory system as sink for volatile organic compounds: Evidence from field measurements. Indoor Air 2019, 29, 968–978. [Google Scholar] [CrossRef] [PubMed]
- Chen, T.; Liu, T.; Li, T.; Zhao, H.; Chen, Q. Exhaled breath analysis in disease detection. Clin. Chim. Acta 2021, 515, 61–72. [Google Scholar] [CrossRef] [PubMed]
- Das, S.; Pal, M. Non-invasive monitoring of human health by exhaled breath analysis: A comprehensive review. J. Electrochem. Soc. 2020, 167, 037562. [Google Scholar] [CrossRef]
- Lagopati, N.; Valamvanos, T.-F.; Proutsou, V.; Karachalios, K.; Pippa, N.; Gatou, M.-A.; Vagena, I.-A.; Cela, S.; Pavlatou, E.A.; Gazouli, M.; et al. The Role of Nano-Sensors in Breath Analysis for Early and Non-Invasive Disease Diagnosis. Chemosensors 2023, 11, 317. [Google Scholar] [CrossRef]
- Ghelli, F.; Panizzolo, M.; Garzaro, G.; Squillacioti, G.; Bellisario, V.; Colombi, N.; Bono, R. Inflammatory biomarkers in exhaled breath condensate: A systematic review. Int. J. Mol. Sci. 2022, 23, 9820. [Google Scholar] [CrossRef] [PubMed]
- Gashimova, E.M.; Temerdashev, A.Z.; Porkhanov, V.A.; Polyakov, I.S.; Perunov, D.V. Volatile Organic Compounds in Exhaled Breath as Biomarkers of Lung Cancer: Advances and Potential Problems. J. Anal. Chem. 2022, 77, 785–810. [Google Scholar] [CrossRef]
- Ratiu, I.A.; Ligor, T.; Bocos-Bintintan, V.; Mayhew, C.A.; Buszewski, B. Volatile organic compounds in exhaled breath as fingerprints of lung cancer, asthma and COPD. J. Clin. Med. 2020, 10, 32. [Google Scholar] [CrossRef]
- Galiniak, S.; Rohovyk, N.; Rachel, M. Biomarkers of nitrosative stress in exhaled breath condensate and serum among patients with cystic fibrosis. Adv. Med. Sci. 2023, 68, 202–207. [Google Scholar] [CrossRef]
- Ketchanji Mougang, Y.C.; Endale Mangamba, L.M.; Capuano, R.; Ciccacci, F.; Catini, A.; Paolesse, R.; Di Natale, C. On-Field Test of Tuberculosis Diagnosis through Exhaled Breath Analysis with a Gas Sensor Array. Biosensors 2023, 13, 570. [Google Scholar] [CrossRef]
- Tozlu, B.H.; Şimşek, C.; Aydemir, O.; Karavelioglu, Y. A High performance electronic nose system for the recognition of myocardial infarction and coronary artery diseases. Biomed. Signal Process. Control 2021, 64, 102247. [Google Scholar] [CrossRef]
- De Vietro, N.; Aresta, A.; Rotelli, M.T.; Zambonin, C.; Lippolis, C.; Picciariello, A.; Altomare, D.F. Relationship between cancer tissue derived and exhaled volatile organic compound from colorectal cancer patients. Preliminary results. J. Pharm. Biomed. Anal. 2020, 180, 113055. [Google Scholar] [CrossRef]
- Anzivino, R.; Sciancalepore, P.I.; Dragonieri, S.; Quaranta, V.N.; Petrone, P.; Petrone, D.; Carpagnano, G.E. The role of a polymer-based e-nose in the detection of head and neck cancer from exhaled breath. Sensors 2022, 22, 6485. [Google Scholar] [CrossRef]
- Bax, C.; Robbiani, S.; Zannin, E.; Capelli, L.; Ratti, C.; Bonetti, S.; Dellacà, R.L. An experimental apparatus for e-nose breath analysis in respiratory failure patients. Diagnostics 2022, 12, 776. [Google Scholar] [CrossRef] [PubMed]
- Polaka, I.; Bhandari, M.P.; Mezmale, L.; Anarkulova, L.; Veliks, V.; Sivins, A.; Leja, M. Modular point-of-care breath analyzer and shape taxonomy-based machine learning for gastric cancer detection. Diagnostics 2022, 12, 491. [Google Scholar] [CrossRef] [PubMed]
- Paleczek, A.; Rydosz, A. Review of the algorithms used in exhaled breath analysis for the detection of diabetes. J. Breath Res. 2022, 16, 026003. [Google Scholar] [CrossRef] [PubMed]
- Dixit, K.; Fardindoost, S.; Ravishankara, A.; Tasnim, N.; Hoorfar, M. Exhaled breath analysis for diabetes diagnosis and monitoring: Relevance, challenges and possibilities. Biosensors 2021, 11, 476. [Google Scholar] [CrossRef] [PubMed]
- Wulandari, S.A.; Pramitasari, R.; Madnasri, S. Electronic noses for diabetes mellitus detection: A review. In Proceedings of the 2020 International Seminar on Application for Technology of Information and Communication (iSemantic), Semarang, Indonesia, 19–20 September 2020; IEEE: Piscataway, NJ, USA, 2020; pp. 364–369. [Google Scholar] [CrossRef]
- Jang, W.B.; Yi, D.; Nguyen, T.M.; Lee, Y.; Lee, E.J.; Choi, J.; Kwon, S.M. Artificial Neural Processing-Driven Bioelectronic Nose for the Diagnosis of Diabetes and Its Complications. Adv. Healthc. Mater. 2023, 12, 2300845. [Google Scholar] [CrossRef] [PubMed]
- Obeidat, Y. The most common methods for breath acetone concentration detection: A review. IEEE Sens. J. 2021, 21, 14540–14558. [Google Scholar] [CrossRef]
- Shokrekhodaei, M.; Quinones, S. Review of non-invasive glucose sensing techniques: Optical, electrical and breath acetone. Sensors 2020, 20, 1251. [Google Scholar] [CrossRef] [PubMed]
- Deng, C.; Zhang, J.; Yu, X.; Zhang, W.; Zhang, X. Determination of acetone in human breath by gas chromatography–mass spectrometry and solid-phase microextraction with on-fiber derivatization. J. Chromatogr. B 2004, 810, 269–275. [Google Scholar] [CrossRef]
- Belluomo, I.; Boshier, P.R.; Myridakis, A.; Vadhwana, B.; Markar, S.R.; Spanel, P.; Hanna, G.B. Selected ion flow tube mass spectrometry for targeted analysis of volatile organic compounds in human breath. Nat. Protoc. 2021, 16, 3419–3438. [Google Scholar] [CrossRef]
- Xu, W.; Zou, X.; Ding, H.; Ding, Y.; Zhang, J.; Liu, W.; Chu, Y. Rapid and non-invasive diagnosis of type 2 diabetes through sniffing urinary acetone by a proton transfer reaction mass spectrometry. Talanta 2023, 256, 124265. [Google Scholar] [CrossRef] [PubMed]
- Sarno, R.; Sabilla, S.I.; Wijaya, D.R. Electronic Nose for Detecting Multilevel Diabetes using Optimized Deep Neural Network. Eng. Lett. 2020, 28. [Google Scholar]
- Saidi, T.; Zaim, O.; Moufid, M.; El Bari, N.; Ionescu, R.; Bouchikhi, B. Exhaled breath analysis using electronic nose and gas chromatography–mass spectrometry for non-invasive diagnosis of chronic kidney disease, diabetes mellitus and healthy subjects. Sens. Actuators B Chem. 2018, 257, 178–188. [Google Scholar] [CrossRef]
- Zaim, O.; Bouchikhi, B.; Motia, S.; Abelló, S.; Llobet, E.; El Bari, N. Discrimination of Diabetes Mellitus Patients and Healthy Individuals Based on Volatile Organic Compounds (VOCs): Analysis of Exhaled Breath and Urine Samples by Using E-Nose and VE-Tongue. Chemosensors 2023, 11, 350. [Google Scholar] [CrossRef]
- Yan, K.; Zhang, D.; Wu, D.; Wei, H.; Lu, G. Design of a breath analysis system for diabetes screening and blood glucose level prediction. IEEE Trans. Biomed. Eng. 2014, 61, 2787–2795. [Google Scholar] [CrossRef] [PubMed]
- Weng, X.; Li, G.; Liu, Z.; Liu, R.; Liu, Z.; Wang, S.; Chang, Z. A preliminary screening system for diabetes based on in-car electronic nose. Endocr. Connect. 2023, 12, e220437. [Google Scholar] [CrossRef] [PubMed]
- Ye, Z.; Wang, J.; Hua, H.; Zhou, X.; Li, Q. Precise detection and quantitative prediction of blood glucose level with an electronic nose system. IEEE Sens. J. 2022, 22, 12452–12459. [Google Scholar] [CrossRef]
- Paleczek, A.; Grochala, D.; Rydosz, A. Artificial breath classification using XGBoost algorithm for diabetes detection. Sensors 2021, 21, 4187. [Google Scholar] [CrossRef]
- Lekha, S.; Suchetha, M. Real-time non-invasive detection and classification of diabetes using modified convolution neural network. IEEE J. Biomed. Health Inform. 2017, 22, 1630–1636. [Google Scholar] [CrossRef]
- Lekha, S.; Suchetha, M. A novel 1-D convolution neural network with SVM architecture for real-time detection applications. IEEE Sens. J. 2017, 18, 724–731. [Google Scholar] [CrossRef]
- Alajlan, N.N.; Ibrahim, D.M. TinyML: Enabling of inference deep learning models on ultra-low-power IoT edge devices for AI applications. Micromachines 2022, 13, 851. [Google Scholar] [CrossRef] [PubMed]
- Abadade, Y.; Temouden, A.; Bamoumen, H.; Benamar, N.; Chtouki, Y.; Hafid, A.S. A comprehensive survey on TinyML. IEEE Access 2023, 11, 96892–96922. [Google Scholar] [CrossRef]
- Kallimani, R.; Pai, K.; Raghuwanshi, P.; Iyer, S.; López, O.L. TinyML: Tools, Applications, Challenges, and Future Research Directions. Multimed Tools Appl. 2023. [Google Scholar] [CrossRef]
- Banbury, C.R.; Reddi, V.J.; Lam, M.; Fu, W.; Fazel, A.; Holleman, J.; Yadav, P. Benchmarking tinyml systems: Challenges and direction. arXiv 2020, arXiv:2003.04821. [Google Scholar]
- Srinivasagan, R.; Mohammed, M.; Alzahrani, A. TinyML-sensor for shelf life estimation of fresh date fruits. Sensors 2023, 23, 7081. [Google Scholar] [CrossRef]
- Shamim, M.Z.M. TinyML model for classifying hazardous volatile organic compounds using low-power embedded edge sensors: Perfecting factory 5.0 using edge AI. IEEE Sens. Lett. 2022, 6, 2022. [Google Scholar] [CrossRef]
- Kapur, R.; Kumar, Y.; Sharma, S.; Rastogi, V.; Sharma, S.; Kanwar, V.; Dutt, V. DiabeticSense: A Non-Invasive, Multi-Sensor, IoT-Based Pre-Diagnostic System for Diabetes Detection Using Breath. J. Clin. Med. 2023, 12, 6439. [Google Scholar] [CrossRef]
- Ooko, S.O.; Mukanyiligira, D.; Munyampundu, J.P.; Nsenga, J. Edge AI-based respiratory disease recognition from exhaled breath signatures. In Proceedings of the 2021 IEEE Jordan International Joint Conference on Electrical Engineering and Information Technology (JEEIT), Amman, Jordan, 16–18 November 2021; IEEE: Piscataway, NJ, USA, 2021; pp. 89–94. [Google Scholar] [CrossRef]
- Zhu, T.; Kuang, L.; Li, K.; Zeng, J.; Herrero, P.; Georgiou, P. Blood glucose prediction in type 1 diabetes using deep learning on the edge. In Proceedings of the 2021 IEEE International Symposium on Circuits and Systems (ISCAS), Daegu, Republic of Korea, 22–28 May 2021; IEEE: Piscataway, NJ, USA, 2021; pp. 1–5. [Google Scholar] [CrossRef]
- Diab, M.S.; Rodriguez-Villegas, E. Embedded Machine Learning Using Microcontrollers in Wearable and Ambulatory Systems for Health and Care Applications: A Review. IEEE Access 2022, 10, 98450–98474. [Google Scholar] [CrossRef]
- Ahmed, K.; Hassan, M. TinyCare: A tinyML-based Low-Cost Continuous Blood Pressure Estimation on the Extreme Edge. In Proceedings of the 2022 IEEE 10th International Conference on Healthcare Informatics (ICHI), Rochester, MN, USA, 11–14 June 2022; IEEE: Piscataway, NJ, USA, 2022; pp. 264–275. [Google Scholar] [CrossRef]
- Rana, A.; Dhiman, Y.; Anand, R. Cough detection system using TinyML. In Proceedings of the 2022 International Conference on Computing, Communication and Power Technology (IC3P), Visakhapatnam, India, 7–8 January 2022; IEEE: Piscataway, NJ, USA, 2022; pp. 119–122. [Google Scholar] [CrossRef]
- Shamim, M.Z.M. Hardware Deployable Edge-AI Solution for Prescreening of Oral Tongue Lesions Using TinyML on Embedded Devices. IEEE Embed. Syst. Lett. 2022, 14, 183–186. [Google Scholar] [CrossRef]
- Hashir, M.; Khalid, N.; Mahmood, N.; Rehman, M.A.; Asad, M.; Mehmood, M.Q.; Massoud, Y. A TinyML based portable, low-cost microwave head imaging system for brain stroke detection. In Proceedings of the 2023 IEEE International Symposium on Circuits and Systems (ISCAS), Monterey, CA, USA, 21–25 May 2023; IEEE: Piscataway, NJ, USA, 2023; pp. 1–4. [Google Scholar] [CrossRef]
- Nasution, T.I.; Sinaga, S.H. Design of Monitoring System Temperature And Humidity Using DHT22 Sensor and NRF24L01 Based on Arduino. In Journal of Physics: Conference Series; IOP Publishing: Bristol, UK, 2022; Volume 2421, p. 012018. [Google Scholar] [CrossRef]
- Liu, T. Digital-Output Relative Humidity & Temperature Sensor/Module DHT22 (DHT22 Also Named as AM2302); Aosong Electronics Co.: Guangzhou, China, 2015. [Google Scholar]




















| Sensor | Target Gases | Detection Range of Target Gas | Sensor Materials | Environment Condition Working |
|---|---|---|---|---|
| MQ–2 | , LPG, , CO, alcohol, propane, air | 200–10,000 ppm CO | Gas-sensing layer: Electrode: Au Electrode line: Pt Heater coil: Ni-Cr alloy Tubular ceramic: Anti-explosion network: stainless steel gauze (SUS316 100-mesh) Clamp ring: copper-plated Ni Resin base: Bakelite Tuber pin: copper-plated Ni | Temperature: −10–50 °C RH: less than 95% Standard detecting condition: 20 °C ± 2 °C temperature, 65% ± 5% humidity |
| MQ–3 | Alcohol, benzine, , hexane, LGP, CO, air | 0.1–10 mg/L alcohol | ||
| MQ–7 | , CO, LPG, , alcohol, air | 50–4000 ppm CO | ||
| MQ–135 | , alcohol, air, , toluene, acetone, CO | 0–200 ppm acetone | ||
| MQ–138 | Benzene, CO, , n-hexane, alcohol, propane, air | 200–10,000 ppm benzene | ||
| DHT–22 | Temperature, relative humidity | −40 °C–80 °C temperature, 0–100% relative humidity | Humidity-sensitive capacitive element: polymer material with high dielectric constant Thermistor: ceramic semiconductor material Housing: durable plastic or resin Electrical connectors: copper or gold-plated metals | Temperature: 0–50 °C RH: 0–100% |
| MICS–5524 | CO, VOCs, OH, , , | 1–1000 ppm VOCs | Catalytic detection electrode: Pt Counter electrode: Pt Ceramic components: fabrication of the sensor substrate Metallic components: steel wires or other metallic materials used in the construction of the sensor encapsulation | Temperature: 23 °C ± 5 °C RH: less than 95% |
| Parameter | Healthy Patients | Diabetes Mellitus Patients |
|---|---|---|
| Age (yr.) | 23.64 ± 2.19 | 29.95 ± 4.24 |
| Height (cm) | 1.72 ± 0.12 | 1.69 ± 0.12 |
| Weight (kg) | 72.16 ± 10.38 | 76.80 ± 11.42 |
| BMI (kg/m2) | 24.47 ± 4.02 | 27.33 ± 6.20 |
| Gender (M/F) | 13 M/9 F | 10 M/12 F |
| Number of participants by healthy individuals (HI) or type of diabetes mellitus (T1DMI/T2DMI) | 22 HI | 8 T1DMI/14 T2DMI |
| Minimum and maximum BGL (mg/dL) | 80.59/94.63 | 139.28/303.10 |
| Parameter | Value |
|---|---|
| Learning rate | 0.05 |
| Max depth | 3 |
| N estimators | 100 |
| Regularizes (alpha and lambda) | 1, 0.1 |
| Detection | Precision | Recall | F1-Score | Support |
|---|---|---|---|---|
| HI | 0.91 | 1.0 | 0.95 | 10 |
| DMI | 1.00 | 0.90 | 0.95 | 10 |
| Detection | Precision | Recall | F1-Score | Support |
|---|---|---|---|---|
| HI | 0.90 | 1.0 | 0.95 | 9 |
| DMI | 1.00 | 0.89 | 0.94 | 9 |
Disclaimer/Publisher’s Note: The statements, opinions and data contained in all publications are solely those of the individual author(s) and contributor(s) and not of MDPI and/or the editor(s). MDPI and/or the editor(s) disclaim responsibility for any injury to people or property resulting from any ideas, methods, instructions or products referred to in the content. |
© 2024 by the authors. Licensee MDPI, Basel, Switzerland. This article is an open access article distributed under the terms and conditions of the Creative Commons Attribution (CC BY) license (https://creativecommons.org/licenses/by/4.0/).
Share and Cite
Gudiño-Ochoa, A.; García-Rodríguez, J.A.; Ochoa-Ornelas, R.; Cuevas-Chávez, J.I.; Sánchez-Arias, D.A. Noninvasive Diabetes Detection through Human Breath Using TinyML-Powered E-Nose. Sensors 2024, 24, 1294. https://doi.org/10.3390/s24041294
Gudiño-Ochoa A, García-Rodríguez JA, Ochoa-Ornelas R, Cuevas-Chávez JI, Sánchez-Arias DA. Noninvasive Diabetes Detection through Human Breath Using TinyML-Powered E-Nose. Sensors. 2024; 24(4):1294. https://doi.org/10.3390/s24041294
Chicago/Turabian StyleGudiño-Ochoa, Alberto, Julio Alberto García-Rodríguez, Raquel Ochoa-Ornelas, Jorge Ivan Cuevas-Chávez, and Daniel Alejandro Sánchez-Arias. 2024. "Noninvasive Diabetes Detection through Human Breath Using TinyML-Powered E-Nose" Sensors 24, no. 4: 1294. https://doi.org/10.3390/s24041294
APA StyleGudiño-Ochoa, A., García-Rodríguez, J. A., Ochoa-Ornelas, R., Cuevas-Chávez, J. I., & Sánchez-Arias, D. A. (2024). Noninvasive Diabetes Detection through Human Breath Using TinyML-Powered E-Nose. Sensors, 24(4), 1294. https://doi.org/10.3390/s24041294

