Hardware Implementation for Triaxial Contact-Force Estimation from Stress Tactile Sensor Arrays: An Efficient Design Approach
Abstract
1. Introduction
2. Triaxial Forces Reconstruction Algorithm from Normal Stress Tactile Sensor Arrays
- i.
- [For one time only (offline stage)] Calculate and save in memory the set of matrices (, , , , , , , and ), the vectors describing the taxel coordinates , and the sensor resolution ,
- ii.
- Read and store in memory the data for sensor as an size vector,
- iii.
- Calculate the contact centroids and angle of tangential forces,
- iv.
- Calculate the vector,
- v.
- Calculate the coefficient vectors,
- vi.
- Find the optima and , and compute the forces triaxial reconstruction.
3. SpTFRA Algorithm for Contact Forces Reconstruction
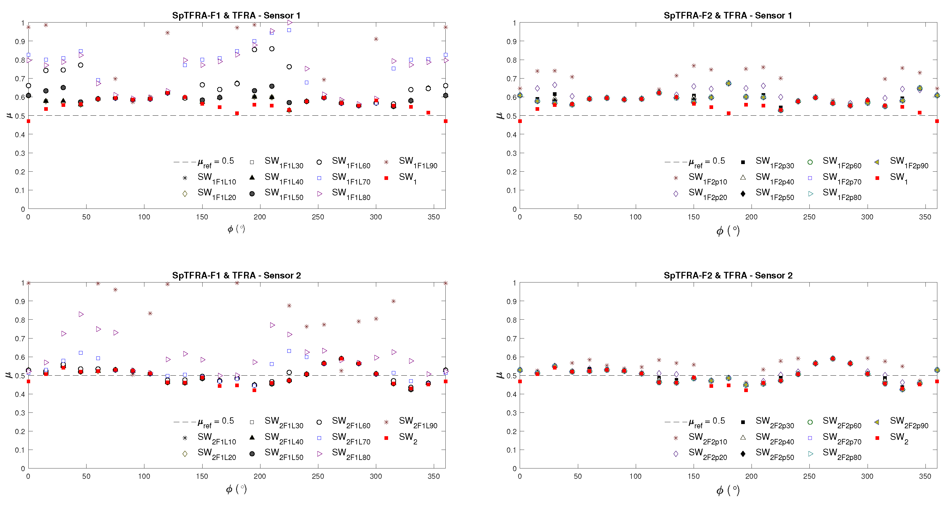
- SpTFRA−F1: This filter admits only the non-zero values closest to the diagonal in a dense matrix B, by evaluating the function:where L is a value that establishes the expanded diagonal matrix made up of the components of B that satisfy , with L changing at each experiment by 10 in a range from 10 to 90 (according to the estimation error calculated by the SpTFRA). Figure 8 shows an example of applying this filter on the matrix, where non-zero values are in blue.
- SpTFRA−F2: This filter accepts the components greater or equal to a percentage p of the maximum value for each row , by evaluating the function,where p changes by 10 in a range from 10 to 90 at each experiment. Figure 9 shows the results of applying this filter to the matrix.
- SpTFRA−F3: This filter selects between Filters 1 and 2, depending on which of these generates the sparse matrix with the minimum value of and the minimum error in the estimation of the contact forces, according to this function:where is the error estimate of the friction coefficient in a force reconstruction and comes defined as follows:with calculated as:in which and are the estimated resultant tangential forces, and is the reconstructed resultant normal force.
4. Hardware Design for the TFRA and SpTFRA Implementations
- Sensor 1. It is a taxel array with a resolution arranged as a rectangular prism of dimensions , on which a single static Hertzian contact was modeled, equivalent to a distribution of elliptical normal stresses measured at the base of the tactile sensor and centered on the coordinates .
- Sensor 2. It is a taxel array with a resolution arranged as a rectangular prism of dimensions , on which a single static non-Hertzian contact was modeled measured at the base of the tactile sensor and centered in the coordinates .
High-Level Desing Approach of the TFRA and SpTFRA
5. Results
5.1. Sparse Filters Response
5.2. Hardware Resource Consumption
5.3. Design Verification
6. Conclusions
Author Contributions
Funding
Institutional Review Board Statement
Informed Consent Statement
Data Availability Statement
Conflicts of Interest
References
- Ciotti, S.; Sun, T.; Battaglia, E.; Bicchi, A.; Liu, H.; Bianchi, M. Soft tactile sensing: Retrieving force, torque and contact point information from deformable surfaces. In Proceedings of the 2019 International Conference on Robotics and Automation (ICRA), Montreal, QC, Canada, 20–24 May 2019; pp. 4290–4296. [Google Scholar] [CrossRef]
- Han, C.; Cao, Z.; Hu, Y.; Zhang, Z.; Li, C.; Wang, Z.L.; Wu, Z. Flexible Tactile Sensors for 3D Force Detection. Nano Lett. 2024, 24, 5277–5283. [Google Scholar] [CrossRef] [PubMed]
- Kitouni, D.; Chelly, E.; Khoramshahi, M.; Perdereau, V. Fingertip Contact Force Direction Control using Tactile Feedback. arXiv 2024, arXiv:2406.11545. [Google Scholar]
- Houhou, Y.; Singh, R.P.; Limon, R.C. Learning to Classify Surface Roughness Using Tactile Force Sensors. In Proceedings of the 2024 IEEE/SICE International Symposium on System Integration (SII), Ha Long, Vietnam, 8–11 January 2024; pp. 1–7. [Google Scholar] [CrossRef]
- Roberts, R.D.; Loomes, A.R.; Allen, H.A.; Di Luca, M.; Wing, A.M. Contact forces in roughness discrimination. Sci. Rep. 2020, 10, 5108. [Google Scholar] [CrossRef] [PubMed]
- Higashi, K.; Okamoto, S.; Yamada, Y.; Nagano, H.; Konyo, M. Hardness perception through tapping: Peak and impulse of the reaction force reflect the subjective hardness. In Haptics: Science, Technology, and Applications: 11th International Conference, EuroHaptics 2018, Pisa, Italy, June 13–16, 2018, Proceedings, Part I 11; Springer International Publishing: Berlin/Heidelberg, Germany, 2018. [Google Scholar] [CrossRef]
- Eguíluz, A.G.; Rañó, I.; Coleman, S.A.; McGinnity, T.M. Reliable object handover through tactile force sensing and effort control in the Shadow Robot hand. In Proceedings of the 2017 IEEE International Conference on Robotics and Automation (ICRA), Singapore, 29 May–3 June 2017; pp. 372–377. [Google Scholar] [CrossRef]
- Zhang, T.; Cong, Y.; Li, X.; Peng, Y. Robot Tactile Sensing: Vision Based Tactile Sensor for Force Perception. In Proceedings of the 2018 IEEE 8th Annual International Conference on CYBER Technology in Automation, Control, and Intelligent Systems (CYBER), Tianjin, China, 19–23 July 2019; pp. 1360–1365. [Google Scholar] [CrossRef]
- Masoumian, A.; Montazer, M.C.; Valls, D.P.; Kazemi, P.; Rashwan, H.A. Using the Feedback of Dynamic Active-Pixel Vision Sensor (Davis) to Prevent Slip in Real Time. In Proceedings of the 2020 6th International Conference on Mechatronics and Robotics Engineering (ICMRE), Barcelona, Spain, 12–15 February 2020; pp. 63–67. [Google Scholar] [CrossRef]
- Yu, J.; Yao, S.; Li, X.; Ghaffar, A.; Yao, Z. Design of a Three-dimensional Tactile Sensing Array for Incipient Slip Detection in Robotic Dexterous Manipulation. IEEE Trans. Instrum. Meas. 2024, 73, 9514214. [Google Scholar] [CrossRef]
- Niederhauser, L.; Prabhakar, A.; Reber, D.; Billard, A. A Predictive Model for Tactile Force Estimation Using Audio-Tactile Data. IEEE Robot. Autom. Lett. 2024, 9, 1596–1603. [Google Scholar] [CrossRef]
- Lin, C.; Zhang, H.; Xu, J.; Wu, L.; Xu, H. 9DTact: A Compact Vision-Based Tactile Sensor for Accurate 3D Shape Reconstruction and Generalizable 6D Force Estimation. IEEE Robot. Autom. Lett. 2024, 9, 923–930. [Google Scholar] [CrossRef]
- Jeong, H.; Choi, K.; Park, S.J.; Park, C.H.; Choi, H.R.; Kim, U. Rugged and Compact Three-Axis Force/Torque Sensor for Wearable Robots. Sensors 2021, 21, 2770. [Google Scholar] [CrossRef]
- Gong, Y.; Cheng, X.; Wu, Z.; Liu, Y.; Yu, P.; Hu, X. A Flexible Tactile Sensor Array for Dynamic Triaxial Force Measurement Based on Aligned Piezoresistive Nanofibers. IEEE Sens. J. 2021, 21, 21989–21998. [Google Scholar] [CrossRef]
- Zhang, Y.; Zeng, J.; Wang, Y.; Jiang, G. Flexible Three-Dimensional Force Tactile Sensor Based on Velostat Piezoresistive Films. Micromachines 2024, 15, 486. [Google Scholar] [CrossRef]
- Xu, D.; Hong, W.; Hu, B.; Zhang, T.; Chen, D.; Yan, Z.; Yao, X.; Zhang, X.; Zhao, Y.; Sun, T.; et al. River valley-inspired, high-sensitivity, and rapid-response capacitive three-dimensional force tactile sensor based on U-shaped groove structure. Smart Mater. Struct. 2024, 33, 35006. [Google Scholar] [CrossRef]
- Li, H.; Nam, S.; Lu, Z.; Yang, C.; Psomopoulou, E.; Lepora, N.F. BioTacTip: A Soft Biomimetic Optical Tactile Sensor for Efficient 3D Contact Localization and 3D Force Estimation. IEEE Robot. Autom. Lett. 2024, 9, 5314–5321. [Google Scholar] [CrossRef]
- Yuan, W.; Dong, S.; Adelson, E.H. GelSight: High-Resolution Robot Tactile Sensors for Estimating Geometry and Force. Sensors 2017, 17, 2762. [Google Scholar] [CrossRef] [PubMed]
- Lambeta, M.; Chou, P.W.; Tian, S.; Yang, B.; Maloon, B.; Most, V.R.; Stroud, D.; Santos, R.; Byagowi, A.; Kammerer, G.; et al. DIGIT: A Novel Design for a Low-Cost Compact High-Resolution Tactile Sensor with Application to In-Hand Manipulation. IEEE Robot. Autom. Lett. 2020, 5, 3838–3845. [Google Scholar] [CrossRef]
- Wang, Z.; Zhang, D.; Yang, L.; An, J. Three-dimensional force detection using PVDF and room temperature-vulcanized silicone rubber layers. Meas. Sci. Technol. 2023, 34, 45111. [Google Scholar] [CrossRef]
- Yu, P.; Liu, W.; Gu, C.; Cheng, X.; Fu, X. Flexible piezoelectric tactile sensor array for dynamic three-axis force measurement. Sensors 2016, 16, 819. [Google Scholar] [CrossRef]
- Song, Y.; Zhang, Y.; Wang, F.; Jiang, X.; Sun, N. Three-dimensional Force Detection and Decoupling of a Flexible Tactile Sensor Array based on Porous Composite Piezoresistive Materials. Appl. Math. Nonlinear Sci. 2024, 9, 1–23. [Google Scholar] [CrossRef]
- Yu, H.; Guo, H.; Wang, J.; Zhao, T.; Zou, W.; Zhou, P.; Xu, Z.; Zhang, Y.; Zheng, J.; Zhong, Y.; et al. Skin-Inspired Capacitive Flexible Tactile Sensor with an Asymmetric Structure for Detecting Directional Shear Forces. Adv. Sci. 2024, 11, 2305883. [Google Scholar] [CrossRef]
- Lee, D.H.; Kim, U.; Jung, H.; Choi, H.R. A Capacitive-Type Novel Six-Axis Force/Torque Sensor for Robotic Applications. IEEE Sens. J. 2016, 16, 2290–2299. [Google Scholar] [CrossRef]
- Park, S.; Hwang, D. Three-Axis Flat and Lightweight Force/Torque Sensor for Enhancing Kinesthetic Sensing Capability of Robotic Hand. IEEE Trans. Ind. Electron. 2024, 71, 12707–12717. [Google Scholar] [CrossRef]
- Liang, G.; Wang, Y.; Mei, D.; Xi, K.; Chen, Z. Flexible Capacitive Tactile Sensor Array With Truncated Pyramids as Dielectric Layer for Three-Axis Force Measurement. J. Microelectromech. Syst. 2015, 24, 1510–1519. [Google Scholar] [CrossRef]
- Sun, Y.; Liu, F.; Yuan, Z.; Huang, W.; Wang, B. A Novel Three-Axial Force Tactile Sensor Based on the Fringing Effect of Electric Field. IEEE Trans. Magn. 2019, 55, 7500305. [Google Scholar] [CrossRef]
- Zhang, B.; Wang, B.; Li, Y.; Jin, S. Magnetostrictive tactile sensor of detecting friction and normal force for object recognition. Int. J. Adv. Robot. Syst. 2020, 17, 1729881420932327. [Google Scholar] [CrossRef]
- Hellebrekers, T.; Chang, N.; Chin, K.; Ford, M.; Kroemer, O.; Majidi, C. Soft Magnetic Tactile Skin for Continuous Force and Location Estimation using Neural Networks. IEEE Robot. Autom. Lett. 2020, 5, 3892–3898. [Google Scholar] [CrossRef]
- Ogli, O.G.B.; Matyunin, S.A. Experimental Study of the Characteristics of Macro-Bending Fiber-Optic Sensors of Tactile Force for Anthropomorphic Robot Grippers. In Proceedings of the 2019 International Multi-Conference on Industrial Engineering and Modern Technologies (FarEastCon), Vladivostok, Russia, 1–4 October 2019; pp. 1–6. [Google Scholar] [CrossRef]
- Baimukashev, D.; Kappassov, Z.; Varol, H.A. Shear, Torsion and Pressure Tactile Sensor via Plastic Optofiber Guided Imaging. IEEE Robot. Autom. Lett. 2020, 5, 2618–2625. [Google Scholar] [CrossRef]
- Mohammadi, A.; Xu, Y.; Tan, Y.; Choong, P.; Oetomo, D. Magnetic-based soft tactile sensors with deformable continuous force transfer medium for resolving contact locations in robotic grasping and manipulation. Sensors 2019, 19, 4925. [Google Scholar] [CrossRef]
- Kim, H.; Choi, S.; Chung, W.K. Contact Force Decomposition Using Contact Pressure Distribution. IEEE Robot. Autom. Lett. 2017, 2, 290–297. [Google Scholar] [CrossRef]
- Wasko, W.; Albini, A.; Maiolino, P.; Mastrogiovanni, F.; Cannata, G. Contact Modelling and Tactile Data Processing for Robot Skins. Sensors 2019, 19, 814. [Google Scholar] [CrossRef] [PubMed]
- Xiong, L.; Guo, Y.; Jiang, G.; Zhou, X.; Jiang, L.; Liu, H. Six-Dimensional Force/Torque Sensor Based on Fiber Bragg Gratings With Low Coupling. IEEE Trans. Ind. Electron. 2021, 68, 4079–4089. [Google Scholar] [CrossRef]
- Almassri, A.M.; Wan Hasan, W.Z.; Ahmad, S.A.; Ishak, A.J.; Ghazali, A.M.; Talib, D.N.; Wada, C. Pressure Sensor: State of the Art, Design, and Application for Robotic Hand. J. Sens. 2015, 2015, 846487. [Google Scholar] [CrossRef]
- Zheng, W.; Liu, K.; Guo, D.; Yang, W.; Zhu, J.; Liu, H. A Large-area Tactile Sensor for Distributed Force Sensing Using Highly Sensitive Piezoresistive Sponge. In Proceedings of the 2024 IEEE International Conference on Robotics and Automation (ICRA), Yokohama, Japan, 13–17 May 2024; pp. 1063–1069. [Google Scholar] [CrossRef]
- Huang, T.Y.; Tseng, S.H.; Lu, M.S.C. Design and Characterization of a CMOS Capacitive Sensor Array for Fast Normal Stress Analysis. IEEE Sens. Lett. 2022, 6, 2500604. [Google Scholar] [CrossRef]
- Kane, B.J.; Cutkosky, M.R.; Kovacs, G.T.A. A traction stress sensor array for use in high-resolution robotic tactile imaging. J. Microelectromech. Syst. 2000, 9, 425–434. [Google Scholar] [CrossRef]
- Sun, X.; Zhang, M. A pragmatic data processing system for large resistive sensor arrays. Rev. Sci. Instrum. 2024, 95, 85108. [Google Scholar] [CrossRef] [PubMed]
- Seminara, L.; Capurro, M.; Valle, M. Tactile data processing method for the reconstruction of contact force distributions. Mechatronics 2015, 27, 28–37. [Google Scholar] [CrossRef]
- Pinto-Salamanca, M.L.; Castellanos-Ramos, J.; Pérez-Holguín, W.J.; Hidalgo-López, J.A. An estimation of triaxial forces from normal stress tactile sensor arrays. Mechatronics 2023, 96, 103070. [Google Scholar] [CrossRef]
- Podlubne, A.; Mey, J.; Andreou, A.; Pertuz, S.; Aßmann, U.; Göhringer, D. Model-Based Generation of Hardware/Software Architectures With Hybrid Schedulers for Robotics Systems. IEEE Trans. Comput. 2024, 73, 1640–1654. [Google Scholar] [CrossRef]
- Lora-Rivera, R.; Oballe-Peinado, Ó.; Vidal-Verdú, F. Texture Detection With Feature Extraction on Embedded FPGA. IEEE Sens. J. 2023, 23, 12093–12104. [Google Scholar] [CrossRef]
- Al Haj Ali, H.; Abbass, Y.; Gianoglio, C.; Ibrahim, A.; Oh, C.; Valle, M. Neuromorphic Tactile Sensing System for Textural Features Classification. IEEE Sens. J. 2024, 24, 17193–17207. [Google Scholar] [CrossRef]
- Magno, M.; Ibrahim, A.; Pullini, A.; Valle, M.; Benini, L. An Energy Efficient E-Skin Embedded System for Real-Time Tactile Data Decoding. J. Low Power Electron. 2018, 14, 101–109. [Google Scholar] [CrossRef]
- Alameh, M.; Abbass, Y.; Ibrahim, A.; Valle, M. Smart tactile sensing systems based on embedded CNN implementations. Micromachines 2020, 11, 103. [Google Scholar] [CrossRef]
- Mendoza-Peñaloza, J.; Muñoz, D.M. Hardware Implementation of a Sliding Detection Algorithm for Robotic Hands Using Force Sensors. In Proceedings of the 2023 36th SBC/SBMicro/IEEE/ACM Symposium on Integrated Circuits and Systems Design (SBCCI), Rio de Janeiro, Brazil, 28 August–1 September 2023; pp. 1–6. [Google Scholar] [CrossRef]
- Pinto-Salamanca, M.L.; Condia, J.E.R.; Hidalgo-López, J.A.; Pérez-Holguín, W.J. Analyzing the Reliability of Stream Sparse Matrix-Vector Multiplication Accelerators: A High-Level Approach. In Proceedings of the 2024 IEEE 25th Latin American Test Symposium (LATS), Maceio, Brazil, 9–12 April 2024; pp. 1–4. [Google Scholar] [CrossRef]
- Podio-Guidugli, P.; Favata, A. Elasticity for Geotechnicians: A Modern Exposition of Kelvin, Boussinesq, Flamant, Cerruti, Melan, and Mindlin Problems, 2014th ed.; Springer Nature: Berlin/Heidelberg, Germany, 2013; Volume 204. [Google Scholar]
- Johnson, K.L. Contact Mechanics; Cambridge University Press: Cambridge, UK, 1985. [Google Scholar] [CrossRef]
- Albert, A. Regression and the Moore-Penrose Pseudoinvers; Academic Press: Cambridge, MA, USA, 1972; Volume 94, pp. 1–180. [Google Scholar]
- Li, S.; Liu, D.; Liu, W.L. Efficient FPGA-Based Sparse Matrix–Vector Multiplication With Data Reuse-Aware Compression. IEEE Trans. Comput.-Aided Des. Integr. Circuits Syst. 2023, 42, 4606–4617. [Google Scholar] [CrossRef]
- Kusakabe, R.; Fujita, K.; Ichimura, T.; Hori, M.; Lalith, M. GPU-Accelerated Sparse Matrix Vector Product based on Element-by-Element Method for Unstructured FEM using OpenACC. In Proceedings of the 2022 Workshop on Accelerator Programming Using Directives (WACCPD), Dallas, TX, USA, 13–18 November 2022; pp. 52–61. [Google Scholar] [CrossRef]
- Tran, H.D.; Fernando, M.; Saurabh, K.; Ganapathysubramanian, B.; Kirby, R.M.; Sundar, H. A scalable adaptive-matrix SPMV for heterogeneous architectures. In Proceedings of the 2022 IEEE International Parallel and Distributed Processing Symposium (IPDPS), Lyon, France, 30 May–3 June 2022; pp. 13–24. [Google Scholar] [CrossRef]
- Sadi, F.; Fileggi, L.; Franchetti, F. Algorithm and hardware co-optimized solution for large SpMV problems. In Proceedings of the 2017 IEEE High Performance Extreme Computing Conference (HPEC), Waltham, MA, USA, 12–14 September 2017; pp. 1–7. [Google Scholar] [CrossRef]
- Serrano, M.J. Efficient implementation of sparse matrix-sparse vector multiplication for large scale graph analytics. In Proceedings of the 2019 IEEE High Performance Extreme Computing Conference (HPEC), Waltham, MA, USA, 24–26 September 2019; pp. 1–7. [Google Scholar] [CrossRef]
- Nunez-Yanez, J.; Hosseinabady, M. Sparse and dense matrix multiplication hardware for heterogeneous multi-precision neural networks. Array 2021, 12, 100101. [Google Scholar] [CrossRef]
- Lehnert, A.; Holzinger, P.; Pfenning, S.; Müller, R.; Reichenbach, M. Most Resource Efficient Matrix Vector Multiplication on FPGAs. IEEE Access 2023, 11, 3881–3898. [Google Scholar] [CrossRef]
- Hosseinabady, M.; Nunez-Yanez, J.L. A Streaming Dataflow Engine for Sparse Matrix-Vector Multiplication Using High-Level Synthesis. IEEE Trans. Comput.-Aided Des. Integr. Circuits Syst. 2020, 39, 1272–1285. [Google Scholar] [CrossRef]
- Kahng, A.B.; Lienig, J.; Markov, I.L.; Hu, J. VLSI Physical Design: From Graph Partitioning to Timing Closure; Springer: Dordrecht, The Netherlands, 2011. [Google Scholar]
- Skalicky, S.; Wood, C.; Łukowiak, M.; Ryan, M. High level synthesis: Where are we? A case study on matrix multiplication. In Proceedings of the 2013 International Conference on Reconfigurable Computing and FPGAs (ReConFig), Cancun, Mexico, 9–11 December 2013; pp. 1–7. [Google Scholar]
- Fibich, C.; Horauer, M.; Obermaisser, R. Reliability-Enhanced High-Level Synthesis using Memory Profiling and Fault Injection. In Proceedings of the IEEE 28th International Symposium on Industrial Electronics (ISIE), Vancouver, BC, Canada, 12–14 June 2019; pp. 1363–1370. [Google Scholar]















| Sensor | Filter | HW Name | ||||||||||||||
|---|---|---|---|---|---|---|---|---|---|---|---|---|---|---|---|---|
| 1 | None | 10,000 | 10,000 | 10,000 | 10,000 | 10,000 | 10,000 | 10,000 | 10,000 | 10,000 | 10,000 | 10,000 | 10,000 | 10,000 | 0.56 | HW1 | 
| F1 L = 40 | 8360 | 8360 | 8360 | 8360 | 8360 | 8360 | 8360 | 8360 | 8360 | 8360 | 8360 | 8360 | 8360 | 0.59 | ||
| F1 L = 50 | 7450 | 7450 | 7450 | 7450 | 7450 | 7450 | 7450 | 7450 | 7450 | 7450 | 7450 | 7450 | 7450 | 0.60 | ||
| F2 p = 30 | 4512 | 9462 | 7966 | 6876 | 9548 | 10,000 | 9400 | 8938 | 9400 | 9412 | 10,000 | 9550 | 8934 | 0.59 | ||
| F2 p = 50 | 5180 | 9522 | 8552 | 7684 | 9568 | 10,000 | 9502 | 9320 | 9490 | 9676 | 10,000 | 9568 | 9326 | 0.59 | ||
| F3 | 4512 | 8360 | 8360 | 6876 | 8360 | 8360 | 8360 | 8360 | 8360 | 8360 | 8360 | 8360 | 8360 | 0.49 | ||
| 2 | None | 10,000 | 10,000 | 10,000 | 10,000 | 10,000 | 10,000 | 10,000 | 10,000 | 10,000 | 10,000 | 10,000 | 10,000 | 10,000 | 0.49 | HW2 | 
| F1 L = 40 | 8360 | 8360 | 8360 | 8360 | 8360 | 8360 | 8360 | 8360 | 8360 | 8360 | 8360 | 8360 | 8360 | 0.50 | ||
| F1 L = 50 | 7450 | 7450 | 7450 | 7450 | 7450 | 7450 | 7450 | 7450 | 7450 | 7450 | 7450 | 7450 | 7450 | 0.50 | ||
| F2 p = 30 | 4036 | 9294 | 9294 | 5388 | 9360 | 9932 | 9146 | 9360 | 9146 | 9932 | 10,000 | 9362 | 9362 | 0.51 | ||
| F2 p = 50 | 5348 | 9430 | 9430 | 7588 | 9440 | 9968 | 9196 | 9440 | 9196 | 9968 | 10,000 | 9442 | 9442 | 0.50 | ||
| F3 | 5732 | 8360 | 8360 | 8360 | 8360 | 8360 | 7395 | 8360 | 8360 | 8360 | 8360 | 8360 | 8360 | 0.50 | 
| Hardware | Resources Utilization | On-Chip | Latency | Throughput | |||||
|---|---|---|---|---|---|---|---|---|---|
| BRAM | DSP | FF | LUT | Power [W] | CeAn | We-Co | Op | [MBps] | |
| 718 | 2596 | 215,602 | 209,814 | 3992.9 * | 3481 | 859,480 | 320,527 | 64.67 | |
| 628 | 622 | 70,662 | 82,842 | 0.871 ** | 683,252 | 65.89 | |||
| 849 | 568 | 64,917 | 83,277 | 0.894 ** | 740,387 | 59.96 | |||
| 718 | 2596 | 215,602 | 209,814 | 3992.9 * | 3481 | 859,480 | 320,527 | 64.67 | |
| 858 | 1098 | 120,014 | 128,040 | 0.953 ** | 804,205 | 62.72 | |||
| 749 | 578 | 64,287 | 78,489 | 0.983 ** | 844,606 | 55.32 | |||
| Hardware | Maximum Relative Error | Standard Error | Av. Resp. Time | |||||||||
|---|---|---|---|---|---|---|---|---|---|---|---|---|
| 5.94 | 3.44 | 10.93 | 9.41 | 1.64 | 2.04 | 1.13 | 1.35 | 3.64 | 0.50 | 28.56 | ||
| 5.95 | 3.45 | 11.87 | 9.42 | 1.93 | 2.03 | 1.13 | 1.35 | 2.75 | 0.50 | 28.76 | ||
| 7.45 | 4.79 | 10.83 | 12.15 | 1.93 | 1.93 | 1.07 | 1.27 | 2.77 | 0.50 | 51.27 | ||
| 7.70 | 4.17 | 12.57 | 14.67 | 1.93 | 1.81 | 0.85 | 1.30 | 3.59 | 0.50 | 51.49 | ||
| 7.84 | 5.44 | 2.69 | 4.46 | 3.16 | 1.73 | 1.84 | 1.02 | 2.82 | 0.69 | 21.53 | ||
| 6.12 | 5.90 | 3.66 | 8.97 | 2.20 | 1.69 | 1.83 | 1.02 | 2.21 | 0.68 | 25.96 | ||
| 5.51 | 5.92 | 3.37 | 9.01 | 2.20 | 1.60 | 1.88 | 1.05 | 2.23 | 0.68 | 58.52 | ||
| 6.12 | 5.91 | 3.67 | 8.99 | 2.20 | 1.68 | 1.84 | 1.04 | 2.19 | 0.68 | 58.68 | ||
| Disclaimer/Publisher’s Note: The statements, opinions and data contained in all publications are solely those of the individual author(s) and contributor(s) and not of MDPI and/or the editor(s). MDPI and/or the editor(s) disclaim responsibility for any injury to people or property resulting from any ideas, methods, instructions or products referred to in the content. | 
© 2024 by the authors. Licensee MDPI, Basel, Switzerland. This article is an open access article distributed under the terms and conditions of the Creative Commons Attribution (CC BY) license (https://creativecommons.org/licenses/by/4.0/).
Share and Cite
Pinto-Salamanca, M.-L.; Pérez-Holguín, W.-J.; Hidalgo-López, J.A. Hardware Implementation for Triaxial Contact-Force Estimation from Stress Tactile Sensor Arrays: An Efficient Design Approach. Sensors 2024, 24, 7829. https://doi.org/10.3390/s24237829
Pinto-Salamanca M-L, Pérez-Holguín W-J, Hidalgo-López JA. Hardware Implementation for Triaxial Contact-Force Estimation from Stress Tactile Sensor Arrays: An Efficient Design Approach. Sensors. 2024; 24(23):7829. https://doi.org/10.3390/s24237829
Chicago/Turabian StylePinto-Salamanca, María-Luisa, Wilson-Javier Pérez-Holguín, and José A. Hidalgo-López. 2024. "Hardware Implementation for Triaxial Contact-Force Estimation from Stress Tactile Sensor Arrays: An Efficient Design Approach" Sensors 24, no. 23: 7829. https://doi.org/10.3390/s24237829
APA StylePinto-Salamanca, M.-L., Pérez-Holguín, W.-J., & Hidalgo-López, J. A. (2024). Hardware Implementation for Triaxial Contact-Force Estimation from Stress Tactile Sensor Arrays: An Efficient Design Approach. Sensors, 24(23), 7829. https://doi.org/10.3390/s24237829
 
         
                                                

 
       