Investigation of 3D Printed Self-Sensing UHPC Composites Using Graphite and Hybrid Carbon Microfibers
Abstract
1. Introduction
2. Background
2.1. UHPC
2.2. Carbon Microfibers (CMF)
2.3. Composite Mixtures
2.4. Fabrication Process
2.5. Electromechanical Model
3. Experiments
3.1. Measurement
3.2. Compression Tests
4. Results and Discussion
4.1. Percolation Curves
4.2. Quasi-Static Cyclic Load Tests
4.3. Dynamic Cyclic Load Tests
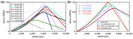
4.4. Monotonic Compressive Load Tests
4.5. Sensing Performance
5. Conclusions
- The incorporation of G, MCMF, and/or CCMF significantly accelerated electrical percolation, with saturation achieved at a doping level of 3 wt% G combined with either 0.5 wt% MCMF or 0.5 wt% CCMF.
- Piezoresistive sensing performance consistently improved as the inclusion level of MCMF or CCMF increased from 0 wt% to 1 wt%, with the dual MCMF + CCMF combination substantially enhancing the piezoresistive sensitivity of the UHPC composites.
- The addition of MCMF and CCMF slightly increased mechanical properties, with the 3G1000CCMF specimen yielding 9.8% and 19.2% higher compressive strength and Young’s modulus, respectively, compared to the UHPC-only specimen (0G0CMF).
- The 3G250M250CCMF mixture delivered optimal sensing performance under monotonic compressive load tests, resulting in a strain gauge factor () of 540, a resolution of 68 , and an accuracy of 4.5 .
- The 3D-printed UHPC composites achieved a slightly lower mechanical performance and piezoresistive response compared to their mold-cast counterparts, attributed to the inherent microstructural differences induced by the layer-by-layer printing process, yielding a strain gauge factor () of 410, a resolution of 99 , and an accuracy of 8.6 .
Author Contributions
Funding
Institutional Review Board Statement
Informed Consent Statement
Data Availability Statement
Acknowledgments
Conflicts of Interest
Abbreviations
| UHPC | Ultra-High Performance Concrete |
| SHM | Structural Health Monitoring |
| 3DP | 3D Printing |
| HRWR | High-range Water Reducing Admixture |
| G | Graphite |
| MCMF | Miller Carbon Microfiber |
| CCMF | Chopped Carbon Microfiber |
| CMF | Carbon Microfiber |
| AC | Alumina Cement |
| FCR | Fractional Change in Resistivity |
| SNR | Signal-to-Noise Ratio |
| MAE | Mean Absolute Error |
| DAQ | Data Acquisition System |
| PE | Polyethylene |
| CI | Confidence Interval |
References
- Sousa, I.; D’Alessandro, A.; Mesquita, E.; Laflamme, S.; Ubertini, F. Comprehensive Review of 3D Printed Cementitious Composites with Carbon Inclusions: Current Status and Perspective for Self-Sensing Capabilities. J. Build. Eng. 2024, 98, 111192. [Google Scholar] [CrossRef]
- Bekzhanova, Z.; Memon, S.A.; Kim, J.R. Self-Sensing Cementitious Composites: Review and Perspective. Nanomaterials 2021, 11, 2355. [Google Scholar] [CrossRef] [PubMed]
- Ding, S.; Dong, S.; Ashour, A.; Han, B. Development of sensing concrete: Principles, properties and its applications. J. Appl. Phys. 2019, 126, 241101. [Google Scholar] [CrossRef]
- Guo, Y.; Wang, D.; Ashour, A.; Ding, S.; Han, B. Self-sensing ultra-high performance concrete: A review. Meas. Sci. Technol. 2023, 35, 032003. [Google Scholar] [CrossRef]
- Han, B.; Ding, S.; Yu, X. Intrinsic self-sensing concrete and structures: A review. Measurement 2015, 59, 110–128. [Google Scholar] [CrossRef]
- Han, B.; Sun, S.; Ding, S.; Zhang, L.; Yu, X.; Ou, J. Review of nanocarbon-engineered multifunctional cementitious composites. Compos. Part A Appl. Sci. Manuf. 2015, 70, 69–81. [Google Scholar] [CrossRef]
- Ramachandran, K.; Vijayan, P.; Murali, G.; Vatin, N.I. A Review on Principles, Theories and Materials for Self Sensing Concrete for Structural Applications. Materials 2022, 15, 3831. [Google Scholar] [CrossRef]
- Meyer, C. Concrete and Sustainable Development. In SP-206: Concrete: Material Science to Application—A Tribute to Surendra P. Shah; American Concrete Institute: Farmington Hills, MI, USA, 2002. [Google Scholar] [CrossRef]
- Van Damme, H. Concrete material science: Past, present, and future innovations. Cem. Concr. Res. 2018, 112, 5–24. [Google Scholar] [CrossRef]
- Makul, N. Advanced smart concrete—A review of current progress, benefits and challenges. J. Clean. Prod. 2020, 274, 122899. [Google Scholar] [CrossRef]
- Makul, N. Modern sustainable cement and concrete composites: Review of current status, challenges and guidelines. Sustain. Mater. Technol. 2020, 25, e00155. [Google Scholar] [CrossRef]
- Richard, P.; Cheyrezy, M.H. Reactive Powder Concretes With High Ductility and 200–800 Mpa Compressive Strength. In SP-144: Concrete Technology: Past, Present, and Future; American Concrete Institute: Farmington Hills, MI, USA, 1994. [Google Scholar] [CrossRef]
- Akhnoukh, A.K.; Buckhalter, C. Ultra-high-performance concrete: Constituents, mechanical properties, applications and current challenges. Case Stud. Constr. Mater. 2021, 15, e00559. [Google Scholar] [CrossRef]
- Ullah, R.; Qiang, Y.; Ahmad, J.; Vatin, N.I.; El-Shorbagy, M.A. Ultra-High-Performance Concrete (UHPC): A State-of-the-Art Review. Materials 2022, 15, 4131. [Google Scholar] [CrossRef] [PubMed]
- Abdal, S.; Mansour, W.; Agwa, I.; Nasr, M.; Abadel, A.; Onuralp Özkılıç, Y.; Akeed, M.H. Application of Ultra-High-Performance Concrete in Bridge Engineering: Current Status, Limitations, Challenges, and Future Prospects. Buildings 2023, 13, 185. [Google Scholar] [CrossRef]
- Amran, M.; Murali, G.; Makul, N.; Tang, W.; Eid Alluqmani, A. Sustainable development of eco-friendly ultra-high performance concrete (UHPC): Cost, carbon emission, and structural ductility. Constr. Build. Mater. 2023, 398, 132477. [Google Scholar] [CrossRef]
- Liu, J.; Wei, J.; Li, J.; Su, Y.; Wu, C. A comprehensive review of ultra-high performance concrete (UHPC) behaviour under blast loads. Cem. Concr. Compos. 2024, 148, 105449. [Google Scholar] [CrossRef]
- Brühwiler, E.; Denarié, E. Rehabilitation and Strengthening of Concrete Structures Using Ultra-High Performance Fibre Reinforced Concrete. Struct. Eng. Int. 2013, 23, 450–457. [Google Scholar] [CrossRef]
- Yoo, D.Y.; Kang, S.T.; Yoon, Y.S. Enhancing the flexural performance of ultra-high-performance concrete using long steel fibers. Compos. Struct. 2016, 147, 220–230. [Google Scholar] [CrossRef]
- Bajaber, M.; Hakeem, I. UHPC evolution, development, and utilization in construction: A review. J. Mater. Res. Technol. 2021, 10, 1058–1074. [Google Scholar] [CrossRef]
- Hung, C.C.; El-Tawil, S.; Chao, S.H. A Review of Developments and Challenges for UHPC in Structural Engineering: Behavior, Analysis, and Design. J. Struct. Eng. 2021, 147, 03121001. [Google Scholar] [CrossRef]
- Bahmani, H.; Mostofinejad, D. Microstructure of ultra-high-performance concrete (UHPC)—A review study. J. Build. Eng. 2022, 50, 104118. [Google Scholar] [CrossRef]
- Li, W.; Guo, Y.; Zhang, X.; Dong, W.; Li, X.; Yu, T.; Wang, K. Development of self-sensing ultra-high-performance concrete using hybrid carbon black and carbon nanofibers. Cem. Concr. Compos. 2024, 148, 105466. [Google Scholar] [CrossRef]
- Lee, S.H.; Kim, S.; Yoo, D.Y. Hybrid effects of steel fiber and carbon nanotube on self-sensing capability of ultra-high-performance concrete. Constr. Build. Mater. 2018, 185, 530–544. [Google Scholar] [CrossRef]
- Birgin, H.B.; D’Alessandro, A.; Laflamme, S.; Ubertini, F. Hybrid Carbon Microfibers-Graphite Fillers for Piezoresistive Cementitious Composites. Sensors 2021, 21, 518. [Google Scholar] [CrossRef] [PubMed]
- Song, F.; Li, Q.; Xu, S. A review of self-sensing ultra-high performance concrete: Towards next-generation smart structural materials. Cem. Concr. Compos. 2024, 145, 105350. [Google Scholar] [CrossRef]
- Kang, M.; Kang, M.C.; Yonis, A.; Vashistha, P.; Pyo, S. Effect of steel slag on the mechanical properties and self-sensing capability of ultra-high performance concrete (UHPC). Dev. Built Environ. 2024, 17, 100342. [Google Scholar] [CrossRef]
- Huang, H.; Teng, L.; Gao, X.; Khayat, K.H.; Wang, F.; Liu, Z. Effect of carbon nanotube and graphite nanoplatelet on composition, structure, and nano-mechanical properties of C-S-H in UHPC. Cem. Concr. Res. 2022, 154, 106713. [Google Scholar] [CrossRef]
- Le, H.V.; Dao, P.L.; Nguyen, S.D.; Ngo, T.T.; Tran, N.T.; Nguyen, D.L.; Kim, D.J. Improvement of the stress sensing ability of ultra-high-performance concrete using short steel fibers and steel slag aggregates under high compression. Sensors Actuators A Phys. 2023, 362, 114616. [Google Scholar] [CrossRef]
- Sun, T.; Wang, X.; Maimaitituersun, N.; Dong, S.; Li, L.; Han, B. Synergistic effects of steel fibers and steel wires on uniaxial tensile mechanical and self-sensing properties of UHPC. Constr. Build. Mater. 2024, 416, 134991. [Google Scholar] [CrossRef]
- Yao, Y.; Zhang, J.; Sun, Y.; Pi, Y.; Wang, J.; Lu, C. Mechanical properties and failure mechanism of 3D printing ultra-high performance concrete. Constr. Build. Mater. 2024, 447, 138108. [Google Scholar] [CrossRef]
- Dong, L.; Yang, Y.; Liu, Z.; Ren, Q.; Li, J.; Zhang, Y.; Wu, C. Microstructure and mechanical behaviour of 3D printed ultra-high performance concrete after elevated temperatures. Addit. Manuf. 2022, 58, 103032. [Google Scholar] [CrossRef]
- Agustí-Juan, I.; Müller, F.; Hack, N.; Wangler, T.; Habert, G. Potential benefits of digital fabrication for complex structures: Environmental assessment of a robotically fabricated concrete wall. J. Clean. Prod. 2017, 154, 330–340. [Google Scholar] [CrossRef]
- De Schutter, G.; Lesage, K.; Mechtcherine, V.; Nerella, V.N.; Habert, G.; Agusti-Juan, I. Vision of 3D printing with concrete—Technical, economic and environmental potentials. Cem. Concr. Res. 2018, 112, 25–36. [Google Scholar] [CrossRef]
- Ahmed, G.H. A review of “3D concrete printing”: Materials and process characterization, economic considerations and environmental sustainability. J. Build. Eng. 2023, 66, 105863. [Google Scholar] [CrossRef]
- Zhang, L.; Ding, S.; Li, L.; Dong, S.; Wang, D.; Yu, X.; Han, B. Effect of characteristics of assembly unit of CNT/NCB composite fillers on properties of smart cement-based materials. Compos. Part A Appl. Sci. Manuf. 2018, 109, 303–320. [Google Scholar] [CrossRef]
- Chen, Y.; Zhang, Y.; Pang, B.; Wang, D.; Liu, Z.; Liu, G. Steel fiber orientational distribution and effects on 3D printed concrete with coarse aggregate. Mater. Struct. 2022, 55, 100. [Google Scholar] [CrossRef]
- Dai, J.G.; Huang, B.T.; Shah, S.P. Recent Advances in Strain-Hardening UHPC with Synthetic Fibers. J. Compos. Sci. 2021, 5, 283. [Google Scholar] [CrossRef]
- Mészöly, T.; Ofner, S.; Randl, N. Effect of Combining Fiber and Textile Reinforcement on the Flexural Behavior of UHPC Plates. Adv. Mater. Sci. Eng. 2020, 2020, 9891619. [Google Scholar] [CrossRef]
- Lian, J.; Hu, C.; Fu, T.; Wang, Y. Review of Self-sensing Capability of Ultra-high Performance Concrete. Front. Mater. 2021, 8, 746022. [Google Scholar] [CrossRef]
- Liu, H.; Laflamme, S.; D’Alessandro, A.; Ubertini, F. 3D printed self-sensing cementitious composites using graphite and carbon microfibers. Meas. Sci. Technol. 2024, 35, 085105. [Google Scholar] [CrossRef]
- Luo, T.; Wang, Q. Effects of Graphite on Electrically Conductive Cementitious Composite Properties: A Review. Materials 2021, 14, 4798. [Google Scholar] [CrossRef]
- Birgin, H.B.; D’Alessandro, A.; Meoni, A.; Ubertini, F. Self-Sensing Eco-Earth Composite with Carbon Microfibers for Sustainable Smart Buildings. J. Compos. Sci. 2023, 7, 63. [Google Scholar] [CrossRef]
- Graybeal, B. Material Property Characterization of Ultra-High Performance Concrete; Report No. FHWA-HRT-06-103; U.S. Department of Transportation: McLean, VA, USA, 2006. [Google Scholar]
- Carbon, S. Sigrafil Short Carbon Fibers. Available online: https://www.sglcarbon.com/en/markets-solutions/material/sigrafil-short-carbon-fibers (accessed on 4 October 2023).
- Whittington, H.W.; McCarter, J.; Forde, M.C. The conduction of electricity through concrete. Mag. Concr. Res. 1981, 33, 48–60. [Google Scholar] [CrossRef]
- Frąc, M.; Pichór, W. Piezoresistive properties of cement composites with expanded graphite. Compos. Commun. 2020, 19, 99–102. [Google Scholar] [CrossRef]
- Sanchez, F.; Ince, C. Microstructure and macroscopic properties of hybrid carbon nanofiber/silica fume cement composites. Compos. Sci. Technol. 2009, 69, 1310–1318. [Google Scholar] [CrossRef]
- Park, S.H.; Hwang, J.; Park, G.S.; Ha, J.H.; Zhang, M.; Kim, D.; Yun, D.J.; Lee, S.; Lee, S.H. Modeling the electrical resistivity of polymer composites with segregated structures. Nat. Commun. 2019, 10, 2537. [Google Scholar] [CrossRef]
- Tian, Z.; Li, Y.; Zheng, J.; Wang, S. A state-of-the-art on self-sensing concrete: Materials, fabrication and properties. Compos. Part Eng. 2019, 177, 107437. [Google Scholar] [CrossRef]
- Wen, S.; Chung, D. Double percolation in the electrical conduction in carbon fiber reinforced cement-based materials. Carbon 2007, 45, 263–267. [Google Scholar] [CrossRef]
- Ding, Y.; Han, Z.; Zhang, Y.; Aguiar, J. Concrete with triphasic conductive materials for self-monitoring of cracking development subjected to flexure. Compos. Struct. 2016, 138, 184–191. [Google Scholar] [CrossRef]
- Junwei, Z.; Shijie, L.; Hongjian, P. Experimental investigation of multiscale hybrid fibres on the mechanical properties of high-performance concrete. Constr. Build. Mater. 2021, 299, 123895. [Google Scholar] [CrossRef]
- Fan, D.; Zhu, J.; Fan, M.; Lu, J.X.; Chu, S.; Dong, E.; Yu, R. Intelligent design and manufacturing of ultra-high performance concrete (UHPC)—A review. Constr. Build. Mater. 2023, 385, 131495. [Google Scholar] [CrossRef]
- Han, B.; Zhang, K.; Yu, X.; Kwon, E.; Ou, J. Fabrication of Piezoresistive CNT/CNF Cementitious Composites with Superplasticizer as Dispersant. J. Mater. Civ. Eng. 2012, 24, 658–665. [Google Scholar] [CrossRef]
- Cao, J.; Chung, D. Electric polarization and depolarization in cement-based materials, studied by apparent electrical resistance measurement. Cem. Concr. Res. 2004, 34, 481–485. [Google Scholar] [CrossRef]
- Kim, H.; Park, I.; Lee, H. Improved piezoresistive sensitivity and stability of CNT/cement mortar composites with low water–binder ratio. Compos. Struct. 2014, 116, 713–719. [Google Scholar] [CrossRef]
- ASTM C1856/C1856M-17; Standard Practice for Fabricating and Testing Specimens of Ultra-High Performance Concrete. ASTM International: West Conshohocken, PA, USA, 2017.
- Wi, K.; Wang, K.; Taylor, P.C.; Laflamme, S.; Sritharan, S.; Qin, H. Properties and microstructure of extrusion-based 3D printing mortar containing a highly flowable, rapid set grout. Cem. Concr. Compos. 2021, 124, 104243. [Google Scholar] [CrossRef]
- Hou, Y.Y.; Sun, M.Q.; Chen, J.Z. Electrical resistance and capacitance responses of smart ultra-high performance concrete with compressive strain by DC and AC measurements. Constr. Build. Mater. 2022, 327, 127007. [Google Scholar] [CrossRef]
- Wen, S.; Chung, D. Cement-based materials for stress sensing by dielectric measurement. Cem. Concr. Res. 2002, 32, 1429–1433. [Google Scholar] [CrossRef]
- Corral-Higuera, R.; Arredondo-Rea, S.P.; Flores, M.A.N.; Orozco-Carmona, V.; Gómez-Soberón, J.M.; Calderon, F.A.; Almaral-Sánchez, J.L. Dielectric and Electrochemical Properties of Sustainable Concrete. ECS Trans. 2010, 29, 115–124. [Google Scholar] [CrossRef]
- Sun, M.; Liu, Q.; Li, Z.; Hu, Y. A study of piezoelectric properties of carbon fiber reinforced concrete and plain cement paste during dynamic loading. Cem. Concr. Res. 2000, 30, 1593–1595. [Google Scholar] [CrossRef]
- Chung, D.D.L. Piezoresistive Cement-Based Materials for Strain Sensing. J. Intell. Mater. Syst. Struct. 2002, 13, 599–609. [Google Scholar] [CrossRef]
- Sassani, A.; Ceylan, H.; Kim, S.; Gopalakrishnan, K.; Arabzadeh, A.; Taylor, P.C. Influence of mix design variables on engineering properties of carbon fiber-modified electrically conductive concrete. Constr. Build. Mater. 2017, 152, 168–181. [Google Scholar] [CrossRef]
- McCarter, W.J.; Taha, H.M.; Suryanto, B.; Starrs, G. Two-point concrete resistivity measurements: Interfacial phenomena at the electrode–concrete contact zone. Meas. Sci. Technol. 2015, 26, 085007. [Google Scholar] [CrossRef]
- Materazzi, A.L.; Ubertini, F.; D’Alessandro, A. Carbon nanotube cement-based transducers for dynamic sensing of strain. Cem. Concr. Compos. 2013, 37, 2–11. [Google Scholar] [CrossRef]
- Suo, Y.; Xia, H.; Guo, R.; Yang, Y. Study on self-sensing capabilities of smart cements filled with graphene oxide under dynamic cyclic loading. J. Build. Eng. 2022, 58, 104775. [Google Scholar] [CrossRef]
- ASTM C109/C109M-20; Standard Test Method for Compressive Strength of Hydraulic Cement Mortars (Using 2-in. or 50-mm Cube Specimens). ASTM International: West Conshohocken, PA, USA, 2020.
- Ji, X.; Jiang, Y.; Gao, X.; Sun, M. Synergistic effect of microfibers and oriented steel fibers on mechanical properties of UHPC. J. Build. Eng. 2024, 91, 109742. [Google Scholar] [CrossRef]
- Laflamme, S.; Ubertini, F.; Saleem, H.; D’Alessandro, A.; Downey, A.; Ceylan, H.; Materazzi, A.L. Dynamic Characterization of a Soft Elastomeric Capacitor for Structural Health Monitoring. J. Struct. Eng. 2015, 141, 04014186. [Google Scholar] [CrossRef]
- Yunus, D.E.; Shi, W.; Sohrabi, S.; Liu, Y. Shear induced alignment of short nanofibers in 3D printed polymer composites. Nanotechnology 2016, 27, 495302. [Google Scholar] [CrossRef]










| Material | Density (kg/m3) | Weight Percentage (%) | Conductivity (S·cm) |
|---|---|---|---|
| Portland cement | 712 | 28.5 | 3 × 10−3 |
| fine sand | 1020 | 40.8 | 1–2 × 10−4 |
| silica fume | 231 | 9.3 | 2 × 10−5 |
| ground quartz | 211 | 8.4 | 1–3 × 10−6 |
| HRWR | 30.7 | 1.2 | 2–3 × 10−3 |
| accelerator | 30.0 | 1.2 | 4 × 10−5 |
| steel fiber | 156 | 6.2 | 1 × 105 |
| water | 1.0 | 4.4 | 5 × 10−2 |
| Material Properties | Units | G Powder (TITGGI 400 Mesh) | MCMF (C M150-4.0/240-UN) | CCMF (C C6-4.0/240-G100) |
|---|---|---|---|---|
| density | g/cm3 | 1.06 | 1.80 | 1.80 |
| mean fiber length | m | - | 150 | 6000 |
| filament diameter | m | 37 | 7 | 7 |
| tensile strength | GPa | - | 4.0 | 4.0 |
| tensile modulus | GPa | - | 240 | 240 |
| elongation at break | % | - | 1.7 | 1.7 |
| single filament resistivity | m | 40 | 15 | 15 |
| bulk density | g/L | 800 | 250 | - |
| sizing type | - | unsized | unsized | glycerin |
| sizing mass content | % | - | - | 4.0 |
| Material | Density (g/cm3) | Conductivity (S·cm) | Aspect Ratio (-) |
|---|---|---|---|
| UHPC (powder) | 2.5 | 1 × 10−7 | N/A |
| AC (powder) | 2.8 | 3–5 × 10−8 | N/A |
| G (powder) | 1.2 | 2–3 × 103 | ≈12 |
| MCMF | 1.8 | 4.3 × 104 | ≈80 |
| CCMF | 1.8 | 6.5 × 104 | ≈1300 |
| water | 1.0 | 5 × 10−2 | N/A |
| superplasticizer (SP) | 1.1 | 4 × 10−4 | N/A |
| Mixture Type | G Powder (g) | G/b (%) | MCMF (g) | MCMF/b (%) | CCMF (g) | CCMF/b (%) | Water (g) | w/b (%) | HRWR (g) |
|---|---|---|---|---|---|---|---|---|---|
| 0G0CMF | 0 | 0 | - | - | - | - | 109.5 | 7.3 | 15.1 |
| 1G0CMF | 15 | 1 | - | - | - | - | 112.1 | 7.4 | 15.1 |
| 2G0CMF | 30 | 2 | - | - | - | - | 114.8 | 7.5 | 15.3 |
| 3G0CMF | 45 | 3 | - | - | - | - | 122.1 | 7.9 | 15.4 |
| 4G0CMF | 60 | 4 | - | - | - | - | 132.6 | 8.5 | 15.6 |
| 5G0CMF | 75 | 5 | - | - | - | - | 144.9 | 9.2 | 15.8 |
| 8G0CMF | 120 | 8 | - | - | - | - | 170.1 | 10.5 | 16.2 |
| 16G0CMF | 240 | 16 | - | - | - | - | 243.6 | 14.0 | 17.4 |
| 3G31MCMF | 45 | 3 | 0.4680 | 0.03125 | - | - | 140.6 | 9.1 | 15.45 |
| 3G63MCMF | 45 | 3 | 0.9375 | 0.06250 | - | - | 140.6 | 9.1 | 15.45 |
| 3G125MCMF | 45 | 3 | 1.8750 | 0.12500 | - | - | 140.6 | 9.1 | 15.45 |
| 3G250MCMF | 45 | 3 | 3.7500 | 0.25000 | - | - | 140.6 | 9.1 | 15.45 |
| 3G500MCMF | 45 | 3 | 7.5000 | 0.50000 | - | - | 140.6 | 9.1 | 15.45 |
| 3G1000MCMF | 45 | 3 | 15.0000 | 1.00000 | - | - | 140.6 | 9.1 | 15.45 |
| 3G31CCMF | 45 | 3 | - | - | 0.4680 | 0.03125 | 137.5 | 8.9 | 15.45 |
| 3G63CCMF | 45 | 3 | - | - | 0.9375 | 0.06250 | 137.5 | 8.9 | 15.45 |
| 3G125CCMF | 45 | 3 | - | - | 1.8750 | 0.12500 | 137.5 | 8.9 | 15.45 |
| 3G250CCMF | 45 | 3 | - | - | 3.7500 | 0.25000 | 137.5 | 8.9 | 15.45 |
| 3G500CCMF | 45 | 3 | - | - | 7.5000 | 0.50000 | 137.5 | 8.9 | 15.45 |
| 3G1000CCMF | 45 | 3 | - | - | 15.0000 | 1.00000 | 137.5 | 8.9 | 15.45 |
| 3G63M125CCMF | 45 | 3 | 0.9375 | 0.06250 | 1.8750 | 0.12500 | 148.3 | 9.6 | 15.45 |
| 3G63M250CCMF | 45 | 3 | 0.9375 | 0.06250 | 3.7500 | 0.25000 | 148.3 | 9.6 | 15.45 |
| 3G63M500CCMF | 45 | 3 | 0.9375 | 0.06250 | 7.5000 | 0.50000 | 148.3 | 9.6 | 15.45 |
| 3G125M125CCMF | 45 | 3 | 1.8750 | 0.12500 | 1.8750 | 0.12500 | 148.3 | 9.6 | 15.45 |
| 3G125M250CCMF | 45 | 3 | 1.8750 | 0.12500 | 3.7500 | 0.25000 | 148.3 | 9.6 | 15.45 |
| 3G125M500CCMF | 45 | 3 | 1.8750 | 0.12500 | 7.5000 | 0.50000 | 148.3 | 9.6 | 15.45 |
| 3G250M125CCMF | 45 | 3 | 3.7500 | 0.25000 | 1.8750 | 0.25000 | 148.3 | 9.6 | 15.45 |
| 3G250M250CCMF | 45 | 3 | 3.7500 | 0.25000 | 3.7500 | 0.50000 | 148.3 | 9.6 | 15.45 |
| 3G250M500CCMF | 45 | 3 | 3.7500 | 0.25000 | 7.5000 | 1.00000 | 148.3 | 9.6 | 15.45 |
| 3DP-3G125M500CCMF | 45 | 3 | 3.7500 | 0.25000 | 1.8750 | 0.25000 | 148.3 | 9.6 | 15.45 |
| 3DP-3G250M250CCMF | 45 | 3 | 3.7500 | 0.25000 | 3.7500 | 0.50000 | 148.3 | 9.6 | 15.45 |
| 3DP-3G250M500CCMF | 45 | 3 | 3.7500 | 0.25000 | 7.5000 | 1.00000 | 148.3 | 9.6 | 15.45 |
| Mix Design | SNR (dB) | MAE () | R2 (-) | (-) | 95% CI | () | |
|---|---|---|---|---|---|---|---|
| -FCR | res () | ||||||
| 0G0MCMF | 0.3 | 4151 | 0.08 | 13 | 0.133 | 600+ | - |
| 1G0MCMF | 0.6 | 3919 | 0.11 | 15 | 0.108 | 600+ | - |
| 2G0MCMF | 1.0 | 3643 | 0.17 | 20 | 0.071 | 600+ | - |
| 3G0MCMF | 1.7 | 3238 | 0.28 | 29 | 0.036 | 600+ | - |
| 4G0MCMF | 2.3 | 2872 | 0.26 | 37 | 0.039 | 600+ | - |
| 5G0MCMF | 3.1 | 2451 | 0.31 | 50 | 0.041 | 600+ | - |
| 8G0MCMF | 4.2 | 1704 | 0.51 | 92 | 0.052 | 531 | 30.0 |
| 16G0MCMF | 7.4 | 391 | 0.91 | 204 | 0.033 | 232 | 16.1 |
| 3G31MCMF | 4.0 | 1372 | 0.53 | 49 | 0.037 | 600+ | - |
| 3G63MCMF | 5.0 | 851 | 0.70 | 79 | 0.041 | 404 | 12.5 |
| 3G125MCMF | 6.4 | 521 | 0.81 | 95 | 0.034 | 342 | 17.2 |
| 3G250MCMF | 7.3 | 410 | 0.90 | 132 | 0.029 | 298 | 14.1 |
| 3G500MCMF | 8.7 | 275 | 0.95 | 161 | 0.019 | 214 | 10.9 |
| 3G1000MCMF | 7.4 | 236 | 0.97 | 200 | 0.021 | 178 | 6.0 |
| 3G31CCMF | 3.3 | 1038 | 0.50 | 59 | 0.051 | 600+ | - |
| 3G63CCMF | 5.7 | 706 | 0.68 | 80 | 0.044 | 432 | 13.7 |
| 3G125CCMF | 9.4 | 423 | 0.86 | 184 | 0.050 | 390 | 15.3 |
| 3G250CCMF | 11.3 | 222 | 0.90 | 260 | 0.037 | 304 | 8.5 |
| 3G500CCMF | 13.4 | 131 | 0.90 | 365 | 0.047 | 144 | 10.5 |
| 3G1000CCMF | 9.3 | 295 | 0.94 | 313 | 0.021 | 189 | 6.3 |
| 3G63M125CCMF | 8.0 | 340 | 0.85 | 173 | 0.039 | 333 | 9.6 |
| 3G63M250CCMF | 12.1 | 206 | 0.89 | 225 | 0.037 | 282 | 9.2 |
| 3G63M500CCMF | 13.0 | 214 | 0.92 | 318 | 0.031 | 201 | 5.7 |
| 3G125M125CCMF | 9.4 | 228 | 0.93 | 262 | 0.040 | 241 | 9.0 |
| 3G125M250CCMF | 13.9 | 178 | 0.95 | 360 | 0.029 | 153 | 7.9 |
| 3G125M500CCMF | 17.5 | 107 | 0.98 | 416 | 0.035 | 92 | 5.3 |
| 3G250M125CCMF | 14.4 | 154 | 0.97 | 348 | 0.037 | 189 | 10.3 |
| 3G250M250CCMF | 22.0 | 76 | 0.99 | 540 | 0.032 | 68 | 4.5 |
| 3G250M500CCMF | 19.2 | 119 | 0.99 | 408 | 0.030 | 85 | 5.5 |
| 3DP-3G125M500CCMF | 15.2 | 192 | 0.98 | 308 | 0.047 | 209 | 11.1 |
| 3DP-3G250M250CCMF | 20.3 | 121 | 0.99 | 410 | 0.036 | 99 | 12.5 |
| 3DP-3G250M500CCMF | 18.0 | 165 | 0.97 | 330 | 0.031 | 117 | 8.6 |
| Mix Design | Frequency (Hz) | ||||||
|---|---|---|---|---|---|---|---|
| 0.2 | 0.4 | 0.6 | 0.8 | 1.0 | |||
| 0G0MCMF | 10.0 | 6.7 | 3.9 | 3.2 | 3.7 | 5.5 | 2.9 |
| 3G0MCMF | 16 | 13 | 9.5 | 8.9 | 8.8 | 11 | 3.3 |
| 3G1000MCMF | 181 | 173 | 184 | 173 | 174 | 177 | 5.0 |
| 3G500CCMF | 329 | 342 | 358 | 351 | 304 | 337 | 21.3 |
| 3G125M500CCMF | 407 | 396 | 405 | 377 | 366 | 390 | 18.9 |
| 3G250M250CCMF | 441 | 445 | 452 | 430 | 421 | 438 | 12.6 |
| 3G250M500CCMF | 421 | 432 | 431 | 411 | 401 | 419 | 13.3 |
| 3DP-3G250M250CCMF | 410 | 416 | 396 | 407 | 405 | 407 | 7.3 |
Disclaimer/Publisher’s Note: The statements, opinions and data contained in all publications are solely those of the individual author(s) and contributor(s) and not of MDPI and/or the editor(s). MDPI and/or the editor(s) disclaim responsibility for any injury to people or property resulting from any ideas, methods, instructions or products referred to in the content. |
© 2024 by the authors. Licensee MDPI, Basel, Switzerland. This article is an open access article distributed under the terms and conditions of the Creative Commons Attribution (CC BY) license (https://creativecommons.org/licenses/by/4.0/).
Share and Cite
Liu, H.; Laflamme, S.; Cai, B.; Lyu, P.; Sritharan, S.; Wang, K. Investigation of 3D Printed Self-Sensing UHPC Composites Using Graphite and Hybrid Carbon Microfibers. Sensors 2024, 24, 7638. https://doi.org/10.3390/s24237638
Liu H, Laflamme S, Cai B, Lyu P, Sritharan S, Wang K. Investigation of 3D Printed Self-Sensing UHPC Composites Using Graphite and Hybrid Carbon Microfibers. Sensors. 2024; 24(23):7638. https://doi.org/10.3390/s24237638
Chicago/Turabian StyleLiu, Han, Simon Laflamme, Bin Cai, Ping Lyu, Sri Sritharan, and Kejin Wang. 2024. "Investigation of 3D Printed Self-Sensing UHPC Composites Using Graphite and Hybrid Carbon Microfibers" Sensors 24, no. 23: 7638. https://doi.org/10.3390/s24237638
APA StyleLiu, H., Laflamme, S., Cai, B., Lyu, P., Sritharan, S., & Wang, K. (2024). Investigation of 3D Printed Self-Sensing UHPC Composites Using Graphite and Hybrid Carbon Microfibers. Sensors, 24(23), 7638. https://doi.org/10.3390/s24237638

