Borehole Optical Fibre Distributed Temperature Sensing vs. Manual Temperature Logging for Geothermal Condition Assessment: Results of the OptiSGE Project
Abstract
1. Introduction
2. Materials and Methods
2.1. Study Area and Geological and Hydrogeological Settings
| # | Borehole Name * | CBDH ID No. ** | Altitude (m a.s.l.) | Drilling Year | Total Depth (m b.g.l.) | Land Use Type | Geotectonic Unit |
|---|---|---|---|---|---|---|---|
| 1. | Czerwony Potok 1 | 8310064 | 723.30 | 2011 | 75.0 | rural area/ forest | Izera-Karkonosze Massif |
| 2. | Długopole Dolne 6R | 9330025 | 355.60 | 1983 | 277.0 | rural area/ pasture | Upper Nysa Graben |
| 3. | Dobromyśl 1 | 8330199 | 504.84 | 2011 | 221.0 | meadow | Intra-Sudetic Basin |
| 4. | Dobromyśl 5B | 8330178 | 531.30 | n.a. | 171.0 | rural area/ forest | Intra-Sudetic Basin |
| 5. | Krzyżanów 2 | 9000064 | 484.90 | 1987 | 300.0 | rural area/ pasture | Orlica-Śnieżnik Dome |
| 6. | Lubrza VA | 9050125 | 248.50 | 1986 | 201.0 | rural area/ arable land | Kędzierzyn Graben |
| 7. | Łupki 1 | 7580052 | 274.90 | 1986 | 445.0 | rural area/meadow | North Sudetic Synclinorium |
| 8. | Marszowice osiedle | 7630307 | 117.80 | 1984 | 135.0 | suburban area/ low-rise dev. | Fore-Sudetic Homocline |
| 9. | Marszowice pole | 7630154 | 115.00 | 1976 | 131.5 | suburban area/ meadow | Fore-Sudetic Homocline |
| 10. | Mieroszów P2 | 8330135 | 499.20 | 1982 | 120.0 | rural area/meadow | Intra-Sudetic Basin |
| 11. | Pełczyn IVP | 6890081 | 108.50 | 1982 | 517.0 | rural area/meadow | Intra-Sudetic Basin |
| 12. | Stary Waliszów 7R | 9330028 | 385.00 | 1986 | 625.0 | rural area/meadow | Intra-Sudetic Basin |
| 13. | Tłumaczów 21N | 8670005 | 350.50 | 1990 | 110.0 | rural area/meadow | Intra-Sudetic Basin |
| 14. | Wałbrzych Stara Kopalnia | n.a. | 440.90 | n.a. | n.a. | urban area/ post-industrial | Intra-Sudetic Basin |
| 15. | Wambierzyce 18N | 9000067 | 363.70 | 1988 | 500.0 | rural area/meadow | Intra-Sudetic Basin |
| 16. | Wołów 6 | 6890064 | 108.00 | 1979 | 200.0 | rural area/meadow | Fore-Sudetic Homocline |
| 17. | Wrocław Bastion Sakwowy | 7640406 | 120.70 | 1965 | 115.00 | urban area/ green area | Fore-Sudetic Homocline |
| 18. | Wrocław Klasztor Bonifratów | 7641078 | 117.60 | 1980 | 112.0 | urban area/ built-up area | Fore-Sudetic Homocline |
| 19. | Wrocław Leśnica 1A | 7630374 | 122.60 | n.a. | 135.0 | suburban area/ green area | Fore-Sudetic Homocline |
| 20. | Wrocław Leśnica 3A | 7630256 | 122.70 | 1981 | 250.0 | suburban area/ green area | Fore-Sudetic Homocline |
| 21. | Wrocław Szpital Kolejowy | 7640365 | 124.30 | 1964 | 108.50 | urban area/ built-up area | Fore-Sudetic Homocline |
| 22. | Wrocław W-1 | 7641997 | 124.98 | 2018 | 90.00 | urban area/ green area | Fore-Sudetic Homocline |
| 23. | Wróblowice | 7630295 | 142.50 | 1983 | 76.00 | rural area | Fore-Sudetic Homocline |
2.2. Characteristics of the Studied Boreholes
2.3. Manual Temperature Logging
2.4. OF DTS Technology, Calibration and Measurements
| Automatic Recorders [26]: Levelogger 5 Model 3001 LTM200 Barologger 5 Model 3001LT M1.5 | DTS Unit with Optical Cable: Oryx+ DTS [39] and OF Cable BRUsens DTS STL PA [40] | |
|---|---|---|
| Producer | Solinst Canada Ltd., Georgtown, ON, Canada | Sensornet Ltd., Watford, UK and Solifos AG, Windisch, Switzerland |
| Level sensor | Piezoresistive Silicon with Hastelloy® Sensor | No |
| T sensor | Platinum Resistance Temperature Detector (RTD) | OF cable BRUsens DTS STL PA |
| T sensor accuracy | ±0.05 °C | ±0.5 °C |
| T sensor resolution | 0.003 °C | 0.01 °C |
| T compensation range | 0 to +50 °C | −200 to +600 °C depending on cable type |
| Max T measurement range | 200 m b.w.l. * | 12,500 m max OF cable length |
| Operating T | −20 to +80 °C | −40 to +65 °C |
| Spatial sample spacing | 0.4–0.6 (m) ** | 0.5 (m) |
| Battery lifetime | 10 years (1 reading/minute) | 15 years |
| Barometric compensation | High accuracy, Air only, Barologger | No |
| Measurement without extra power source | Yes | No |
2.5. Factors Influencing Temperature Measurements and Patterns of Depth-Dependent Temperature Curves
2.6. Calculation Procedures of the Selected Geothermal Parameters
3. Results and Discussion
3.1. Thermal Regime of the Subsurface
3.2. Irregular Temperature Patterns
3.3. Calculation of the Selected Geothermal Parameters
4. Conclusions
Author Contributions
Funding
Institutional Review Board Statement
Informed Consent Statement
Data Availability Statement
Acknowledgments
Conflicts of Interest
References
- Davis, M.G.; Harris, R.N.; Chapman, D.S. Repeat temperature measurements in boreholes from northwestern Utah link ground and air temperature changes at the decadal time scale. J. Geophys. Res. 2010, 115, 1–12. [Google Scholar] [CrossRef]
- Bense, V.F.; Kuryluk, B.L. Tracking the Subsurface Signal of Decadal Climate Warming to Quantify Vertical Groundwater Flow Rates. Geophys. Res. Lett. 2017, 44, 12–244. [Google Scholar] [CrossRef]
- Bodri, L.; Čermák, V. Reconstruction of remote climate changes from borehole temperatures. Glob. Planet Chang. 1997, 15, 47–57. [Google Scholar] [CrossRef]
- Chisholm, T.J.; Chapman, D.S. Climate Change Inferred From Analysis of Borehole Temperatures: An Example From Western Utah. J. Geophys. Res. 1992, 97, 155–175. [Google Scholar] [CrossRef]
- Moscoso Lembcke, L.G.; Roubinet, D.; Gidel, F.; Irving, J.; Pehme, P.; Parker, B.L. Analytical analysis of borehole experiments for the estimation of subsurface thermal properties. Adv. Water Resour. 2016, 91, 88–103. [Google Scholar] [CrossRef]
- Bense, V.F.; Kuryluk, B.L.; de Bruin, J.G.H.; Visser, P. Repeated Subsurface Thermal Profiling to Reveal Temporal Variability in Deep Groundwater Flow Conditions. Water Resour. Res. 2020, 56, 1–11. [Google Scholar] [CrossRef]
- Aranzabal, N.; Martos, J.; Steger, H.; Blum, P.; Soret, J. Temperature measurements along a vertical borehole heat exchanger: A method comparison. Renew. Energy 2019, 143, 1247–1258. [Google Scholar] [CrossRef]
- Michalski, A.; Klitzsch, N. First field application of temperature sensor modules for groundwater flow detection near borehole heat exchanger. Geotherm. Energy 2019, 7, 1–16. [Google Scholar] [CrossRef]
- Beier, R.A.; Acuña, J.; Mogensen, P.; Palm, B. Vertical temperature profiles and borehole resistance in a U-tube borehole heat Exchanger. Geothermics 2012, 44, 23–32. [Google Scholar] [CrossRef]
- Beier, R.A.; Acuña, J.; Mogensen, P.; Palm, B. Borehole resistance and vertical temperature profiles in coaxial borehole heat exchangers. Appl. Energy 2013, 102, 665–675. [Google Scholar] [CrossRef]
- Solon, J.; Borzyszkowski, J.; Bidłasik, M.; Richling, A.; Badora, K.; Balon, J.; Brzezińska-Wojcik, T.; Chabudziński, Ł.; Dobrowolski, R.; Grzegorczyk, I.; et al. Physicogeographical mesoregions of Poland—Verification and adjustment of boundaries on the basis of contemporary spatial data. Geogr. Pol. 2018, 2, 143–170. [Google Scholar] [CrossRef]
- Żelaźniewicz, A.; Aleksandrowski, P.; Buła, Z.; Karnkowski, P.H.; Konon, A.; Oszczypko, N.; Ślączka, A.; Żaba, J.; Żytko, K. Regionalizacja Tektoniczna Polski (Tectonic Regionalization of Poland), 1st ed.; Komitet Nauk Geologicznych Polskiej Akademii Nauk (The Committee of Geological Sciences of the Polish Academy of Sciences): Wrocław, Poland, 2011; pp. 1–60. Available online: https://www.pgi.gov.pl/images/stories/przeglad/pg_2008_10_14.pdf (accessed on 6 November 2024). (In Polish)
- Kryza, R.; Mazur, S.; Oberc-Dziedzic, T. The Sudetic geological mosaic: Insights into the root of the Variscan orogen. Przegląd Geol. 2004, 52, 761–771. Available online: https://geojournals.pgi.gov.pl/pg/article/view/31922/23492 (accessed on 6 November 2024).
- Badura, J.; Przybylski, B.; Zuchiewicz, W. Cainozoic evolution of Lower Silesia, SW Poland: A new interpretation in the light of sub-cainozoic and sub-quaternary topography. Acta Geodyn. Geomater. 2004, 3, 7–29. Available online: https://www.irsm.cas.cz/materialy/acta_content/2004_03/1_Badura.pdf (accessed on 6 November 2024).
- Blachowski, J.; Buczyńska, A. Analysis of Rock Raw Materials Transport and its Implications for Regional Development and Planning. Case Study of Lower Silesia (Poland). Sustainability 2020, 12, 3165. [Google Scholar] [CrossRef]
- Oszczepalski, S. Origin of the Kupferschiefer polymetallic mineralization in Poland. Miner. Depos. 1999, 34, 599–613. [Google Scholar] [CrossRef]
- Mazur, S.; Aleksandrowski, P.; Gągała, Ł.; Krzywiec, P.; Żaba, J.; Gaidzik, K.; Sikora, R. Late Palaeozoic strike-slip tectonics versus oroclinal bending at the SW outskirts of Baltica: Case of the Variscan belt’s eastern end in Poland. Int. J. Earth Sci. 2020, 109, 1133–1160. [Google Scholar] [CrossRef]
- Bilkiewicz, E.; Borkowski, A.; Duda, R.; Działak, P.; Kowalski, T.; Becker, R. Integrated stable S isotope, microbial and hydrochemical analysis of hydrogen sulphide origin in groundwater from the Legnica-Głogów Copper District, Poland. Appl. Geochem. 2024, 166, 105981. [Google Scholar] [CrossRef]
- Bocheńska, T. Wybrane problemy hydrogeologii regionalnej Dolnego Śląska (Selected problems of regional hydrogeology of the Lower Silesia). Biul. Państwowego Inst. Geol. 2002, 400, 57–76, (In Polish with English summaries). [Google Scholar]
- Staśko, S.; Michniewicz, M. Subregion Sudetów (Subregion of the Sudetes Mts.). In Hydrogeologia Regionalna Polski (Regional Hydrogeology of Poland), 1st ed.; Paczyński, B., Sadurski, A., Eds.; Państwowy Instytut Geologiczny: Warsaw, Poland, 2007; Volume 1, pp. 306–326. Available online: https://www.gov.pl/web/klimat/hydrogeologia (accessed on 6 November 2024). (In Polish)
- Staśko, S.; Kowalczyk, A.; Rubin, H.; Rubin, K. Subregion środkowej Odry południowy (Subregion of the southern middle Oder river). In Hydrogeologia Regionalna Polski (Regional Hydrogeology of Poland), 1st ed.; Paczyński, B., Sadurski, A., Eds.; Państwowy Instytut Geologiczny: Warsaw, Poland, 2007; Volume 1, pp. 327–340. Available online: https://www.gov.pl/web/klimat/hydrogeologia (accessed on 6 November 2024). (In Polish)
- Staśko, S. O wodach podziemnych w utworach krystalicznych Sudetów i ich przedpola (On groundwater in crystalline rocks of the Sudetes and their foreland). Biul. Państwowego Inst. Geol. 2010, 440, 135–144. Available online: https://geojournals.pgi.gov.pl/bp/article/view/28784/pdf (accessed on 6 November 2024). (In Polish with English summaries).
- Wąsik, M.; Marszałek, H.; Staśko, S.; Tarka, R. Wody podziemne północno-zachodniej części Dolnego Śląska (Groundwater of north-western part of Lower Silesia). In Mezozoik i Kenozoik Dolnego Śląska, 1st ed.; Żelaźniewicz, A., Wojewoda, J., Ciężkowski, W., Eds.; WIND: Wrocław, Poland, 2011; pp. 93–106. Available online: http://www.ptgeol.pl/wp-content/uploads/PTG_81_Zjazd_2011.pdf (accessed on 6 November 2024)(In Polish with English summaries).
- Polish Geological Institute—National Research Institute. The HYDRO Bank. Available online: https://www.pgi.gov.pl/en/phs/data/8880-the-hydro-bank.html (accessed on 13 August 2024).
- Dadlez, R.; Marek, S.; Pokorski, J. Mapa Geologiczna Polski bez Utworów Kenozoiku w Skali 1:1 000 000 (Geological Map of Poland without Cainozoic Sediments in 1:1 000 000 Scale). Państwowy Instytut Geologiczny (Polish Geological Institute). 2000. Available online: https://geologia.pgi.gov.pl/arcgis/home/item.html?id=5e22884a51b046cebed031b9594e5246 (accessed on 6 November 2024).
- Levelogger Series User Guide. Available online: https://www.solinst.com (accessed on 12 August 2024).
- Hartog, A.H. An Introduction to Distributed Optical Fibre Sensors, 1st ed.; CRC Press: Boca Raton, FL, USA, 2017; pp. 1–470. [Google Scholar] [CrossRef]
- Schenato, L.A. Review of Distributed Fibre Optic Sensors for Geo-Hydrological Applications. Appl. Sci. 2017, 7, 896. [Google Scholar] [CrossRef]
- Silva, L.C.B.; Segatto, M.E.V.; Castellani, C.E.S. Raman scattering-based distributed temperature sensors: A comprehensive literature review over the past 37 years and towards new avenues. Opt. Fiber Technol. 2022, 74, 103091. [Google Scholar] [CrossRef]
- Silixa. A LUNA Company. Available online: https://silixa.com (accessed on 12 August 2024).
- Juarez, J.C.; Maier, E.W.; Choi, K.N.; Taylor, H.F. Distributed Fiber-Optic Intrusion Sensor System. J. Light. Technol. 2005, 23, 2081–2087. [Google Scholar] [CrossRef]
- Li, Y.; Karrenbach, M.; Ajo-Franklin, J. Distributed Acoustic Sensing in Geophysics: Methods and Applications, 2nd ed.; American Gephysical Union, John Wiley & Sons: Hoboken, NJ, USA, 2022. [Google Scholar] [CrossRef]
- Thomas, P.J.; Heggelund, Y.; Klepsvik, I.; Cook, J.; Kolltveit, E.; Vaa, T. The performance of distributed acoustic sensing for tracking the movement of road vehicles. IEEE Trans. Intell. Transp. Syst. 2023, 25, 4933–4946. Available online: https://ieeexplore.ieee.org/document/10368099 (accessed on 7 November 2024). [CrossRef]
- Tateda, M.; Horiguchi, T.; Kurashima, T.; Ishihara, K. First Measurement of Strain Distribution Along Field-Installed Optical Fibers Using Brillouin Spectroscopy. J. Light. Technol. 1990, 8, 1269–1272. Available online: https://ieeexplore.ieee.org/document/59150 (accessed on 7 November 2024). [CrossRef]
- Horiguchi, T.; Shimizu, K.; Kurashima, T.; Tateda, M.; Koyamada, Y. Development of a distributed sensing technique using Brillouin scattering. J. Light. Technol. 1995, 13, 1296–1302. Available online: https://ieeexplore.ieee.org/document/400684 (accessed on 7 November 2024). [CrossRef]
- Dakin, J.P.; Pratt, D.J.; Bibby, G.W.; Ross, J.N. Distributed optical fibre Raman temperature sensor using a semiconductor light source and detector. Electron. Lett. 1985, 21, 569–570. Available online: https://digital-library.theiet.org/doi/abs/10.1049/el%3A19850402 (accessed on 12 August 2024). [CrossRef]
- Tyler, S.W.; Selker, J.S.; Hausner, M.B.; Hatch, C.E.; Torgersen, T.; Thodal, C.E.; Schladow, S.G. Environmental temperature sensing using Raman spectra DTS fiber-optic methods. Water Resour. Res. 2009, 45, 1–11. [Google Scholar] [CrossRef]
- Lillo, M.; Suárez, F.; Hausner, M.B.; Yáñez, G.; Veloso, E.A. Extension of duplexed single-ended distributed temperature sensing calibration algorithms and their application in geothermal systems. Sensors 2020, 22, 3319. [Google Scholar] [CrossRef] [PubMed]
- Oryx DTS User Manual. Available online: https://roctest.com/wp-content/uploads/2017/01/Sen4-UMv4.pdf (accessed on 12 August 2024).
- BRUsens DTS STL PA. Available online: https://solifos.com/ (accessed on 12 August 2024).
- Banks, D. An Introduction to Thermogeology: Ground Source Heating and Cooling, 2nd ed.; Wiley-Blackwell: Chichester, UK, 2012; pp. 1–526. [Google Scholar] [CrossRef]
- Buildingphysics.com. EED—Earth Energy Designer. Available online: https://buildingphysics.com/eed-2/ (accessed on 14 August 2024).
- Soldo, V.; Boban, L.; Borović, S. Vertical distribution of shallow ground thermal properties in different geological settings in Croatia. Renew. Energy 2016, 99, 1202–1212. [Google Scholar] [CrossRef]
- nPro. Ground temperature: Calculation and Simulation of Soil Temperature Profiles. nPro Planning Tool for Buildings & Districts. Available online: https://www.npro.energy/main/en/5gdhc-networks/ground-temperature-soil (accessed on 18 September 2024).
- Korhonen, K.; Ruskeeniemi, T.; Paananen, M.; Lehtimaki, J. Frequency Domain Electromagnetic Soundings of Canadian Deep Permafrost. Geophysica 2008, 45, 77–92. Available online: https://www.geophysica.fi/pdf/geophysica_2009_45_1-2_077_korhonen.pdf (accessed on 6 November 2024).
- Seward, A.M.; Prieto, A. New Zealand Rock Properties: Determining Thermal Properties of Shallow Soils. In Proceedings of the World Geothermal Congress, Melbourne, Australia, 19–25 April 2015; Available online: https://www.geothermal-energy.org/pdf/IGAstandard/WGC/2015/29013.pdf (accessed on 6 November 2024).
- Bady, M.; Ouzzane, M.; Shahin, M. Experimental Investigation on the Ground Temperature Profile for Shallow Geothermal Energy Applications in a Hot and Dry Climate. In Proceedings of the 9th International Renewable and Sustainable Energy Conference (IRSEC), Tetouan, Morocco, 23–27 November 2021; Available online: https://ieeexplore.ieee.org/document/9740731 (accessed on 6 November 2024).
- Kłonowski, M.R. Anthropogenic disturbances of subsurface temperature in Wrocław agglomeration. In Proceedings of the 7th Polish Geothermal Congress, Online, Poland, 28–30 September 2021; Available online: https://energia-geotermalna.org.pl/wp-content/uploads/2021/12/7th_Polish_Geothermal_Congress-Book_of_abstracts_2021-END.pdf (accessed on 6 November 2024).
- Worsa-Kozak, M.; Arsen, A. Groundwater Urban Heat Island in Wrocław, Poland. Land 2023, 12, 658. [Google Scholar] [CrossRef]
- Kłonowski, M.R.; Żeruń, M. Shallow subsurface temperature at the selected locations in Poland. In Proceedings of the 49th Workshop on Geothermal Reservoir Engineering, Stanford University, Stanford, CA, USA, 12–14 February 2024; Available online: https://www.solinst.com/onthelevel-news/wp-content/uploads/2024/06/Klonowski.pdf (accessed on 6 November 2024).
- Visser, P.W.; Kooi, H.; Bense, V.; Boerma, E. Impacts of progressive urban expansion on subsurface temperatures in the city of Amsterdam (The Netherlands). Hydrogeol. J. 2020, 28, 1755–1772. [Google Scholar] [CrossRef]
- Cermak, V. Lithospheric thermal regimes in Europe. Phys. Earth Planet. Inter. 1993, 79, 179–193. [Google Scholar] [CrossRef]
- Majorowicz, J. Heat Flow in Poland and Its Relation to the Geological Structure. Geothermics 1973, 2, 24–28. [Google Scholar] [CrossRef]
- Majorowicz, J.; Plewa, S. Study of heat flow in Poland with special regard to tectonophysical problems. In Terrestial Heat Flow in Europe, 1st ed.; Čermak, V., Rybach, L., Eds.; Springer: Berlin/Heidelberg, Germany, 1979; pp. 240–252. [Google Scholar] [CrossRef]
- Plewa, S. Rozkład Parametrów Geotermalnych na Obszarze Polski (Distribution of Geothermal Parameters in Poland); Wydawnictwo Centrum Podstawowych Problemów Gospodarki Surowcami Mineralnymi i Energią Polskiej Akademii Nauk: Kraków, Poland, 1994; pp. 1–138. [Google Scholar]
- Majorowicz, J.; Grad, M. Differences Between Recent Heat Flow Maps of Poland and Deep Thermo-Seismic and Tectonic Age Constraints. Int. J. Terr. Heat Flow Appl. Geotherm. 2020, 3, 11–19. [Google Scholar] [CrossRef]
- Majorowicz, J. Review of the Heat Flow Mapping in Polish Sedimentary Basin across Different Tectonic Terrains. Energies 2021, 14, 6103. [Google Scholar] [CrossRef]
- Bruszewska, B. Geothermal conditions of Lower Silesia (Warunki geotermiczne Dolnego Śląska). Przegl. Geol. 2000, 48, 639–643. Available online: https://geojournals.pgi.gov.pl/pg/article/view/15309/12976 (accessed on 6 November 2024). (In Polish with English summaries).








| # * | CBDH ID No. ** | Manual T Logging | OF DTS | ||||||||
|---|---|---|---|---|---|---|---|---|---|---|---|
| Date dd.mm.yyyy | Ambient Air T °C | Ground Water Table Depth (m b.g.l.) | Max Meas. Depth, (m b.g.l.) | T at Max Meas. Depth °C | Date dd.mm.yyyy | Ambient Air T °C | Ground Water Table Depth (m b.g.l.) | Max Meas. Depth (m b.g.l.) | T at Max Meas. Depth °C | ||
| 1. | 8310064 | 19.09.2023 | 17.53 | 7.97 | 52.09 | 7.33 | n.a. | n.a. | n.a. | n.a. | n.a. |
| 2. | 9330025 | 19.10.2023 | 13.26 | 8.69 | 199.63 | 14.80 | 17.01.2024 | −2.50 | 7.61 | 277.50 | 15.34 |
| 3. | 8330199 | 03.11.2023 | 9.24 | 1.75 | 196.55 | 8.34 | 19.12.2023 | 7.00 | 0.00 | 215.50 | 8.84 |
| 4. | 8330178 | 24.10.2023 | 15.43 | 27.11 | 153.44 | 8.28 | n.a. | n.a. | n.a. | n.a. | n.a. |
| 5. | 9000064 | 20.10.2023 | 17.22 | 0.62 | 198.19 | 12.70 | n.a. | n.a. | n.a. | n.a. | n.a. |
| 6. | 9050125 | 03.10.2023 | 29.90 | 59.12 | 192.63 | 14.47 | 24.01.2024 | 9.00 | 58.93 | 187.26 | 14.36 |
| 7. | 7580052 | 18.10.2023 | 17.73 | 5.44 | 199.53 | 11.72 | 25.01.2024 | 6.00 | 5.14 | 357.90 | 13.94 |
| 8. | 7630307 | 13.09.2023 | 25.14 | 6.10 | 78.74 | 11.32 | 12.01.2024 | 1.00 | 6.92 | 79.40 | 10.94 |
| 9. | 7630154 | 13.09.2023 | 29.92 | 5.20 | 74.78 | 11.37 | n.a. | n.a. | n.a. | n.a. | n.a. |
| 10. | 8330135 | 24.10.2023 | 14.87 | 6.11 | 108.99 | 9.87 | n.a. | n.a. | n.a. | n.a. | n.a. |
| 11. | 6890081 | n.a. | n.a. | n.a. | n.a. | n.a. | 18.12.2023 | 10.00 | 26.23 | 338.50 | 22.76 |
| 12. | 9330028 | 19.10.2023 | 12.52 | 1.25 | 199.17 | 14.97 | 17.01.2024 | 2.50 | 0.87 | 305.50 | 18.52 |
| 13. | 8670005 | 25.10.2023 | 13.58 | 10.73 | 94.66 | 10.37 | n.a. | n.a. | n.a. | n.a. | n.a. |
| 14. | n.a. | 09.10.2023 | 9.33 | 38.80 | 239.43 | 15.74 | 30.01.2024 | 10.00 | 36.71 | 127.00 | 14.44 |
| 15. | 9000067 | 28.10.2023 | 13.96 | 16.79 | 197.11 | 13.73 | 23.01.2024 | 5.50 | 16.72 | 310.50 | 14.51 |
| 16. | 6890064 | 10.10.2023 | 12.18 | 0.34 | 149.44 | 14.08 | n.a. | n.a. | n.a. | n.a. | n.a. |
| 17. | 7640406 | 20.09.2023 | 23.14 | 5.43 | 65.88 | 11.66 | 26.01.2024 | 5.80 | 5.40 | 63.70 | 11.35 |
| 18. | 7641078 | 28.09.2023 | 16.26 | 2.43 | 58.54 | 11.44 | 09.01.2024 | −8.30 | 2.26 | 58.50 | 9.92 |
| 19. | 7630374 | 28.09.2023 | 26.07 | 12.02 | 54.82 | 10.64 | n.a. | n.a. | n.a. | n.a. | n.a. |
| 20. | 7630256 | 28.09.2023 | 25.28 | 10.69 | 224.89 | 15.02 | 05.01.2024 | 3.50 | 10.39 | 211.20 | 13.52 |
| 21. | 7640365 | 20.09.2023 | 19.67 | 8.86 | 79.04 | 12.05 | 10.01.2024 | −10.00 | 8.99 | 98.50 | 11.13 |
| 22. | 7641997 | 20.09.2023 | 16.07 | 11.76 | 88.38 | 11.17 | 06.12.2023 | 4.80 | 11.50 | 79.50 | 11.72 |
| 23. | 7630295 | 13.09.2023 | 27.01 | 22.15 | 47.39 | 10.65 | n.a. | n.a. | n.a. | n.a. | n.a. |
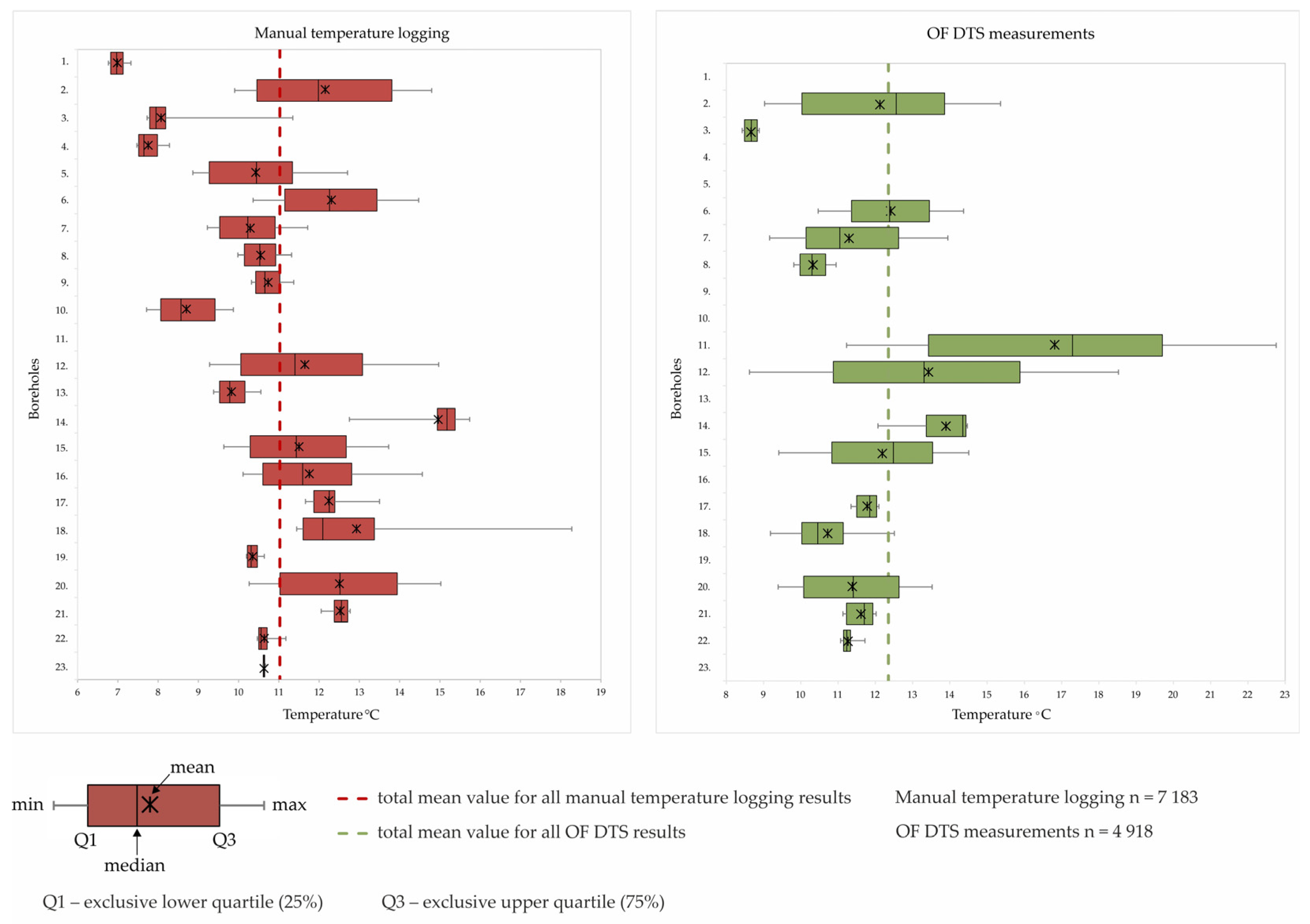
| # * | CBDH ID No. ** | Max Measured Depth (m b.g.l.) | n *** | Min | Max | Mean | Median | Range | Q1 | Q3 | IQR | Standard Deviation |
|---|---|---|---|---|---|---|---|---|---|---|---|---|
| 1. | 8310064 | 52.09 | 159 | 6.77 | 7.33 | 6.99 | 6.97 | 0.56 | 6.82 | 6.97 | 0.15 | 0.17 |
| 2. | 9330025 | 199.63 | 361 | 9.90 | 14.80 | 12.15 | 11.98 | 4.89 | 10.46 | 11.98 | 1.53 | 1.69 |
| 3. | 8330199 | 196.55 | 379 | 7.73 | 11.35 | 8.07 | 7.95 | 3.62 | 7.79 | 7.95 | 0.16 | 0.51 |
| 4. | 8330178 | 153.44 | 237 | 7.47 | 8.28 | 7.75 | 7.65 | 0.81 | 7.52 | 7.65 | 0.13 | 0.26 |
| 5. | 9000064 | 198.19 | 385 | 8.86 | 12.71 | 10.42 | 10.45 | 3.84 | 9.27 | 10.45 | 1.18 | 1.18 |
| 6. | 9050125 | 192.63 | 524 | 10.36 | 14.47 | 12.30 | 12.26 | 4.11 | 11.15 | 12.26 | 1.11 | 1.29 |
| 7. | 7580052 | 199.53 | 727 | 9.22 | 11.72 | 10.29 | 10.23 | 2.49 | 9.53 | 10.23 | 0.70 | 0.79 |
| 8. | 7630307 | 78.74 | 263 | 9.98 | 11.32 | 10.55 | 10.53 | 1.34 | 10.14 | 10.53 | 0.39 | 0.42 |
| 9. | 7630154 | 74.78 | 248 | 10.32 | 11.37 | 10.73 | 10.65 | 1.05 | 10.42 | 10.65 | 0.23 | 0.34 |
| 10. | 8330135 | 108.99 | 382 | 7.71 | 9.87 | 8.70 | 8.57 | 2.16 | 8.06 | 8.57 | 0.51 | 0.69 |
| 11. | 6890081 | n.a. | n.a. | n.a. | n.a. | n.a. | n.a. | n.a. | n.a. | n.a. | n.a. | n.a. |
| 12. | 9330028 | 199.17 | 427 | 9.28 | 14.97 | 11.64 | 11.40 | 5.69 | 10.06 | 11.40 | 1.34 | 1.73 |
| 13. | 8670005 | 94.66 | 311 | 9.38 | 10.55 | 9.82 | 9.78 | 1.17 | 9.53 | 9.78 | 0.25 | 0.33 |
| 14. | n.a. | 239.43 | 365 | 12.75 | 15.74 | 14.96 | 15.18 | 2.99 | 14.94 | 15.18 | 0.24 | 0.72 |
| 15. | 9000067 | 197.11 | 357 | 9.63 | 13.73 | 11.50 | 11.43 | 4.10 | 10.29 | 11.43 | 1.15 | 1.32 |
| 16. | 6890064 | 149.44 | 276 | 10.11 | 14.56 | 11.76 | 11.59 | 4.45 | 10.60 | 11.59 | 0.99 | 1.25 |
| 17. | 7640406 | 65.88 | 229 | 11.66 | 13.50 | 12.24 | 12.25 | 1.84 | 11.87 | 12.25 | 0.38 | 0.45 |
| 18. | 7641078 | 58.54 | 218 | 11.44 | 18.28 | 12.93 | 12.09 | 6.84 | 11.60 | 12.09 | 0.49 | 1.92 |
| 19. | 7630374 | 54.82 | 158 | 10.20 | 10.64 | 10.35 | 10.31 | 0.44 | 10.22 | 10.31 | 0.09 | 0.14 |
| 20. | 7630256 | 224.89 | 525 | 10.26 | 15.02 | 12.50 | 12.52 | 4.76 | 11.03 | 12.52 | 1.49 | 1.54 |
| 21. | 7640365 | 79.04 | 265 | 12.05 | 12.77 | 12.52 | 12.55 | 0.72 | 12.38 | 12.55 | 0.17 | 0.20 |
| 22. | 7641997 | 88.38 | 286 | 10.46 | 11.17 | 10.64 | 10.56 | 0.71 | 10.50 | 10.56 | 0.06 | 0.20 |
| 23. | 7630295 | 47.39 | 101 | 10.61 | 10.67 | 10.63 | 10.63 | 0.06 | 10.61 | 10.63 | 0.01 | 0.02 |
| # * | CBDH ID No. ** | Max Measured Depth (m b.g.l.) | n *** | Min | Max | Mean | Median | Range | Q1 | Q3 | IQR | Standard Deviation |
|---|---|---|---|---|---|---|---|---|---|---|---|---|
| 1. | 8310064 | n.a. | n.a. | n.a. | n.a. | n.a. | n.a. | n.a. | n.a. | n.a. | n.a. | n.a. |
| 2. | 9330025 | 277.50 | 12,210 | 9.03 | 15.36 | 12.12 | 12.56 | 6.33 | 10.03 | 13.87 | 3.84 | 2.05 |
| 3. | 8330199 | 215.50 | 4310 | 8.43 | 8.88 | 8.66 | 8.67 | 0.46 | 8.49 | 8.83 | 0.34 | 0.16 |
| 4. | 8330178 | n.a. | n.a. | n.a. | n.a. | n.a. | n.a. | n.a. | n.a. | n.a. | n.a. | n.a. |
| 5. | 9000064 | n.a. | n.a. | n.a. | n.a. | n.a. | n.a. | n.a. | n.a. | n.a. | n.a. | n.a. |
| 6. | 9050125 | 187.26 | 12,734 | 10.47 | 14.37 | 12.41 | 12.38 | 3.90 | 11.36 | 13.46 | 2.10 | 1.17 |
| 7. | 7580052 | 357.90 | 28,632 | 9.16 | 13.95 | 11.29 | 11.05 | 4.79 | 10.14 | 12.63 | 2.48 | 1.47 |
| 8. | 7630307 | 79.40 | 4764 | 9.81 | 10.95 | 10.33 | 10.30 | 1.14 | 9.98 | 10.67 | 0.69 | 0.37 |
| 9. | 7630154 | n.a. | n.a. | n.a. | n.a. | n.a. | n.a. | n.a. | n.a. | n.a. | n.a. | n.a. |
| 10. | 8330135 | n.a. | n.a. | n.a. | n.a. | n.a. | n.a. | n.a. | n.a. | n.a. | n.a. | n.a. |
| 11. | 6890081 | 338.50 | 3047 | 11.23 | 22.76 | 16.81 | 17.29 | 11.53 | 13.43 | 19.70 | 6.28 | 3.53 |
| 12. | 9330028 | 305.50 | 28,106 | 8.62 | 18.52 | 13.43 | 13.31 | 9.90 | 10.87 | 15.89 | 5.01 | 2.85 |
| 13. | 8670005 | n.a. | n.a. | n.a. | n.a. | n.a. | n.a. | n.a. | n.a. | n.a. | n.a. | n.a. |
| 14. | n.a. | 127.00 | 10,160 | 12.07 | 14.47 | 13.90 | 14.35 | 2.40 | 13.37 | 14.43 | 1.06 | 0.75 |
| 15. | 9000067 | 310.50 | 28,140 | 9.41 | 14.51 | 12.19 | 12.48 | 5.10 | 10.83 | 13.54 | 2.71 | 1.58 |
| 16. | 6890064 | n.a. | n.a. | n.a. | n.a. | n.a. | n.a. | n.a. | n.a. | n.a. | n.a. | n.a. |
| 17. | 7640406 | 63.70 | 2038 | 11.35 | 12.10 | 11.78 | 11.85 | 0.75 | 11.50 | 12.04 | 0.54 | 0.27 |
| 18. | 7641078 | 58.50 | 4680 | 9.18 | 12.51 | 10.72 | 10.45 | 3.33 | 10.03 | 11.15 | 1.13 | 0.83 |
| 19. | 7630374 | n.a. | n.a. | n.a. | n.a. | n.a. | n.a. | n.a. | n.a. | n.a. | n.a. | n.a. |
| 20. | 7630256 | 211.20 | 10,138 | 9.39 | 13.52 | 11.38 | 11.41 | 4.13 | 10.08 | 12.64 | 2.56 | 1.35 |
| 21. | 7640365 | 98.50 | 4531 | 11.13 | 12.02 | 11.61 | 11.70 | 0.89 | 11.23 | 11.94 | 0.71 | 0.33 |
| 22. | 7641997 | 79.50 | 477 | 11.07 | 11.72 | 11.27 | 11.23 | 0.65 | 11.14 | 11.33 | 0.19 | 0.15 |
| 23. | 7630295 | n.a. | n.a. | n.a. | n.a. | n.a. | n.a. | n.a. | n.a. | n.a. | n.a. | n.a. |
| # * | CBDH No. ** | Calculation Interval: | Temperature Within Calculation Interval °C | Geothermal Gradient G (°C/100 m) | Effective Thermal Conductivity Kef (W/m°C) | Heat Flux Q (mW/m2) | ||||
|---|---|---|---|---|---|---|---|---|---|---|
| Top (m b.g.l.) | Bottom (m b.g.l.) | Thickness (m) | at the Top | at the Bottom | Difference Bottom–Top | |||||
| Manual temperature logging | ||||||||||
| 2. | 9050125 | 40.71 | 199.63 | 158.93 | 10.06 | 14.80 | 4.74 | 2.98 | 1.58 | 47.25 |
| 6. | 9050125 | 73.32 | 152.84 | 79.52 | 10.49 | 13.02 | 2.53 | 3.18 | 1.72 | 54.48 |
| 7. | 7580052 | 40.11 | 199.53 | 159.42 | 9.37 | 11.72 | 2.35 | 1.47 | 2.12 | 31.26 |
| 8. | 7630307 | 24.21 | 78.74 | 54.53 | 10.14 | 11.32 | 1.17 | 2.15 | 1.44 | 30.97 |
| 12. | 9330028 | 60.75 | 199.17 | 138.42 | 10.24 | 14.97 | 4.73 | 3.42 | 2.10 | 71.75 |
| 15. | 9000067 | 50.12 | 197.11 | 146.99 | 9.90 | 13.70 | 3.80 | 2.59 | 2.39 | 61.77 |
| 20. | 7630256 | 44.13 | 174.66 | 130.53 | 10.55 | 14.04 | 3.49 | 2.67 | 1.81 | 48.34 |
| OF DTS measurements | ||||||||||
| 2. | 9330025 | 40.35 | 275.46 | 235.11 | 9.21 | 15.33 | 6.12 | 2.60 | 2.03 | 52.75 |
| 6. | 9050125 | 60.78 | 185.22 | 124.44 | 10.48 | 14.35 | 3.87 | 3.11 | 1.73 | 53.70 |
| 7. | 7580052 | 40.18 | 357.90 | 317.72 | 9.36 | 13.94 | 4.58 | 1.44 | 2.20 | 31.72 |
| 8. | 7630307 | 24.32 | 79.40 | 55.08 | 9.91 | 10.94 | 1.03 | 1.87 | 1.44 | 26.99 |
| 12. | 9330028 | 60.20 | 302.96 | 242.76 | 10.35 | 18.49 | 8.14 | 3.35 | 2.10 | 70.44 |
| 15. | 9000067 | 50.41 | 301.83 | 251.43 | 9.73 | 14.28 | 4.55 | 1.81 | 2.01 | 36.29 |
| 20. | 7630256 | 48.51 | 177.54 | 129.03 | 9.81 | 12.95 | 3.13 | 2.43 | 1.81 | 44.02 |
Disclaimer/Publisher’s Note: The statements, opinions and data contained in all publications are solely those of the individual author(s) and contributor(s) and not of MDPI and/or the editor(s). MDPI and/or the editor(s) disclaim responsibility for any injury to people or property resulting from any ideas, methods, instructions or products referred to in the content. |
© 2024 by the authors. Licensee MDPI, Basel, Switzerland. This article is an open access article distributed under the terms and conditions of the Creative Commons Attribution (CC BY) license (https://creativecommons.org/licenses/by/4.0/).
Share and Cite
Kłonowski, M.R.; Nermoen, A.; Thomas, P.J.; Wyrwalska, U.; Pratkowiecka, W.; Ładocha, A.; Midttømme, K.; Brytan, P.; Krzonkalla, A.; Maćko, A.; et al. Borehole Optical Fibre Distributed Temperature Sensing vs. Manual Temperature Logging for Geothermal Condition Assessment: Results of the OptiSGE Project. Sensors 2024, 24, 7419. https://doi.org/10.3390/s24237419
Kłonowski MR, Nermoen A, Thomas PJ, Wyrwalska U, Pratkowiecka W, Ładocha A, Midttømme K, Brytan P, Krzonkalla A, Maćko A, et al. Borehole Optical Fibre Distributed Temperature Sensing vs. Manual Temperature Logging for Geothermal Condition Assessment: Results of the OptiSGE Project. Sensors. 2024; 24(23):7419. https://doi.org/10.3390/s24237419
Chicago/Turabian StyleKłonowski, Maciej R., Anders Nermoen, Peter J. Thomas, Urszula Wyrwalska, Weronika Pratkowiecka, Agnieszka Ładocha, Kirsti Midttømme, Paweł Brytan, Anna Krzonkalla, Adrianna Maćko, and et al. 2024. "Borehole Optical Fibre Distributed Temperature Sensing vs. Manual Temperature Logging for Geothermal Condition Assessment: Results of the OptiSGE Project" Sensors 24, no. 23: 7419. https://doi.org/10.3390/s24237419
APA StyleKłonowski, M. R., Nermoen, A., Thomas, P. J., Wyrwalska, U., Pratkowiecka, W., Ładocha, A., Midttømme, K., Brytan, P., Krzonkalla, A., Maćko, A., Zawistowski, K., & Duczmańska-Kłonowska, J. (2024). Borehole Optical Fibre Distributed Temperature Sensing vs. Manual Temperature Logging for Geothermal Condition Assessment: Results of the OptiSGE Project. Sensors, 24(23), 7419. https://doi.org/10.3390/s24237419

