Multispectral Images for Drought Stress Evaluation of Arabica Coffee Genotypes Under Different Irrigation Regimes
Abstract
1. Introduction
2. Materials and Methods
2.1. Study Area and Experimental Design
2.2. Sensors and Image Acquisition
2.3. Pre-Processing of the Images
2.4. Vegetation Indices, Leaf Gas Exchange and Productivity
2.5. Statistical Analysis
3. Results
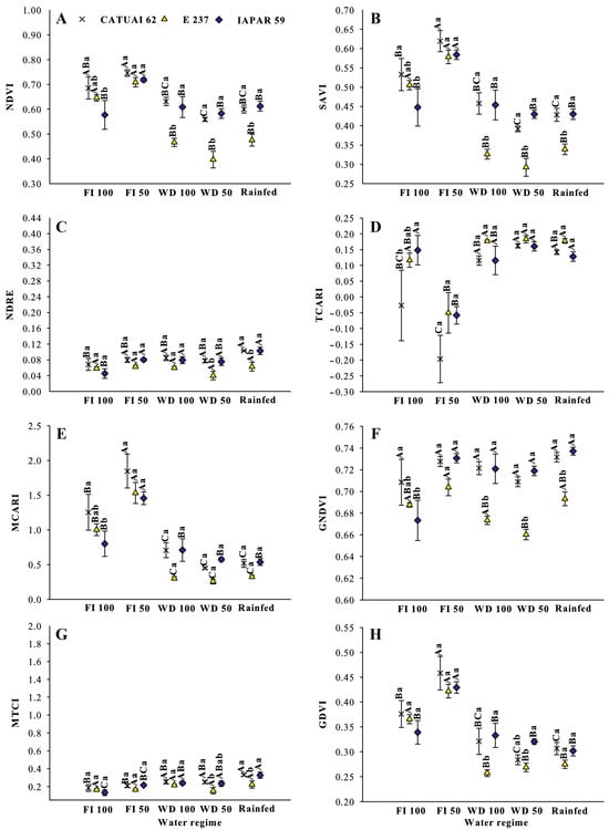
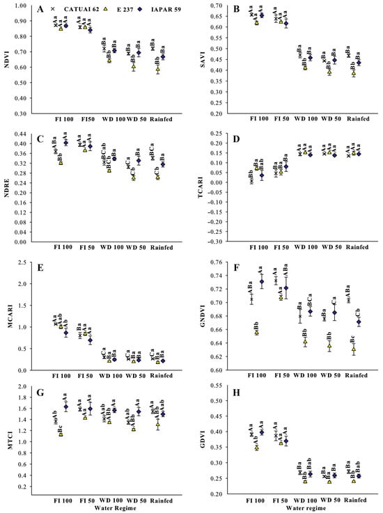
3.1. Performance of Vegetation Indices for Each Coffee Genotype Under Different Water Regimes
3.2. Correlation Between Vegetation Indices and Physiological Variables
3.3. Principal Component Analysis
4. Discussion
4.1. Vegetation Indices to Identify Drought Stress in Coffee Trees
4.2. Grouping of Different Genotypes and Water Regimes
5. Conclusions
Author Contributions
Funding
Institutional Review Board Statement
Informed Consent Statement
Data Availability Statement
Acknowledgments
Conflicts of Interest
References
- International Coffee Organization (ICO). Historical Data on the Global Coffee Trade; International Coffee Organization (ICO): London, UK, 2020. [Google Scholar]
- USDA. Coffee: World Markets and Trade (Issue June). 2023. Available online: https://apps.fas.usda.gov/psdonline/app/index.html#/app/home (accessed on 16 September 2023).
- CONAB-Companhia Nacional de Abastecimento. Acompanhamento da Safra Brasileira de Café; Boletim da Safra de Café (Monitoring of the Brazilian coffee: Coffee Harvest Bulletin); Ministério do Desenvolvimento Agrário: Brasília, Brazil, 2023; 2024-First estimate.
- Maciel, D.A.; Silva, V.A.; Alves, H.M.R.; Volpato, M.M.L.; Barbosa, J.P.R.A.; Souza, V.C.O.; Santos, M.O.; Silveira, H.R.O.; Dantas, M.F.; Freitas, A.F.; et al. Leaf water potential of coffee estimated by landsat-8 images. PLoS ONE 2020, 15, e0230013. [Google Scholar] [CrossRef] [PubMed]
- DaMatta, F.M.; Ronchi, C.P.; Maestri, M.; Barros, R.S. Ecophysiology of coffee growth and production. Braz. J. Plant Physiol. 2007, 19, 485–510. [Google Scholar] [CrossRef]
- van der Vossen, H.; Bertrand, B.; Charrier, A. Next generation variety development for sustainable production of arabica coffee (Coffea arabica L.): A review. Euphytica 2015, 204, 243–256. [Google Scholar] [CrossRef]
- Davis, A.P.; Chadburn, H.; Moat, J.; O’Sullivan, R.; Hargreaves, S.; Nic Lughadha, E. High extinction risk for wild coffee species and implications for coffee sector sustainability. Sci. Adv. 2019, 5, eaav3473. [Google Scholar] [CrossRef] [PubMed]
- Martins, R.N.; de Carvalho Pinto, F.D.A.; de Queiroz, D.M.; Valente, D.S.M.; Rosas, J.T.F.; Portes, M.F.; Cerqueira, E.S.A. Digital mapping of coffee ripeness using UAV-based multispectral imagery. Comput. Eletron. Agric. 2023, 204, 107499. [Google Scholar] [CrossRef]
- Rosas, J.T.F.; de Carvalho Pinto, F.D.A.; de Queiroz, D.M.; de Melo Villar, F.M.; Magalhaes Valente, D.S.; Nogueira Martins, R. Coffee ripeness monitoring using a UAV-mounted low-cost multispectral camera. Precis. Agric. 2022, 23, 300–318. [Google Scholar] [CrossRef]
- Chemura, A.; Mutanga, O.; Dube, T. Remote sensing leaf water stress in coffee (Coffea arabica) using secondary effects of water absorption and random forests. Phys. Chem. Earth Parts A/B/C 2017, 100, 317–324. [Google Scholar] [CrossRef]
- Mihailova, A.; Liebisch, B.; Islam, M.D.; Carstensen, J.M.; Cannavan, A.; Kelly, S.D. The use of multispectral imaging for the discrimination of Arabica and Robusta coffee beans. Food Chem. 2022, 14, 100325. [Google Scholar] [CrossRef]
- Janga, B.; Asamani, G.P.; Sun, Z.; Cristea, N. A Review of Practical AI for Remote Sensing in Earth Sciences. Remote Sens. 2023, 15, 4112. [Google Scholar] [CrossRef]
- Queiroz, D.M.; Coelho, A.L.F.; Valente, D.S.M.; Schueller, J.K. Sensors applied to Digital Agriculture: A review. Rev. Cienc. Agron. 2020, 51, e20207751. [Google Scholar] [CrossRef]
- Johnson, D.M. An assessment of pre-and within-season remotely sensed variables for forecasting corn and soybean yields in the United States. Remote Sens. Environ. 2014, 141, 116–128. [Google Scholar] [CrossRef]
- Schwalbert, R.A.; Amado, T.J.C.; Nieto, L.; Varela, S.; Corassa, G.M.; Horbe, T.A.N.; Rice, C.W.; Peralta, N.R.; Ciampitti, I.A. Forecasting maize yield at field scale based on high-resolution satellite imagery. Biosyst. Eng. 2018, 171, 179–192. [Google Scholar] [CrossRef]
- Zhao, Y.; Potgieter, A.B.; Zhang, M.; Wu, B.; Hammer, G.L. Predicting wheat yield at the field scale by combining high-resolution Sentinel-2 satellite imagery and crop modelling. Remote Sens. 2020, 12, 1024. [Google Scholar] [CrossRef]
- Berni, J.A.; Zarco-Tejada, P.J.; Suárez, L.; Fereres, E. Thermal and Narrowband multispectral remote sensing for vegetation monitoring from an unmanned aerial vehicle. IEEE Trans. Geosci. Remote Sens. 2009, 47, 722–738. [Google Scholar] [CrossRef]
- Bhadra, S.; Sagan, V.; Nguyen, C.; Braud, M.; Eveland, A.L.; Mockler, T.C. Automatic extraction of solar and sensor imaging geometry from uav-borne push-broom hyperspectral camera. ISPRS Ann. Photogramm. Remote Sens. Spat. Inf. Sci. 2022, 3, 131–137. [Google Scholar] [CrossRef]
- Bhadra, S.; Sagan, V.; Skobalski, J.; Grignola, F.; Sarkar, S.; Vilbig, J. End-to-end 3D CNN for plot-scale soybean yield prediction using multitemporal UAV-based RGB Images. Precis. Agric. 2024, 25, 834–864. [Google Scholar] [CrossRef]
- Maimaitijiang, M.; Sagan, V.; Erkbol, H.; Adrian, J.; Newcomb, M.; LeBauer, D.; Pauli, D.; Shakoor, N.; Mockler, T.C. Mockler UAV-Based sorghum growth monitoring: A comparative analysis of lidar and photogrammetry. ISPRS Ann. Photogramm. Remote Sens. Spat. Inf. Sci. 2020, 3, 489–496. [Google Scholar] [CrossRef]
- Santos, S.A.D.; Ferraz, G.A.E.S.; Figueiredo, V.C.; Volpato, M.M.L.; Machado, M.L.; Silva, V.A. Evaluation of the water conditions in coffee plantations using RPA. AgriEngineering 2022, 5, 65–84. [Google Scholar] [CrossRef]
- Radočaj, D.; Šiljeg, A.; Marinović, R.; Jurišić, M. State of major vegetation indices in precision agriculture studies indexed in web of science: A review. Agriculture 2023, 13, 707. [Google Scholar] [CrossRef]
- Barboza, T.O.C.; Ardigueri, M.; Souza, G.F.C.; Ferraz, M.A.J.; Gaudencio, J.R.F.; Santos, A.F.D. Performance of vegetation indices to estimate green biomass accumulation in Common Bean. AgriEngineering 2023, 5, 840–854. [Google Scholar] [CrossRef]
- Martins, R.N.; Pinto, F.D.A.C.; Queiroz, D.M.; Valente, D.S.M.; Rosas, J.T.F. A novel vegetation index for coffee ripeness monitoring using aerial imagery. Remote Sens. 2021, 13, 263. [Google Scholar] [CrossRef]
- Junges, A.H.; Fontana, D.C.; Anzanello, R.; Bremm, C. Normalized difference vegetation index obtained by ground-based remote sensing to characterize vine cycle in Rio Grande do Sul, Brazil. Cienc. Agrotecnol. 2017, 41, 543–553. [Google Scholar] [CrossRef]
- Aguilar, C.; Zinnert, J.C.; Polo, M.J.; Young, D.R. NDVI as an indicator for changes in water availability to woody vegetation. Ecol. Indic. 2012, 23, 290–300. [Google Scholar] [CrossRef]
- Cunha, A.P.M.; Alvalá, R.C.; Nobre, C.A.; Carvalho, M.A. Monitoring vegetative drought dynamics in the Brazilian semiarid region. Agric. For. Meteorol. 2015, 214, 494–505. [Google Scholar] [CrossRef]
- Rouse, J.W.; Haas, R.H.; Schell, J.A.; Deering, D.W. Monitoring vegetation systems in the Great Plains with ERTS. NASA Spec. Publ. 1974, 351, 309. [Google Scholar]
- Jones, H.G.; Vaughan, R.A. Remote Sensing of Vegetation: Principles, Techniques and Applications; Oxford University Press: Cary, NC, USA, 2010. [Google Scholar]
- Baluja, J.; Diago, M.P.; Balda, P.; Zorer, R.; Meggio, F.; Morales, F.; Tardaguila, J. Assessment of vineyard water status variability by thermal and multispectral imagery using an unmanned aerial vehicle (UAV). Irrig. Sci. 2012, 30, 511–522. [Google Scholar] [CrossRef]
- Zarco-Tejada, P.; González-Dugo, V.; Berni, J.A. Fluorescence, temperature and narrow-band indices acquired from a UAV platform for water stress detection using a micro-hyperspectral imager and a thermal camera. Remote Sens. Environ. 2012, 117, 322–337. [Google Scholar] [CrossRef]
- Zarco-Tejada, P.J.; Guillén-Climent, M.L.; Hernández-Clemente, R.; Catalina, A.; González, M.R.; Martín, P. Estimating leaf carotenoid content in vineyards using high resolution hyperspectral imagery acquired from an unmanned aerial vehicle (UAV). Agric. For. Meteorol. 2013, 171, 281–294. [Google Scholar] [CrossRef]
- Haboudane, D.; Miller, J.R.; Tremblay, N.; Zarco-Tejada, P.J.; Dextraze, L. Dextraze Integrated narrow-band vegetation indices for prediction of crop chlorophyll content for application to precision agriculture. Remote Sens. Environ. 2002, 81, 416–426. [Google Scholar] [CrossRef]
- Wu, W. The generalized difference vegetation index (GDVI) for dryland characterization. Remote Sens. 2014, 6, 1211–1233. [Google Scholar] [CrossRef]
- Dash, J.; Curran, P.J. The MERIS terrestrial chlorophyll index. Int. J. Remote Sens. 2004, 25, 5403–5413. [Google Scholar] [CrossRef]
- Barbosa, B.D.S.; Ferraz, G.A.S.; Santos, L.M.; Marin, D.B.; Rossi, G.; Conti, L. Application of RGB Images Obtained by UAV in Coffee Farming. Remote Sens. 2021, 13, 2397. [Google Scholar] [CrossRef]
- Bento, N.L.; Ferraz, G.A.S.; Barata, R.A.P.; Soares, D.V.; Santos, L.; MSantana, L.S.; Ferraz, P.F.P.; Conti, L.; Palchetti, E. Characterization of Recently Planted Coffee Cultivars from Vegetation Indices Obtained by a Remotely Piloted Aircraft System. Remote Sens. 2022, 14, 1446. [Google Scholar] [CrossRef]
- Chedid, V.; Cortez, J.W.; Arcoverde, S.N. Monitoring the vegetative state of coffee using vegetation indices. Eng. Agric. 2024, 44, e20220212. [Google Scholar] [CrossRef]
- Barata, R.A.P.; Ferraz, G.A.S.; Bento, N.L.; Santana, L.S.; Marin, D.B.; Mattos, D.G.; Schwerz, F.; Rossi, G.; Conti, L.; Bambi, G. UAV-Based Vegetation Indices to Evaluate Coffee Response after Transplanting Seedlings Grown in Different Containers. Remote Sens. 2024, 14, 356. [Google Scholar] [CrossRef]
- Martello, M.; Molin, J.P.; Bazame, H.C.; Tavares, T.R.; Maldaner, L.F. Use of Active Sensors in Coffee Cultivation for Monitoring Crop Yield. Agronomy 2022, 12, 2118. [Google Scholar] [CrossRef]
- Alvares, C.A.; Stape, J.L.; Sentelhas, P.C.; Gonçalves, J.D.M.; Sparovek, G. Köppen’s climate classification map for Brazil. Meteorol. Z. 2013, 22, 711–728. [Google Scholar] [CrossRef]
- Soil Survey Staff. Soil Survey Laboratory Methods Manual; Soil Survey Investigations Report no. 42, Version 5.0; Burt, R., Soil Survey Staff, Eds.; Natural Resources Conservation Service, US Department of Agriculture: Washington, DC, USA, 2014. [Google Scholar]
- Silva, P.C.D.; Junior, W.Q.R.; Ramos, M.L.G.; Rocha, O.C.; Veiga, A.D.; Silva, N.H.; Brasileiro, L.O.; Santana, C.C.; Soares, G.F.; Malaquias, J.V.; et al. Physiological changes of Arabica coffee under different intensities and durations of water stress in the Brazilian Cerrado. Plants 2022, 11, 2198. [Google Scholar] [CrossRef]
- Rakocevic, M.; dos Santos Scholz, M.B.; Pazianotto, R.A.A.; Matsunaga, F.T.; Ramalho, J.C. Variation in yield, berry distribution and chemical attributes of coffea arabica beans among the canopy strata of four genotypes cultivated under contrasted water regimes. Horticulturae 2023, 9, 215. [Google Scholar] [CrossRef]
- Carvalho, C.H.S.; Bartelega, L.; Sera, G.H.; Matiello, J.B.; Almeida, S.R.; Santinato, F.; Hotz, A.L. Catálogo de Cultivares de Café Arábica. 2022. Available online: http://www.sbicafe.ufv.br/handle/123456789/14330 (accessed on 20 January 2024).
- Embrapa–Empresa Brasileira de Pesquisa Agropecuária. Monitoramento de Irrigação no Cerrado. 2017. Available online: http://hidro.cpac.embrapa.br (accessed on 7 November 2024).
- Guerra, A.F.; Rocha, O.C.; Rodrigues, G.C.; Sanzonowicz, C.; Ribeiro Filho, G.C.; Toledo, P.D.R.; Ribeiro, L.F. Sistema de produção de café irrigado: Um novo enfoque. Item 2007, 73, 52–61. [Google Scholar]
- Monteith, J.L. Evaporation and environment. In Symposia of the Society for Experimental Biology; Cambridge University Press (CUP): Cambridge, UK, 1965; Volume 19, pp. 205–234. [Google Scholar]
- Westoby, M.J.; Brasington, J.; Glasser, N.F.; Hambrey, M.J.; Reynoldsj, M. Structure-from-Motion photogrammetry: A low-cost, effective tool for geoscience applications. Geomorphology 2012, 179, 300–314. [Google Scholar] [CrossRef]
- Olivetti, D.; Roig, H.; Martinez, J.-M.; Borges, H.; Ferreira, A.; Casari, R.; Salles, L.; Malta, E. Low-Cost Unmanned Aerial Multispectral Imagery for Siltation Monitoring in Reservoirs. Remote Sens. 2020, 12, 1855. [Google Scholar] [CrossRef]
- Rondeaux, G.; Steven, M.; Baret, F. Optimization of soil-adjusted vegetation indices. Remote Sens. Environ. 1996, 55, 95–107. [Google Scholar] [CrossRef]
- Daughtry, C.S.; Walthall, C.L.; Kim, M.S.; De Colstoun, E.B.; McMurtrey Iii, J.E. Estimating corn leaf chlorophyll concentration from leaf and canopy reflectance. Remote Sens. Environ. 2000, 74, 229–239. [Google Scholar] [CrossRef]
- Gitelson, A.A.; Merzlyak, M.N. Remote estimation of chlorophyll content in higher plant leaves. Int. J. Remote Sens. 1997, 18, 2691–2697. [Google Scholar] [CrossRef]
- Gitelson, A.A.; Kaufman, Y.J.; Merzlyak, M.N. Use of a green channel in remote sensing of global vegetation from EOS-MODIS. Remote Sens. Environ. 1996, 58, 289–298. [Google Scholar] [CrossRef]
- Silva, P.C.D.; Joaquim, M.S.; Ramos, M.L.G.; Ribeiro Júnior, W.Q.; Veiga, A.D. Economic viability of irrigated coffee with different water regimes in the Cerrado. Rev. Bras. Econ. Soc. Rural 2024, 62, e283067. [Google Scholar] [CrossRef]
- Aswathi, K.P.R.; Kalaji, H.M.; Puthur, J.T. Seed priming of plants aiding in drought stress tolerance and faster recovery: A review. Plant Growth Regul. 2022, 97, 235–253. [Google Scholar] [CrossRef]
- Ramasamy, G.; Bisen, P.; Chourasia, K.N. Resistance/Tolerance Mechanism under Water stress (Drought) Condition in Plants. Int. J. Current Microbiol. Appl. Sci. 2017, 6, 66–78. [Google Scholar]
- Xue, J.; Su, B. Significant remote sensing vegetation indices: A review of developments and applications. J. Sens. 2017, 2017, 1353691. [Google Scholar] [CrossRef]
- Mbatha, N.; Xulu, S. Time series analysis of MODIS-Derived NDVI for the Hluhluwe-Imfolozi Park, South Africa: Impact of recent intense drought. Climate 2018, 6, 95. [Google Scholar] [CrossRef]
- Nanzad, L.; Zhang, J.; Tuvdendorj, B.; Nabil, M.; Zhang, S.; Bai, Y. NDVI anomaly for drought monitoring and its correlation with climate factors over Mongolia from 2000 to 2016. J. Arid Environ. 2019, 164, 69–77. [Google Scholar] [CrossRef]
- Fensholt, R.; Nielsen, T.T.; Stisen, S. Evaluation of AVHRR PAL and GIMMS 10-day composite NDVI time series products using SPOT-4 vegetation data for the African continent. Int. J. Remote Sens. 2006, 27, 2719–2733. [Google Scholar] [CrossRef]
- Santos, L.M.; Ferraz, G.A.S.; Diotto, A.V.; Barbosa, B.D.S.; Maciel, D.T.; Andrade, M.T.; Ferraz, P.F.P.; Rossi, G. Coffee coefficient prediction as a function of biophysical variables identified from RGB UAS images. Agron. Res. 2020, 18, 1463–1471. [Google Scholar]
- Hunt, E.R.; Rock, B.N. Detection of changes in leaf water content using near- and middle-infrared reflectances. Remote Sens. Environ. 1989, 30, 43–54. [Google Scholar]
- Gago, J.; Douthe, C.; Coopman, R.E.; Gallego, P.P.; Ribas-Carbo, M.; Flexas, J.; Escalona, J.; Medrano, H. UAVs challenge to assess water stress for sustainable agriculture. Agric. Water Manag. 2015, 153, 9–19. [Google Scholar] [CrossRef]
- Sobejano-Paz, V.; Mikkelsen, T.N.; Baum, A.; Mo, X.; Liu, S.; Köppl, C.J.; Johson, M.S.; Gulyas, L.; García, M. Hyperspectral and thermal sensing of stomatal conductance, transpiration and photosynthesis for soybean and maize under drought. Remote Sens. 2020, 12, 3182. [Google Scholar] [CrossRef]
- Bernardes, T.; Moreira, M.A.; Adami, M.; Giarolla, A.; Rudorff, B.F.T. Monitoring Biennial Bearing Effect on coffee yield using MODIS Remote Sensing Imagery. Remote Sens. 2012, 4, 2492–2509. [Google Scholar] [CrossRef]
- Kath, J.; Byrareddy, V.M.; Mushtaq, S.; Craparo, A.; Porcel, M. Temperature and rainfall impacts on robusta coffee bean characteristics. Clim. Risk Manag. 2021, 32, 100281. [Google Scholar] [CrossRef]
- Fabri, T.M.P.; de Mello, G.M.; Ferrari, J.L.; Peluzio, J.B.E.; Souza, M.N. Comportamento de índices de crescimento em cafeeiros utilizando sensor multiespectral em aeronave remotamente pilotada. Rev. Ifes Cienc. 2023, 9, 1–15. [Google Scholar]
- Ballester, M.A.; Jimenez-Bello, J.R.; Castel, D.S. Intrigliolo Usefulness of thermography for plant water stress detection in citrus and persimmon trees. Agric. For. Meteorol. 2013, 168, 120–129. [Google Scholar] [CrossRef]
- Silva, P.C.; Ribeiro Junior, W.Q.; Ramos, M.L.G.; Celestino, S.M.C.; Silva, A.D.N.; Casari, R.A.D.C.N.; Vinson, C.C. Quinoa for the Brazilian Cerrado: Agronomic characteristics of elite genotypes under different water regimes. Plants 2021, 10, 1591. [Google Scholar] [CrossRef] [PubMed]
- Maes, W.H.; Steppe, K. Estimating evapotranspiration and drought stress with ground-based thermal remote sensing in agriculture: A review. J. Exp. Bot. 2012, 63, 4670–4712. [Google Scholar] [CrossRef] [PubMed]









| MicaSense Altum® Camera | |
|---|---|
| Manufacturer | Ag Eagle (Micasense), North Wichita, KS, USA |
| Weight | 231.9 g |
| Size | 8.3 cm × 5.9 cm × 4.54 cm |
| Spectral band Wavelength (nm) | Blue (475 nm wavelength, 32 nm bandwidth) |
| Green (560 nm wavelength, 27 nm bandwidth) | |
| Red (668 nm wavelength, 16 nm bandwidth) | |
| Rededge (717 nm wavelength, 10 nm bandwidth) | |
| NIR (840 nm wavelength, 40 nm bandwidth) | |
| Sensor Resolution | 1.228 MP per band (1280 × 960 pixels) |
| Field of View (FOV) | 47.2 degrees horizontal; 35.4 degrees vertical |
| Camera FLIR Duo Pro® | |
|---|---|
| Weight | 325 g |
| Size | 85 mm × 81.3 mm × 68.5 mm (3.35 in) × 3.20 in × 2.70 in |
| Spectral band | 7.5–13.5 µm |
| Sensitivity | <50 mK |
| Sensor Resolution | 336 × 256 pixels |
| Field of View (FOV) | 56° × 45° |
| Camera Parrot Sequoia® | |
|---|---|
| Manufacturer | Ag Eagle (Micasense), North Wichita, KS, USA |
| Weight | 72 g |
| Size | 2.9 cm × 5.9 cm × 4.1 cm. |
| Spectral band Wavelength (nm) | Green (550 nm wavelength, 40 nm bandwidth) |
| Red (660 nm wavelength, 40 nm bandwidth) | |
| Rededge (735 nm wavelength, 10 nm bandwidth) | |
| Near Infrared (790 nm wavelength, 40 nm bandwidth) | |
| Sensor Resolution | 1.228 MP per band (1280 × 960 pixels) |
| Field of View (FOV) | 70° HFOV |
| Indices | Equation | References |
|---|---|---|
| NDVI | Rouse et al. [28] | |
| OSAVI | Rondeaux et al. [51] | |
| MCARI | Daughtry et al. [52] | |
| TCARI | Haboudane et al. [33] | |
| NDRE | Gitelson and Merzlyak [53] | |
| GNDVI | Gitelson et al. [54] | |
| GDVI | Wu [34] | |
| MTCI | Dash and Curran [35] |
Disclaimer/Publisher’s Note: The statements, opinions and data contained in all publications are solely those of the individual author(s) and contributor(s) and not of MDPI and/or the editor(s). MDPI and/or the editor(s) disclaim responsibility for any injury to people or property resulting from any ideas, methods, instructions or products referred to in the content. |
© 2024 by the authors. Licensee MDPI, Basel, Switzerland. This article is an open access article distributed under the terms and conditions of the Creative Commons Attribution (CC BY) license (https://creativecommons.org/licenses/by/4.0/).
Share and Cite
da Silva, P.C.; Ribeiro Junior, W.Q.; Ramos, M.L.G.; Lopes, M.F.; Santana, C.C.; Casari, R.A.d.C.N.; Brasileiro, L.d.O.; Veiga, A.D.; Rocha, O.C.; Malaquias, J.V.; et al. Multispectral Images for Drought Stress Evaluation of Arabica Coffee Genotypes Under Different Irrigation Regimes. Sensors 2024, 24, 7271. https://doi.org/10.3390/s24227271
da Silva PC, Ribeiro Junior WQ, Ramos MLG, Lopes MF, Santana CC, Casari RAdCN, Brasileiro LdO, Veiga AD, Rocha OC, Malaquias JV, et al. Multispectral Images for Drought Stress Evaluation of Arabica Coffee Genotypes Under Different Irrigation Regimes. Sensors. 2024; 24(22):7271. https://doi.org/10.3390/s24227271
Chicago/Turabian Styleda Silva, Patrícia Carvalho, Walter Quadros Ribeiro Junior, Maria Lucrecia Gerosa Ramos, Maurício Ferreira Lopes, Charles Cardoso Santana, Raphael Augusto das Chagas Noqueli Casari, Lemerson de Oliveira Brasileiro, Adriano Delly Veiga, Omar Cruz Rocha, Juaci Vitória Malaquias, and et al. 2024. "Multispectral Images for Drought Stress Evaluation of Arabica Coffee Genotypes Under Different Irrigation Regimes" Sensors 24, no. 22: 7271. https://doi.org/10.3390/s24227271
APA Styleda Silva, P. C., Ribeiro Junior, W. Q., Ramos, M. L. G., Lopes, M. F., Santana, C. C., Casari, R. A. d. C. N., Brasileiro, L. d. O., Veiga, A. D., Rocha, O. C., Malaquias, J. V., Souza, N. O. S., & Roig, H. L. (2024). Multispectral Images for Drought Stress Evaluation of Arabica Coffee Genotypes Under Different Irrigation Regimes. Sensors, 24(22), 7271. https://doi.org/10.3390/s24227271

