Fast and Smart State Characterization of Large-Format Lithium-Ion Batteries via Phased-Array Ultrasonic Sensing Technology
Abstract
1. Introduction
- (1)
- The mechanism of ultrasonic wave characterization of battery states is analyzed. Key feature parameters are extracted from the ultrasonic data and combined with a fully connected neural network model, and the model is trained to obtain a high-precision battery SOC estimation model.
- (2)
- Finite element modeling is conducted to simulate and analyze the ultrasonic transmission characteristics of large-format aluminum-shell batteries and the impact of gas on ultrasonic signals.
- (3)
- Battery experiments are performed to obtain phased array ultrasonic imaging data during normal charging and discharging processes, as well as during overcharging and overdischarging abuse scenarios. The evolution patterns of ultrasonic signals during battery state changes are analyzed. Furthermore, a comparison with simulation data is made, revealing for the first time the composition of ultrasonic signals in aluminum-shell batteries.
- (4)
- On the basis of the results of the simulation and experimental analysis, the evolution process of ultrasonic signals during battery abuse is analyzed, and key feature parameters are extracted from the raw data to characterize the battery state change process, laying the foundation for battery fault diagnosis.
2. Methods
2.1. Mechanism of Ultrasonic Monitoring for SOC Variation and Fault Detection in Batteries
2.2. The Time-Delay Focusing Principle of Phased Array Ultrasonics
2.3. State Estimation Methods for Batteries
3. Modeling and Simulation
3.1. Ultrasonic Propagation Model in Batteries
3.2. Simulation of Ultrasonic Transmission
3.2.1. Simulation Settings for Different SOCs of the Battery
3.2.2. Simulation Settings for Internal Gas in the Battery
4. Experiments
4.1. Experimental Platform and Equipment
4.2. Ultrasonic Data Analysis and Processing
5. Results and Discussion
5.1. Simulation Results
5.2. Experimental Results
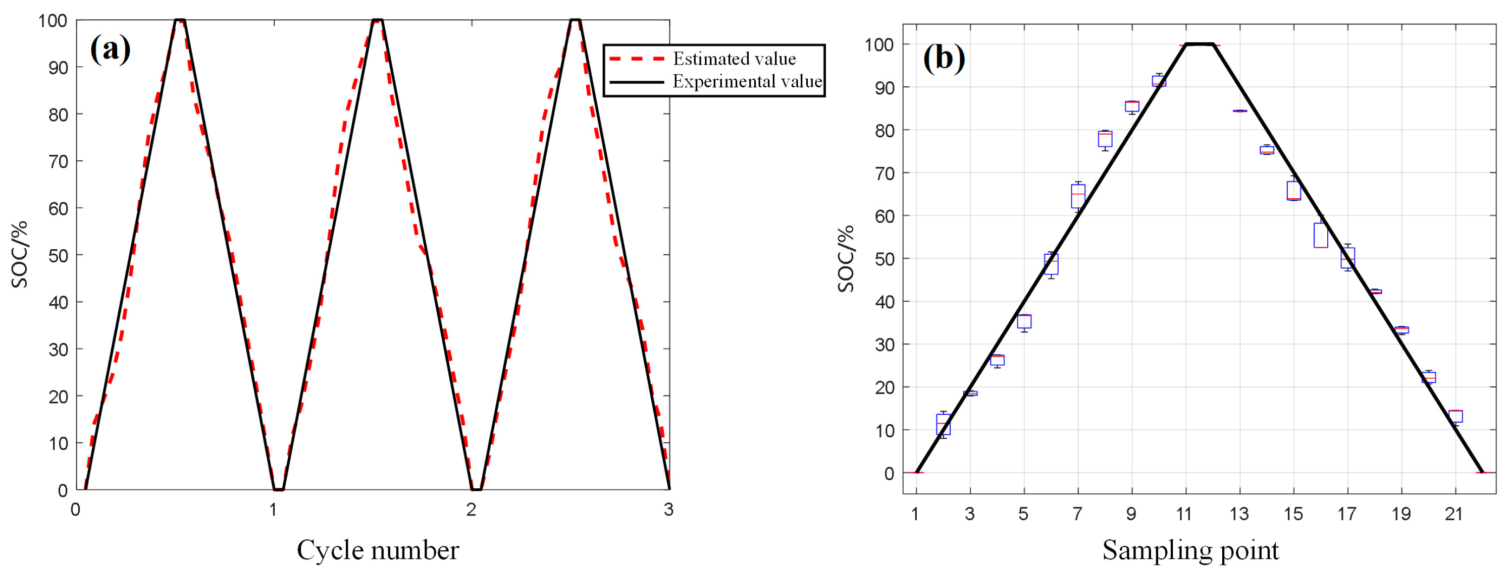
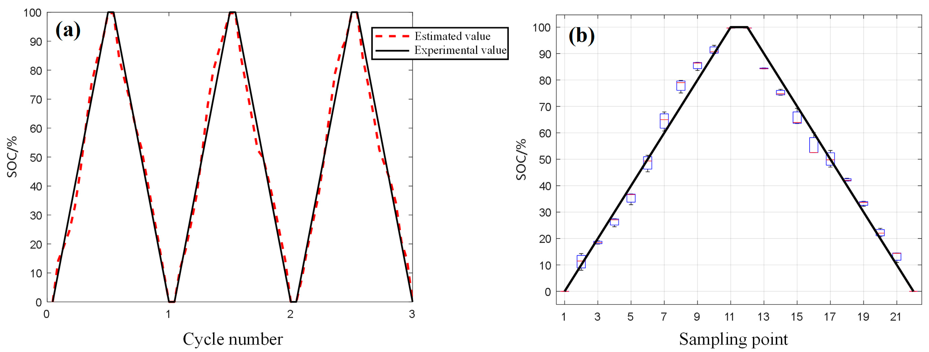
5.2.1. Battery State Estimation Results
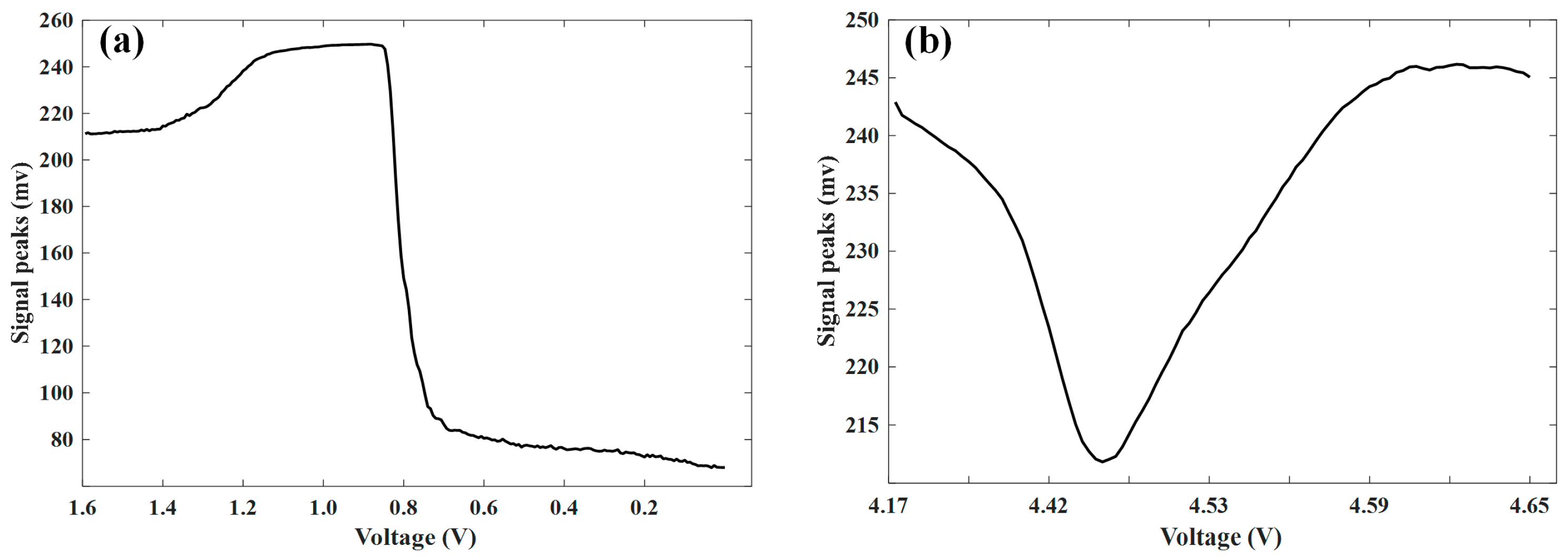
5.2.2. Phased Array Ultrasonic Testing Results During Overcharging and Overdischarging
6. Conclusions
Author Contributions
Funding
Institutional Review Board Statement
Informed Consent Statement
Data Availability Statement
Conflicts of Interest
References
- Lu, Z.; Yu, X.L.; Cao, F.; Zhang, L.Y.; Meng, X.Z.; Jin, L.W. A Comprehensive Experimental Study on Temperature-Dependent Performance of Lithium-Ion Battery. Appl. Therm. Eng. 2019, 158, 113800. [Google Scholar] [CrossRef]
- Hannan, M.A.; Lipu, M.S.H.; Hussain, A.; Mohamed, A. A Review of Lithium-Ion Battery State of Charge Estimation and Management System in Electric Vehicle Applications: Challenges and Recommendations. Renew. Sustain. Energy Rev. 2017, 78, 834–854. [Google Scholar] [CrossRef]
- Peng, S.; Zhu, J.; Wu, T.; Tang, A.; Kan, J.; Pecht, M. SOH Early Prediction of Lithium-Ion Batteries Based on Voltage Interval Selection and Features Fusion. Energy 2024, 308, 132993. [Google Scholar] [CrossRef]
- Helander, H.; Ljunggren, M. Battery as a Service: Analysing Multiple Reuse and Recycling Loops. Resour. Conserv. Recycl. 2023, 197, 107091. [Google Scholar] [CrossRef]
- Zhu, L.; Yao, X.; Su, B.; Ang, B.W.; Hao, H.; Zhou, P.; Wang, S. Reusing Vehicle Batteries Can Power Rural China While Contributing to Multiple SDGs. Cell Rep. Sustain. 2024, 1, 100060. [Google Scholar] [CrossRef]
- Peng, S.; Miao, Y.; Xiong, R.; Bai, J.; Cheng, M.; Pecht, M. State of Charge Estimation for a Parallel Battery Pack Jointly by Fuzzy-PI Model Regulator and Adaptive Unscented Kalman Filter. Appl. Energy 2024, 360, 122807. [Google Scholar] [CrossRef]
- Doyle, M.; Fuller, T.F.; Newman, J. Modeling of Galvanostatic Charge and Discharge of the Lithium/Polymer/Insertion Cell. J. Electrochem. Soc. 1993, 140, 1526–1533. [Google Scholar] [CrossRef]
- Guo, D.; Yang, G.; Feng, X.; Han, X.; Lu, L.; Ouyang, M. Physics-Based Fractional-Order Model with Simplified Solid Phase Diffusion of Lithium-Ion Battery. J. Energy Storage 2020, 30, 101404. [Google Scholar] [CrossRef]
- Zhu, G.; Kong, C.; Wang, J.V.; Kang, J.; Wang, Q.; Qian, C. A Fractional-Order Electrochemical Lithium-Ion Batteries Model Considering Electrolyte Polarization and Aging Mechanism for State of Health Estimation. J. Energy Storage 2023, 72, 108649. [Google Scholar] [CrossRef]
- Cho, S.; Jeong, H.; Han, C.; Jin, S.; Lim, J.H.; Oh, J. State-of-Charge Estimation for Lithium-Ion Batteries under Various Operating Conditions Using an Equivalent Circuit Model. Comput. Chem. Eng. 2012, 41, 1–9. [Google Scholar] [CrossRef]
- Wang, J.; Yu, W.; Cheng, G.; Chen, L. Identification of Fractional-Order Equivalent Circuit Model of Lithium-Ion Battery for Improving Estimation of State of Charge. J. Energy Storage 2023, 70, 108043. [Google Scholar] [CrossRef]
- Saw, L.H.; Somasundaram, K.; Ye, Y.; Tay, A.A.O. Electro-Thermal Analysis of Lithium Iron Phosphate Battery for Electric Vehicles. J. Power Sources 2014, 249, 231–238. [Google Scholar] [CrossRef]
- Sun, Y.; Liu, F.; Qin, W.; Li, J.; Cheng, X.; Zeng, J. Dynamic Internal Resistance Modeling and Thermal Characteristics of Lithium-Ion Batteries for Electric Vehicles by Considering State of Health. J. Power Sources 2024, 612, 234806. [Google Scholar] [CrossRef]
- Li, R.; Li, W.; Singh, A.; Ren, D.; Hou, Z.; Ouyang, M. Effect of External Pressure and Internal Stress on Battery Performance and Lifespan. Energy Storage Mater. 2022, 52, 395–429. [Google Scholar] [CrossRef]
- Kim, K.; Lee, G.; Chun, H.; Baek, J.; Pyeon, H.; Kim, M.; Han, S. Electrochemical–Mechanical Coupled Model for Computationally Efficient Prediction of Long-Term Capacity Fade of Lithium-Ion Batteries. J. Energy Storage 2024, 86, 111224. [Google Scholar] [CrossRef]
- Wang, Q.-K.; He, Y.-J.; Shen, J.-N.; Ma, Z.-F.; Zhong, G.-B. A Unified Modeling Framework for Lithium-Ion Batteries: An Artificial Neural Network Based Thermal Coupled Equivalent Circuit Model Approach. Energy 2017, 138, 118–132. [Google Scholar] [CrossRef]
- Chen, J.; Zhang, Y.; Wu, J.; Cheng, W.; Zhu, Q. SOC Estimation for Lithium-Ion Battery Using the LSTM-RNN with Extended Input and Constrained Output. Energy 2023, 262, 125375. [Google Scholar] [CrossRef]
- Wang, Y.; Lai, X.; Chen, Q.; Han, X.; Lu, L.; Ouyang, M.; Zheng, Y. Progress and Challenges in Ultrasonic Technology for State Estimation and Defect Detection of Lithium-Ion Batteries. Energy Storage Mater. 2024, 69, 103430. [Google Scholar] [CrossRef]
- Tian, Y.; Yang, S.; Zhang, R.; Tian, J.; Li, X. State of Charge Estimation of Lithium-Ion Batteries Based on Ultrasonic Guided Waves by Chirped Signal Excitation. J. Energy Storage 2024, 84, 110897. [Google Scholar] [CrossRef]
- Wang, H.; Ke, H.; Chen, Y.; Wang, J.; Yan, F.; Cui, X. Promotion of Interface Fusion of Solid Polymer Electrolyte and Cathode by Ultrasonic Vibration. Sensors 2022, 22, 1814. [Google Scholar] [CrossRef]
- Zhang, R.; Li, X.; Sun, C.; Yang, S.; Tian, Y.; Tian, J. State of Charge and Temperature Joint Estimation Based on Ultrasonic Reflection Waves for Lithium-Ion Battery Applications. Batteries 2023, 9, 335. [Google Scholar] [CrossRef]
- Sood, B.; Osterman, M.; Pecht, M. Health Monitoring of Lithium-Ion Batteries. In Proceedings of the 2013 IEEE Symposium on Product Compliance Engineering (ISPCE), Austin, TX, USA, 7–9 October 2013; pp. 1–6. [Google Scholar]
- Hsieh, A.G.; Bhadra, S.; Hertzberg, B.J.; Gjeltema, P.J.; Goy, A.; Fleischer, J.W.; Steingart, D.A. Electrochemical-Acoustic Time of Flight: In Operando Correlation of Physical Dynamics with Battery Charge and Health. Energy Environ. Sci. 2015, 8, 1569–1577. [Google Scholar] [CrossRef]
- Gold, L.; Bach, T.; Virsik, W.; Schmitt, A.; Müller, J.; Staab, T.E.M.; Sextl, G. Probing Lithium-Ion Batteries’ State-of-Charge Using Ultrasonic Transmission—Concept and Laboratory Testing. J. Power Sources 2017, 343, 536–544. [Google Scholar] [CrossRef]
- Copley, R.J.; Cumming, D.; Wu, Y.; Dwyer-Joyce, R.S. Measurements and Modelling of the Response of an Ultrasonic Pulse to a Lithium-Ion Battery as a Precursor for State of Charge Estimation. J. Energy Storage 2021, 36, 102406. [Google Scholar] [CrossRef]
- Li, X.; Hua, W.; Wu, C.; Zheng, S.; Tian, Y.; Tian, J. State Estimation of a Lithium-Ion Battery Based on Multi-Feature Indicators of Ultrasonic Guided Waves. J. Energy Storage 2022, 56, 106113. [Google Scholar] [CrossRef]
- Deng, Z.; Huang, Z.; Shen, Y.; Huang, Y.; Ding, H.; Luscombe, A.; Johnson, M.; Harlow, J.E.; Gauthier, R.; Dahn, J.R. Ultrasonic Scanning to Observe Wetting and “Unwetting” in Li-Ion Pouch Cells. Joule 2020, 4, 2017–2029. [Google Scholar] [CrossRef]
- Li, X.; Yu, X.; Tian, Y.; Tian, J.; Xiong, R. Battery State Characterization Based on a Contactless Electromagnetic Ultrasound Testing Method. J. Energy Storage 2024, 100, 113499. [Google Scholar] [CrossRef]
- Li, H.; Zhou, Z. Numerical Simulation and Experimental Study of Fluid-Solid Coupling-Based Air-Coupled Ultrasonic Detection of Stomata Defect of Lithium-Ion Battery. Sensors 2019, 19, 2391. [Google Scholar] [CrossRef]
- Cho, H.; Kil, E.; Jang, J.; Kang, J.; Song, I.; Yoo, Y. Air-Coupled Ultrasound Sealing Integrity Inspection Using Leaky Lamb Waves in a Simplified Model of a Lithium-Ion Pouch Battery: Feasibility Study. Sensors 2022, 22, 6718. [Google Scholar] [CrossRef]
- Li, X.; Wu, C.; Fu, C.; Zheng, S.; Tian, J. State Characterization of Lithium-Ion Battery Based on Ultrasonic Guided Wave Scanning. Energies 2022, 15, 6027. [Google Scholar] [CrossRef]
- Xu, W.; Yang, Y.; Shi, F.; Li, L.; Wen, F.; Chen, Q. Ultrasonic Phased Array Imaging of Gas Evolution in a Lithium-Ion Battery. Cell Rep. Phys. Sci. 2023, 4, 101579. [Google Scholar] [CrossRef]
- Zhang, B.; Lyu, Y.; Gao, J.; Song, G.; Zheng, Y.; Lee, Y.; He, C. Ultrasonic Characterization of Multi-Layered Porous Lithium-Ion Battery Structure for State of Charge. Ultrasonics 2023, 134, 107060. [Google Scholar] [CrossRef] [PubMed]
- Zhang, B.; Lyu, Y.; Gao, J.; Song, G.; Lee, Y.; He, C.; Song, W.; Chen, H. Ultrasonic Reflection/Transmission Characteristics for State of Charge of Li-Ion Battery. Appl. Acoust. 2023, 214, 109687. [Google Scholar] [CrossRef]
- Wu, C.; Xu, G.; Shan, Y.; Fan, X.; Zhang, X.; Liu, Y. Defect Detection Algorithm for Wing Skin with Stiffener Based on Phased-Array Ultrasonic Imaging. Sensors 2023, 23, 5788. [Google Scholar] [CrossRef]
- Heidarian, M.; Karimi, G. Effective Full Connection Neural Network Updating Using a Quantized Full FORCE Algorithm. Appl. Soft Comput. 2023, 147, 110703. [Google Scholar] [CrossRef]
- Alonso-Blanco, R.J.; Muñoz-Díaz, J. Newton’s Second Law in Field Theory. Differ. Geom. Its Appl. 2021, 79, 101814. [Google Scholar] [CrossRef]
- Dharan, C.K.H.; Kang, B.S.; Finnie, I. Finnie’s Notes on Fracture Mechanics: Fundamental and Practical Lessons; Springer: New York, NY, USA, 2016; ISBN 978-1-4939-2476-9. [Google Scholar]
- Sánchez-Sesma, F.J.; Iturrarán-Viveros, U. Propagation of Elastic Waves: Fundamentals. In Encyclopedia of Solid Earth Geophysics; Gupta, H.K., Ed.; Encyclopedia of Earth Sciences Series; Springer International Publishing: Cham, Switzerland, 2020; pp. 1–9. ISBN 978-3-030-10475-7. [Google Scholar]
- Gao, J.; Zhang, L.; Lyu, Y.; Shi, F.; Wu, B.; He, C. Ultrasonic Guided Wave Measurement and Modeling Analysis of the State of Charge for Lithium-Ion Battery. J. Energy Storage 2023, 72, 108384. [Google Scholar] [CrossRef]
- Jafari, A.; Vahab, M.; Broumand, P.; Khalili, N. An eXtended Finite Element Method Implementation in COMSOL Multiphysics: Thermo-Hydro-Mechanical Modeling of Fluid Flow in Discontinuous Porous Media. Comput. Geotech. 2023, 159, 105458. [Google Scholar] [CrossRef]
- Han, J.; Zhu, K.; Li, P.; Li, Y. Numerical Modeling and Performance Analysis of Anode with Porous Structure for Aluminum-Air Batteries. Electrochem. Commun. 2024, 164, 107748. [Google Scholar] [CrossRef]
- Ladpli, P.; Kopsaftopoulos, F.; Chang, F.-K. Estimating State of Charge and Health of Lithium-Ion Batteries with Guided Waves Using Built-in Piezoelectric Sensors/Actuators. J. Power Sources 2018, 384, 342–354. [Google Scholar] [CrossRef]











| Materials | Sound Velocity | Density | Acoustic Impedance |
|---|---|---|---|
| Air | 0.344 | 0.0013 | 0.00044 |
| Water | 1.53 | 1.0 | 1.53 |
| LiCoO2 | 6.96 | 4.92 | 34.2432 |
| LiFeO4 | 7.36 | 2.88 | 21.20 |
| Graphite | 1.47 | 2.3 | 3.381 |
| Components | Charge% | Density | Thickness | Modulus | Poisson’s Ratio |
|---|---|---|---|---|---|
| Anode (Graphite) | 0 | 2280 | 96 | 22 | 0.32 |
| 20 | 2270 | ||||
| 40 | 2237 | ||||
| 60 | 2200 | ||||
| 80 | 2190 | ||||
| 100 | 2180 | ||||
| Separator | / | 920 | 25 | 0.5 | 0.35 |
| Cathode (Metal oxide) | 0 | 5020 | 60 | 225 | 0.32 |
| 20 | 4970 | ||||
| 40 | 4930 | ||||
| 60 | 4840 | ||||
| 80 | 4820 | ||||
| 100 | 4800 |
| Parameters Information | C0/C1 Ternary Lithium Batteries |
|---|---|
| Manufacturer | Contemporary Amperex Technology Co., Ltd. (Ningde, China) |
| Capacity | 40 Ah |
| Charging upper limit voltage | 4.2 V |
| Discharge lower limit voltage | 2.8 V |
| Cathode | Lithium nickel cobalt manganese oxide |
| Anode | Graphite |
| Length | 148 mm |
| Width | 92 mm |
| Thickness | 27 mm |
| Parameters Information | C0/C1 Ternary Lithium Batteries |
|---|---|
| Analog gain | 50 dB |
| Digital gain | 30 dB |
| Repetition rate | 25 Hz |
| Scanning type | Linear scan |
| Scanning range | 70 mm |
| Excitation voltage | 80 V |
| Pulse width | 500 ns |
| Longitudinal wave velocity | 1500 m/s |
| shear wave velocity | 1500 m/s |
| Starting element/Aperture | 1/16 |
| Angle | 0° |
| focal length | 20 mm |
| Index | Accuracy | Applicability | Cost | Scanning Mode | Speed | Radioactivity |
|---|---|---|---|---|---|---|
| PAUT | Micron | Hand-held mobile | Hundreds of thousands to millions of RMB | Electrical scanning | Fast | No |
| CUT | Sub- millimeter | Hand-held mobile | Tens of thousands of RMB | Physical scanning | Slow | No |
| XCT | Micron | Limited to laboratory tests | Millions to tens of millions of RMB | / | Moderate | Radiation protection |
Disclaimer/Publisher’s Note: The statements, opinions and data contained in all publications are solely those of the individual author(s) and contributor(s) and not of MDPI and/or the editor(s). MDPI and/or the editor(s) disclaim responsibility for any injury to people or property resulting from any ideas, methods, instructions or products referred to in the content. |
© 2024 by the authors. Licensee MDPI, Basel, Switzerland. This article is an open access article distributed under the terms and conditions of the Creative Commons Attribution (CC BY) license (https://creativecommons.org/licenses/by/4.0/).
Share and Cite
Zhou, Z.; Hua, W.; Peng, S.; Tian, Y.; Tian, J.; Li, X. Fast and Smart State Characterization of Large-Format Lithium-Ion Batteries via Phased-Array Ultrasonic Sensing Technology. Sensors 2024, 24, 7061. https://doi.org/10.3390/s24217061
Zhou Z, Hua W, Peng S, Tian Y, Tian J, Li X. Fast and Smart State Characterization of Large-Format Lithium-Ion Batteries via Phased-Array Ultrasonic Sensing Technology. Sensors. 2024; 24(21):7061. https://doi.org/10.3390/s24217061
Chicago/Turabian StyleZhou, Zihan, Wen Hua, Simin Peng, Yong Tian, Jindong Tian, and Xiaoyu Li. 2024. "Fast and Smart State Characterization of Large-Format Lithium-Ion Batteries via Phased-Array Ultrasonic Sensing Technology" Sensors 24, no. 21: 7061. https://doi.org/10.3390/s24217061
APA StyleZhou, Z., Hua, W., Peng, S., Tian, Y., Tian, J., & Li, X. (2024). Fast and Smart State Characterization of Large-Format Lithium-Ion Batteries via Phased-Array Ultrasonic Sensing Technology. Sensors, 24(21), 7061. https://doi.org/10.3390/s24217061

