Improvement of the Low-Energy Adaptive Clustering Hierarchy Protocol in Wireless Sensor Networks Using Mean Field Games
Abstract
1. Introduction
1.1. Related Works
| Algorithm | References | Year | Key Features |
|---|---|---|---|
| LEACH | [36,37] | 2000 | Uneven distribution of nodes among CHs, rotating CHs, localized data aggregation and limited network lifespan. |
| Energy-LEACH | [13] | 2009 | Considers the residual energy of nodes as the primary metric for CH selection. |
| Multihop-LEACH | [13] | 2009 | Employs multi-hop communication and selects optimal paths to reduce energy consumption and prolong the network lifetime. |
| E-LEACH | [14] | 2013 | Introduces enhancements in cluster formation and CH selection processes, extension of network lifetime and improved energy utilization. |
| V-LEACH | [15] | 2013 | Improves the lifetime of the network by introducing a vice-CH to mitigate the impact of CH failures. |
| MaximuM-LEACH | [16] | 2018 | Balanced load distribution among clusters and prolonged network lifespan. |
| LEACH-C | [17] | 2021 | Centralized approach, considers distance for CH selection and data transmission and considers active node count for CH determination. |
| ESSRA | [18] | 2022 | Sink node makes decisions about CH selection to reduce energy consumption and it considers residual energy levels and distance from CHs. |
| MFG-LEACH | This work | 2024 | Incorporates the Mean Field Games framework into the data transmission phase of LEACH to select the optimal energy for transmitting. |
1.2. Contribution
- The study focuses on enhancing the data transmission phase of the LEACH protocol by introducing the application of the MFG framework, which models the interactions among sensor nodes as a game. Each node independently optimizes its transmission energy based on the collective state of the network.
- This work introduces an MFG model that considers two network dynamics; distance and the remaining energy of the nodes. This model holds significance as the incorporation of these parameters is crucial for enhancing the performance of the LEACH protocol.
- Scalability analysis is performed in this work as the proposed technique is evaluated across different node densities.
1.3. Paper Outline
2. System Model
2.1. Network Model
2.2. LEACH Protocol
2.2.1. Setup Phase
2.2.2. Steady State Phase
2.2.3. Complexity Analysis
2.3. Problem Formulation
2.3.1. Scenario
2.3.2. Optimization Problem
2.4. Differential Game Model
2.4.1. Framework
2.4.2. Optimal Control
3. Mean Field Game (MFG) Framework
- Nodes are rational and are motivated to optimize their individual objectives.
- As the number of nodes tends to infinity, a mean field approximation is applied.
- Nodes can only observe and react to the aggregate behavior of the population.
- This aggregate behavior can be described through a distribution referred to as the mean field.
- The actions taken by nodes have an impact on the system’s overall dynamics.
Complexity Analysis
4. MFG-LEACH Protocol
4.1. LEACH vs. MFG-LEACH
4.2. Solution Analysis
| Algorithm 1: Mean Field Equilibrium |
|
5. Numerical Analysis
5.1. Simulation Setup
5.2. Node Density
5.3. Results
6. Discussion
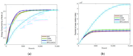
6.1. Energy Consumption Per Round
6.2. Throughput
6.3. Network Lifetime
6.4. Scalability
7. Conclusions
Author Contributions
Funding
Institutional Review Board Statement
Informed Consent Statement
Data Availability Statement
Conflicts of Interest
Appendix A
| Variable | Definition |
|---|---|
| Probability threshold of becoming a CH | |
| P | Percentage of nodes designated to become CHs |
| r | Current round number |
| Energy expended by node k during transmission | |
| Node electronics energy | |
| Energy required for amplification of a signal in open space | |
| Energy required for amplification of a signal in multi-path model | |
| m | Size of packet |
| d | Distance from a transmitter (node or CH) |
| Predefined threshold distance | |
| Signal-to-interference plus noise ratio (SINR) | |
| SINR threshold | |
| Lower bound on | |
| Upper bound on | |
| Remaining battery energy | |
| Mean field | |
| Indicator function |
References
- Sharma, S.; Kaur, A. Survey on Wireless Sensor Network, Its Applications and Issues. J. Phys. Conf. Ser. 2021, 19, 012042. [Google Scholar] [CrossRef]
- Bensaleh, M.S.; Saida, R.; Kacem, Y.H.; Abid, M. Wireless Sensor Network Design Methodologies: A Survey. J. Sens. 2020, 20, 9592836. [Google Scholar] [CrossRef]
- Del-Valle-Soto, C.; Mex-Perera, C. Wireless Sensor Network Energy Model and its Use in The Optimization of Routing Protocols. Energies 2020, 13, 728. [Google Scholar] [CrossRef]
- Singh, M.K.; Amin, S.I. A Survey of Wireless Sensor Network and its Types. In Proceedings of the 2018 International Conference on Advances in Computing, Communication Control and Networking (ICACCCN), Greater Noida, India, 12–13 October 2018; pp. 326–330. [Google Scholar]
- Onuekwusia, N.C.; Okpara, C.R. Wireless Sensor Networks (WSN): An Overview. Am. Sci. Res. J. Eng. Technol. Sci. 2020, 64, 53–63. [Google Scholar]
- Kandris, D.; Nakas, C.; Vomvas, D. Applications of Wireless Sensor Networks: An Up-to-Date Survey. Appl. Syst. Innov. 2020, 3, 14. [Google Scholar] [CrossRef]
- Tsvetanov, F.; Georgieva, I. Modeling of Energy Consumption of Sensor Nodes. In Proceedings of the 2020 43rd International Convention on Information, Communication and Electronic Technology (MIPRO), Opatija, Croatia, 28 September–2 October 2020; pp. 431–436. [Google Scholar]
- Boban, M.; Uroš, V. Energy Efficiency Improvement of Wireless Sensor Networks in the Digital Age. In Proceedings of the 2024 47th MIPRO ICT and Electronics Convention (MIPRO), Opatija, Croatia, 20–24 May 2024; pp. 1076–1080. [Google Scholar]
- Kandris, D.; Anastasiadis, E. Advanced Wireless Sensor Networks: Applications, Challenges and Research Trends. Electronics 2024, 13, 2268. [Google Scholar] [CrossRef]
- Tang, M.; Xin, Y.; Zhai, J. Efficient Rate and Power Allocation in Wireless Sensor Networks with Big Data Constraint. Optik 2021, 64, 3458–3469. [Google Scholar] [CrossRef]
- Abidin, H.Z.; Din, N.M. A Review on Sensor Node Placement Techniques in Wireless Sensor Networks. Int. J. Adv. Sci. Eng. Inf. Technol. 2017, 7, 190–197. [Google Scholar] [CrossRef]
- Vellaiyan, S.; N, V. A Comparative Analysis of Energy Consumption in Various Wireless Sensor Network Techniques. Int. Res. J. Multidiscip. Technovation 2024, 2, 100–107. [Google Scholar] [CrossRef]
- Bani Yassein, M.; Al-zou’bi, A.; Khamayseh, Y. Improvement on LEACH protocol of Wireless Sensor Network (VLEACH). Int. J. Digit. Content Technol. Its Appl. 2009, 3, 132–136. [Google Scholar]
- Zhao, Z.; Li, G.; Xu, M. An Improved Algorithm Based on LEACH Routing Protocol. In Proceedings of the 2019 IEEE 19th International Conference on Communication Technology (ICCT), Xi’an, China, 16–19 October 2019; pp. 1248–1251. [Google Scholar]
- Ma, X.W.; Yu, X. Improvement on LEACH Protocol of Wireless Sensor Network. Appl. Mech. Mater. 2013, 347, 1738–1742. [Google Scholar] [CrossRef]
- Salem, A.A. A Modified Leach Routing Algorithm for Increasing Lifetime of the Wireless Sensor Network. J. Inf. Organ. 2018, 8, 114–120. [Google Scholar] [CrossRef]
- Parmar, A.; Thakkar, A. An Improved Modified LEACH-C Algorithm for Energy Efficient Routing in Wireless Sensor Networks. Nirma Univ. J. Eng. Technol. 2017, 4, 1–22. [Google Scholar]
- Kalra, M.; Vohra, A.; Marriwala, N. LEACH-Based Hybrid Energy Efficient Routing Algorithm for Dynamic Cognitive Radio Networks. Meas. Sens. 2022, 24, 100–119. [Google Scholar] [CrossRef]
- Xiao, Q.; Hou, X. Improvement of LEACH Algorithm Based on Inter-Cluster Ring Routing Strategy. World J. Eng. Technol. 2020, 8, 774–783. [Google Scholar] [CrossRef]
- Chandrika, U.K.; Subrahmanyam, C. An Improved Leach Algorithm based on Wireless Sensor Networks. Int. J. Recent Technol. Eng. 2019, 8, 1623–1628. [Google Scholar]
- Daanoune, I.; Abdennaceur, B.; Ballouk, A. A Comprehensive Survey on LEACH-based Clustering Routing Protocols in Wireless Sensor Networks. Ad Hoc Netw. 2021, 114, 1232–1238. [Google Scholar] [CrossRef]
- Krishna, K.P.R.; Thirumuru, R. Energy Efficient and Multi-hop Routing for Constrained Wireless Sensor Networks. Sustain. Comput. Inform. Syst. 2023, 38, 100–108. [Google Scholar] [CrossRef]
- Huang, M.; Caines, P.E.; Malhamé, R.P. Individual and Mass Behaviour in Large Population Stochastic Wireless Power Control Problems: Centralized and Nash Equilibrium Solutions. In Proceedings of the IEEE Conference on Decision and Control, Maui, HI, USA, 9–12 December 2003; pp. 98–103. [Google Scholar]
- Bertucci, C.; Vassilaras, S.; Lasry, J.M. Transmit Strategies for Massive Machine-Type Communications based on Mean Field Games. In Proceedings of the 2018 15th International Symposium on Wireless Communication Systems (ISWCS), Lisbon, Portugal, 28–31 August 2018; pp. 1–5. [Google Scholar]
- Carmona, R. Applications of Mean Field Games in Financial Engineering and Economic Theory. In Proceedings of the Symposia in Applied Mathematics, Denver, CO, USA, 13 January 2020; pp. 1–15. [Google Scholar]
- Siwe, A.T.; Tembine, H. Network Security As Public Good: A Mean-Field-Type Game Theory Approach. In Proceedings of the 2016 13th International Multi-Conference on Systems, Signals and Devices (SSD), Leipzig, Germany, 21–24 March 2016; pp. 601–606. [Google Scholar]
- Chopra, K. Mobile Ad Hoc Network Security Using Mean Field Game Theoretic Threshold-Based Scheme. Recent Adv. Comput. Sci. Commun. 2020, 13, 166–177. [Google Scholar] [CrossRef]
- Tcheukam, A.; Tembine, H. Spatial Mean-field Games for Combatting Corruption Propagation. In Proceedings of the 2016 Chinese Control and Decision Conference (CCDC), Yinchuan, China, 28–30 May 2016; pp. 820–825. [Google Scholar]
- Gao, J.; Tembine, H. Correlative Mean-field Filter for Sequential and Spatial Data Processing. In Proceedings of the IEEE EUROCON 2017—17th International Conference on Smart Technologies, Ohrid, Macedonia, 6–8 July 2017; pp. 243–248. [Google Scholar]
- Tembine, H. Distributed Mean-Field-Type Filter For Vehicle Tracking. In Proceedings of the 2017 American Control Conference (ACC), Washington, DC, USA, 24–26 May 2017; pp. 4454–4459. [Google Scholar]
- Su, J.; Xu, H.; Xin, N.; Cao, G.; Zhou, X. Resource Allocation in Wireless Powered IoT System: A Mean Field Stackelberg Game-Based Approach. Sensors 2018, 18, 3173. [Google Scholar] [CrossRef]
- Mériaux, F.; Varma, V.; Lasaulce, S. Mean Field Energy Games in Wireless Networks. In Proceedings of the 2012 Conference Record of the Forty Sixth Asilomar Conference on Signals, Systems and Computers (ASILOMAR), Pacific Grove, CA, USA, 4–7 November 2012; pp. 671–675. [Google Scholar]
- Wu, Y.; Wu, J.; Huang, M. Mean-Field Transmission Power Control in Dense Networks. IEEE Trans. Control Netw. Syst. 2021, 8, 99–110. [Google Scholar] [CrossRef]
- Semasinghe, P.; Hossain, E. Downlink Power Control in Self-Organizing Dense Small Cells Underlaying Macrocells: A Mean Field Game. IEEE Trans. Mob. Comput. 2016, 15, 350–363. [Google Scholar] [CrossRef]
- Aziz, M.; Caines, P.E. A Mean Field Game Computational Methodology for Decentralized Cellular Network Optimization. IEEE Trans. Control Syst. Technol. 2017, 25, 563–576. [Google Scholar] [CrossRef]
- Liu, Y.; Wu, Q.; Zhao, T. An Improved Energy-Efficient Routing Protocol for Wireless Sensor Networks. Sensors 2019, 19, 4579. [Google Scholar] [CrossRef]
- Behera, T.; Samal, U.; Mohapatra, S.K. Energy-Efficient Routing Protocols for Wireless Sensor Networks: Architectures, Strategies, and Performance. Electronics 2022, 11, 2282. [Google Scholar] [CrossRef]
- Hassan, A.; Shah, W. Clustering Methods for Cluster-based Routing Protocols in Wireless Sensor Networks: Comparative Study. Int. J. Appl. Eng. Res. 2017, 12, 11350–11360. [Google Scholar]
- Saxena, M.; Joshi, A.; Dutta, S. Comparison of Different Multi-hop Algorithms to Improve the Efficiency of LEACH Protocol. Wirel. Pers. Commun. 2021, 118, 2505–2518. [Google Scholar] [CrossRef]
- Ullah, Z. A Survey on Hybrid, Energy Efficient and Distributed (HEED) Based Energy Efficient Clustering Protocols for Wireless Sensor Networks. Wirel. Pers. Commun. 2020, 112, 2685–2713. [Google Scholar] [CrossRef]
- Al-Aamri, N.; Suwailam, M.B. Characterization of Propagation Models in Wireless Communications for 4G Network. J. Electron. Telecommun. 2022, 8, 84–95. [Google Scholar] [CrossRef]
- Klozar, L.; Prokopec, J. Analyzing Study of Path loss Propagation Models in Wireless Communications at 0.8 GHz. J. Phys. 2018, 1003, 012028. [Google Scholar]
- Josephine, D.D.; Rajeswari, A. Power Control in LTE based on Heuristic Game Theory for Interference Management. Automatika 2024, 65, 945–956. [Google Scholar] [CrossRef]
- Yan, X.; Huang, C. Game Theory-Based Energy-Efficient Clustering Algorithm for Wireless Sensor Networks. Sensors 2022, 22, 478. [Google Scholar] [CrossRef] [PubMed]
- Tukhtasinov, M.; Ibragimov, G. Differential Games for an Infinite 2-Systems of Differential Equations. Mathematics 2021, 9, 1467. [Google Scholar] [CrossRef]
- Donado, F.; Moctezuma, R.; Lopez-Flores, L. Brownian Motion in Non-equilibrium Systems and the Ornstein-Uhlenbeck Stochastic Process. Sci. Rep. 2017, 7, 20–27. [Google Scholar] [CrossRef]
- Yang, C.; Li, J.; Semasinghe, P. Distributed Interference and Energy-Aware Power Control for Ultra-Dense D2D Networks: A Mean Field Game. IEEE Trans. Wirel. Commun. 2017, 16, 1205–1217. [Google Scholar] [CrossRef]
- Weston, J.; Tolić, D. Application of Hamilton–Jacobi–Bellman Equation/Pontryagin’s Principle for Constrained Optimal Control. J. Optim. Theory Appl. 2024, 2, 437–462. [Google Scholar] [CrossRef]
- Subramanian, S.G.; Taylor, M.E. Decentralized Mean Field Games. Assoc. Adv. Artif. Intell. 2022, 36, 9439–9447. [Google Scholar] [CrossRef]
- Benamor, A.; Habachi, O.; Kammoun, I. Mean Field Game-Theoretic Framework for Distributed Power Control in Hybrid NOMA. IEEE Trans. Wirel. Commun. 2022, 21, 10502–10514. [Google Scholar] [CrossRef]
- Yang, C.; Dai, H.; Li, J. Distributed Interference-Aware Power Control in Ultra-Dense Small Cell Networks: A Robust Mean Field Game. IEEE Access 2018, 6, 12608–12619. [Google Scholar] [CrossRef]
- Achdou, Y. Mean Field Games and Applications: Numerical Aspects. Lect. Notes Math. 2020, 22, 249–307. [Google Scholar]
- Nurlan, Z.; Zhukabayeva, T.; Othman, M. EZ-SEP: Extended Z-SEP Routing Protocol with Hierarchical Clustering Approach for Wireless Heterogeneous Sensor Network. Sensors 2021, 21, 1021. [Google Scholar] [CrossRef]
- Cengiz, K.; Dag, T. Energy Aware Multi-Hop Routing Protocol for WSNs. IEEE Access 2017, 6, 2622–2633. [Google Scholar] [CrossRef]
- Daanoune, I.; Baghdad, A.; Ballouk, A. BRE-LEACH: A New Approach to Extend the Lifetime Of Wireless Sensor Network. In Proceedings of the 2019 Third International Conference on Intelligent Computing in Data Sciences (ICDS), Marrakech, Morocco, 28–30 October 2019; pp. 1–6. [Google Scholar]







| Protocol | Complexity |
|---|---|
| LEACH | |
| MFG-LEACH |
| Parameter | Value |
|---|---|
| Node densities | 0.001, 0.01, 0.05 and 0.1 (m2) |
| Initial energy | 3 J |
| Energy step () | 0.03 J |
| Time | 100 s |
| Time step () | 1 s |
| Packet size (m) | 4000 bits |
| Number of rounds | 15,000 |
| Threshold SINR () | 10−2 |
| SINR step () | 10−4 |
| Node Density | Energy Consumption (%) | ||
|---|---|---|---|
| EAMR | EZ-SEP | BRE | |
| 0.001 | 73.36 | 73.74 | 73.88 |
| 0.01 | 50.88 | 46.80 | 52.15 |
| 0.05 | 65.0 | 23.84 | 16.10 |
| 0.1 | 115.51 | 57.66 | 33.97 |
Disclaimer/Publisher’s Note: The statements, opinions and data contained in all publications are solely those of the individual author(s) and contributor(s) and not of MDPI and/or the editor(s). MDPI and/or the editor(s) disclaim responsibility for any injury to people or property resulting from any ideas, methods, instructions or products referred to in the content. |
© 2024 by the authors. Licensee MDPI, Basel, Switzerland. This article is an open access article distributed under the terms and conditions of the Creative Commons Attribution (CC BY) license (https://creativecommons.org/licenses/by/4.0/).
Share and Cite
Ntabeni, U.; Basutli, B.; Alves, H.; Chuma, J. Improvement of the Low-Energy Adaptive Clustering Hierarchy Protocol in Wireless Sensor Networks Using Mean Field Games. Sensors 2024, 24, 6952. https://doi.org/10.3390/s24216952
Ntabeni U, Basutli B, Alves H, Chuma J. Improvement of the Low-Energy Adaptive Clustering Hierarchy Protocol in Wireless Sensor Networks Using Mean Field Games. Sensors. 2024; 24(21):6952. https://doi.org/10.3390/s24216952
Chicago/Turabian StyleNtabeni, Unalido, Bokamoso Basutli, Hirley Alves, and Joseph Chuma. 2024. "Improvement of the Low-Energy Adaptive Clustering Hierarchy Protocol in Wireless Sensor Networks Using Mean Field Games" Sensors 24, no. 21: 6952. https://doi.org/10.3390/s24216952
APA StyleNtabeni, U., Basutli, B., Alves, H., & Chuma, J. (2024). Improvement of the Low-Energy Adaptive Clustering Hierarchy Protocol in Wireless Sensor Networks Using Mean Field Games. Sensors, 24(21), 6952. https://doi.org/10.3390/s24216952

