Digitized Seedbed Soil Quality Assessment from Worn and Edge Hardened Cultivator Sweeps
Abstract
1. Introduction
2. Materials and Methods
2.1. Experimental Site Description
2.2. Tillage Experimental Design and Equipment
2.3. Geometric Dimensions of New and Worn Cultivator Sweeps
2.3.1. Specification and Manufacturing Process of Base Cultivator Sweeps
2.3.2. Specifications and Manufacturing Process of CADEN Edge Cultivator Sweeps
2.4. LiDAR Measurement Setup and Data Collection
2.5. Soil Seedbed LiDAR Scanning and Data Correction
2.6. Statistical Analysis of Soil Roughness Attributes
2.6.1. Analysis of Variance (ANOVA)
2.6.2. Two-Sample Kolmogorov–Smirnov (KS) Test
2.6.3. Earth Mover’s Distance Method
3. Results and Discussion
3.1. Initial Soil Conditions
3.2. Sweeps Wear Characteristics
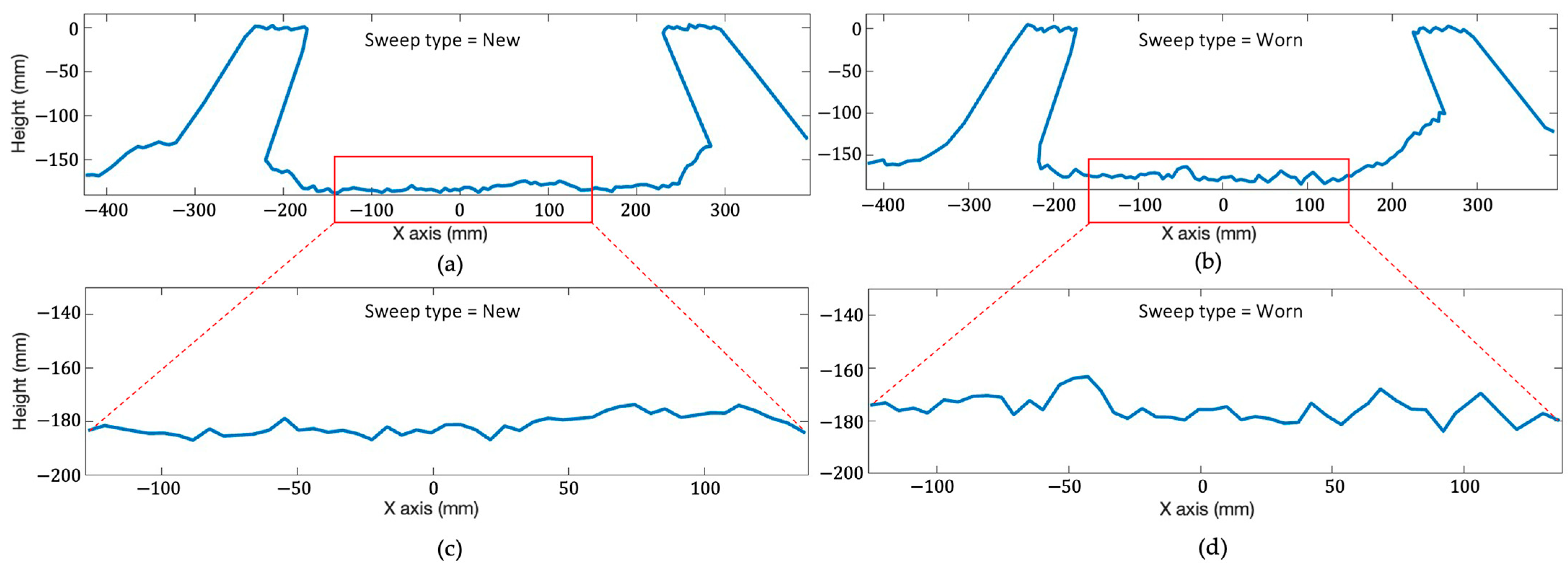
3.3. 2D and 3D Generated Soil Seedbed Profiles
3.4. Seedbed Roughness Measurement
3.4.1. Distribution Analysis in Soil Roughness Using Earth Mover’s Distance (EMD) and Kolmogorov–Smirnov (KS) Tests
3.4.2. Soil Roughness Attributes ANOVA Analysis
4. Conclusions
- ANOVA results between new and worn sweep tillage treatment data showed significant differences (p < 0.05) on soil roughness variables (standard deviation coefficient of variation and kurtosis) with interaction effects of subplot soil type and sweep treatment from 2021 to 2023 data and main sweep treatment effect from 2021 data. Kurtosis of the mean height from LiDAR data could be used as a potential factor to compare soil quality.
- The KS test, a comparison of soil tilth distribution, especially in mean soil height and skewness data, showed statistically significant differences (p < 0.05) between the two tillage treatments in all subplot soil in 2021 and 2023 data.
- According to the EMD measure of dissimilarity, several pairwise distributions between the new and worn sweeps showed an average of 4% difference in three years, demonstrating the capability to classify two tillage treatments.
- This study concludes that tillage tool wear substantively affects seedbed quality, as evidenced by varying soil roughness factors. Our study supports the adoption of LiDAR technology for seedbed management, highlighting its applicability to evaluate seedbed quality. This research provides valuable insights into how tillage tool wear affects seedbed quality and supports crop growers in making better decisions about tillage management. Further research and more experiments are needed to develop the proposed LiDAR sensing techniques for comparing seedbed tilth quality of the LiDAR data in different soil types and long-term effects on crop yield and farm economics.
Author Contributions
Funding
Data Availability Statement
Acknowledgments
Conflicts of Interest
References
- Karayel, D.; Özmerzi, A. Effect of tillage methods on sowing uniformity of maize. Candian Biosyst. Eng. 2002, 44, 23–26. [Google Scholar]
- Sandri, R.; Anken, T.; Hilfiker, T.; Sartori, L.; Bollhalder, H. Comparison of methods for determining cloddiness in seedbed preparation. Soil Tillage Res. 1998, 45, 75–90. [Google Scholar] [CrossRef]
- Colvin, T.S.; Erbach, D.C.; Buchele, W.F.; Cruse, R.M. Tillage index based on created soil conditions. Trans. ASAE 1984, 27, 370–371. [Google Scholar] [CrossRef]
- Kuipers, H. A reliefmeter for soil cultivation studies. Neth. J. Agric. Sci. 1957, 5, 255–262. [Google Scholar] [CrossRef]
- Saleh, A. Soil roughness measurement: Chain method. J. Soil Water Conserv. 1993, 48, 527–529. [Google Scholar]
- Wolock, D.M.; Price, C.V. Effects of digital elevation model map scale and data resolution on a topography-based watershed model. Water Resour. Res. 1994, 30, 3041–3052. [Google Scholar] [CrossRef]
- Ball, B.C.; Guimarães, R.M.L.; Cloy, J.M.; Hargreaves, P.R.; Shepherd, T.G.; McKenzie, B.M. Visual soil evaluation: A summary of some applications and potential developments for agriculture. Soil Tillage Res. 2017, 173, 114–124. [Google Scholar] [CrossRef]
- Milenkovic, M.; Pfeifer, N.; Glira, P. Applying terrestrial laser scanning for soil surface roughness assessment. Remote Sens. 2015, 7, 2007–2045. [Google Scholar] [CrossRef]
- Thomsen, L.M.; Baartman, J.E.M.; Barneveld, R.J.; Starkloff, T.; Stolte, J. Soil surface roughness: Comparing old and new measuring methods and application in a soil erosion model. Soil 2015, 1, 399–410. [Google Scholar] [CrossRef]
- Foldager, F.F.; Pedersen, J.M.; Skov, E.H.; Evgrafova, A.; Green, O. LiDAR-Based 3D Scans of Soil Surfaces and Furrows in Two Soil Types. Sensors 2019, 19, 661. [Google Scholar] [CrossRef] [PubMed] [PubMed Central]
- Fanigliulo, R.; Antonucci, F.; Figorilli, S.; Pochi, D.; Pallottino, F.; Fornaciari, L.; Grilli, R.; Costa, C. Light drone-based application to assess soil tillage quality parameters. Sensors 2020, 20, 728. [Google Scholar] [CrossRef] [PubMed]
- Oz, I.; Arav, R.; Filin, S.; Assouline, S.; Furman, A. High-resolution measurement of topographic changes in agricultural soils. Vadose Zone J. 2017, 16, 1–18. [Google Scholar] [CrossRef]
- Znova, L.; Melander, B.; Lisowski, A.; Klonowski, J.; Chlebowski, J.; Edwards, G.T.; Nielsen, S.K.; Green, O. A new hoe share design for weed control: Measurements of soil movement and draught forces during operation. Acta Agric. Scand. Sect. B—Soil Plant Sci. 2018, 68, 139–148. [Google Scholar] [CrossRef]
- Natsis, A.; Papadakis, G.; Pitsilis, J. The influence of soil type, soil water and share sharpness of a mouldboard plough on energy consumption, rate of work and tillage quality. J. Agric. Eng. Res. 1999, 72, 171–176. [Google Scholar] [CrossRef]
- Tekeste, M.Z.; Balvanz, L.R.; Al-Aani, F.; Boesenberg, A.; Hatfield, J.L. Hardened Edges Effects on Wear Characteristics of Cultivator Sweeps Using Circular Soil Bin Test. J. Tribol. 2022, 144, 024501. [Google Scholar] [CrossRef]
- Mann, P.S.; Brar, N.K. Tribological aspects of agricultural equipment: A review. Int. Res. J. Eng. Technol. 2015, 2, 1704–1708. [Google Scholar]
- Tekeste, M.Z.; Balvanz, L.R.; Hatfield, J.L.; Ghorbani, S. Discrete element modeling of cultivator sweep-to-soil interaction: Worn and hardened edges effects on soil-tool forces and soil flow. J. Terramechanics 2019, 82, 1–11. [Google Scholar] [CrossRef]
- Swanson, P.A. Comparison of Laboratory Abrasion Tests and Field Tests of Materials Used in Tillage. In Tribology: Wear Test Selection for Design and Application; ASTM STP 119; Ruff, A.W., Bayer, R.G., Eds.; American Society for Testing and Materials: Philadelphia, PA, USA, 1993. [Google Scholar]
- Nielsen, R.L. Effect of Plant Spacing Variability on Corn Grain Yield; Purdue University: West Lafayette, IN, USA, 2004. [Google Scholar]
- Jensen, T.; Green, O.; Munkholm, L.J.; Karstoft, H. Fourier and granulometry methods on 3D images of soil surfaces for evaluating soil aggregate size distribution. Appl. Eng. Agric. 2016, 32, 609–615. [Google Scholar]
- Jensen, T.; Munkholm, L.J.; Green, O.; Karstoft, H. A mobile surface scanner for soil studies. In Proceedings of the Second International Conference on Robotics, Associated High-Technologies and Equipment for Agriculture and Forestry-RHEA 2014, Madrid, Spain, 21–23 May 2014; New trends in mobile robotics, perception and actuation for agriculture and forestry. pp. 187–194. [Google Scholar]
- Tekeste, M.Z.; Guo, J.; Habtezgi, D.; He, J.-H.; Waz, M. Development of a Method for Soil Tilth Quality Evaluation from Crumbling Roller Baskets Using Deep Machine Learning Models. Sensors 2024, 24, 3379. [Google Scholar] [CrossRef] [PubMed]
- Berger, V.W.; Zhou, Y. Kolmogorov–Smirnov Test: Overview. In Wiley Statsref: Statistics Reference Online; Wiley: Hoboken, NJ, USA, 2014. [Google Scholar]
- Boysen, J.; Zender, L.; Stein, A. Modeling the soil-machine response of secondary tillage: A deep learning approach. Smart Agric. Technol. 2023, 6, 100363. [Google Scholar] [CrossRef]









| Soil Moisture Content (Dry Basis (d.b.), %) * | |||
|---|---|---|---|
| Year | |||
| Parameters | 2021 | 2022 | 2023 |
| Mean | 14.66% | 15.64% | 16.48% |
| Std | 1.94% | 1.72% | 0.96% |
| COV | 13.24% | 10.99% | 5.81% |
| Parameters for Sweep Type [a] | Sweep Length (L) (mm) | Sweep Wing Depth (Wd) (mm) | Sweep Front Width (W) (mm) | Sweep Mass (g) |
|---|---|---|---|---|
| New | ||||
| Mean | 243 | 63 | 184 | 1579 |
| Std | 2 | 2 | 3 | 35 |
| CoV | 1% | 3% | 2% | 2% |
| Worn | ||||
| Mean | 166 | 27 | 123 | 946 |
| Std | 20 | 15 | 23 | 164 |
| CoV | 12% | 56% | 18% | 17% |
| Year | Within Treatments | Between Treatments | % Difference |
|---|---|---|---|
| 2021 | 8.76 | 9.09 | 3% |
| 2022 | 9.78 | 9.99 | 1% |
| 2023 | 10.59 | 11.22 | 4% |
| Three-year mean | 9.71 | 10.10 | 3% |
| Year | Maximum | Minimum | Mean | Median | Mode | Std | COV | Skewness | Kurtosis | Roughness Coefficient |
|---|---|---|---|---|---|---|---|---|---|---|
| 2021 | 0.49 | 0.20 | 0.04 * | 0.04 * | 0.001 * | 0.10 | 0.07 | <0.01 * | <0.01 * | 0.13 |
| 2022 | 0.75 | 1.00 | 0.75 | 0.93 | 0.93 | 0.18 | 0.52 | 0.18 | 0.10 | 0.32 |
| 2023 | 0.09 | 0.05 | 0.03 * | 0.08 | 0.05 | 0.03 * | 0.52 | 0.01 * | 0.21 | 0.08 |
| Year, Sweep Type | Maximum of Height (mm) | Minimum of Height (mm) | Mean Height (mm) | Median Height (mm) | Mode of Height (mm) | Std of Height (mm) | COV of Height | Skewness | Kurtosis | Roughness Coefficient |
|---|---|---|---|---|---|---|---|---|---|---|
| 2021 | ||||||||||
| New | −125.93 | −152.83 | −140.23 | −140.89 | −140.33 | 5.92 | 4.23% | 0.08 | 2.67 | −0.19 |
| Worn | −120.09 | −149.88 | −136.02 | −137.62 | −136.42 | 7.08 | 5.33% | 0.14 | 2.35 | −0.22 |
| 2022 | ||||||||||
| New | −106.90 | −134.21 | −121.44 | −122.41 | −121.81 | 6.22 | 5.11% | 0.17 | 2.70 | −0.22 |
| Worn | −106.26 | −133.50 | −120.21 | −120.49 | −120.30 | 6.35 | 5.34% | 0.05 | 2.50 | −0.23 |
| 2023 | ||||||||||
| New | −147.99 | −184.21 | −172.38 | −173.77 | −175.43 | 7.70 | 4.49% | 1.13 | 4.48 | −0.21 |
| Worn | −153.78 | −189.03 | −174.27 | −175.09 | −175.55 | 8.33 | 4.80% | 0.35 | 3.23 | −0.20 |
| Year, Fixed Effects | Maximum of Height | Minimum of Height | Mean Height | Median Height | Mode of Height | Std of Height | COV of Height | Skewness | Kurtosis | Roughness Coefficient |
|---|---|---|---|---|---|---|---|---|---|---|
| 2021 | ||||||||||
| 0.042 * | 0.180 | 0.092 | 0.128 | 0.243 | 0.025 * | 0.018 * | 0.403 | 0.001 * | 0.078 | |
| 0.032 * | 0.315 | 0.108 | 0.166 | 0.342 | 0.021 * | 0.016 * | 0.031 * | 0.170 | 0.045 * | |
| 2022 | ||||||||||
| 0.756 | 0.738 | 0.522 | 0.436 | 0.338 | 0.715 | 0.435 | 0.260 | 0.057 | 0.687 | |
| 0.005 * | 0.352 | 0.128 | 0.162 | 0.260 | 0.013 * | 0.019 * | 0.238 | 0.257 | 0.001 * | |
| 2023 | ||||||||||
| 0.090 | 0.012 * | 0.275 | 0.437 | 0.948 | 0.282 | 0.370 | 0.000 * | 0.012 * | 0.625 | |
| 0.059 | 0.026 * | 0.035 * | 0.038 * | 0.073 | 0.013 * | 0.014 * | 0.599 | 0.779 | 0.160 |
| Variables | Effects | df | Sum Square | F-Value | p-Value |
|---|---|---|---|---|---|
| 2021 | |||||
| Maximum | 1 | 460.64 | 4.32 | 0.042 * | |
| 2 | 781.52 | 3.67 | 0.032 * | ||
| Minimum | 1 | 118.14 | 1.84 | 0.180 | |
| 2 | 151.08 | 1.18 | 0.315 | ||
| Mean | 1 | 239.60 | 2.93 | 0.092 | |
| 2 | 380.26 | 2.33 | 0.108 | ||
| Median | 1 | 206.01 | 2.93 | 0.092 | |
| 2 | 320.71 | 1.86 | 0.166 | ||
| Mode | 1 | 144.22 | 1.39 | 0.243 | |
| 2 | 226.09 | 1.09 | 0.342 | ||
| Std | 1 | 18.13 | 5.33 | 0.025 * | |
| 2 | 28.29 | 4.15 | 0.021 | ||
| COV | 1 | <0.01 | 5.90 | 0.018 * | |
| 2 | <0.01 | 4.46 | 0.016 * | ||
| Skewness | 1 | 0.06 | 0.70 | 0.403 | |
| 2 | 0.63 | 3.72 | 0.031 * | ||
| Kurtosis | 1 | 1.31 | 10.96 | 0.001 * | |
| 2 | 0.43 | 1.83 | 0.170 | ||
| Roughness coefficient | 1 | 0.01 | 3.23 | 0.07 | |
| 2 | 0.02 | 3.29 | 0.04 * | ||
| Variables | Effects | df | Sum Square | F-Value | p-Value |
| 2022 | |||||
| Maximum | 1 | 5.52 | 0.09 | 0.756 | |
| 2 | 649.50 | 5.73 | 0.005 * | ||
| Minimum | 1 | 6.77 | 0.11 | 0.738 | |
| 2 | 128.36 | 1.06 | 0.352 | ||
| Mean | 1 | 20.55 | 0.41 | 0.522 | |
| 2 | 212.21 | 2.14 | 0.128 | ||
| Median | 1 | 30.75 | 0.61 | 0.435 | |
| 2 | 187.51 | 1.88 | 0.162 | ||
| Mode | 1 | 49.75 | 0.93 | 0.338 | |
| 2 | 147.54 | 1.38 | 0.260 | ||
| Std | 1 | 0.22 | 0.13 | 0.715 | |
| 2 | 16.23 | 4.74 | 0.013 * | ||
| COV | 1 | <0.01 | 0.61 | 0.435 | |
| 2 | <0.01 | 7.13 | 0.001 * | ||
| Skewness | 1 | 0.18 | 1.29 | 0.260 | |
| 2 | 0.43 | 1.47 | 0.238 | ||
| Kurtosis | 1 | 0.52 | 3.79 | 0.057 | |
| 2 | 0.38 | 1.39 | 0.257 | ||
| Roughness coefficient | 1 | 0.00 | 0.16 | 0.68 | |
| 2 | 0.02 | 7.47 | 0.001 | ||
| Variables | Effects | df | Sum Square | F-value | p-value |
| 2023 | |||||
| Maximum | 1 | 452.45 | 2.98 | 0.090 | |
| 2 | 907.45 | 2.99 | 0.059 | ||
| Minimum | 1 | 313.07 | 6.81 | 0.012 * | |
| 2 | 359.62 | 3.91 | 0.026 * | ||
| Mean | 1 | 48.08 | 1.21 | 0.275 | |
| 2 | 283.63 | 3.58 | 0.035 * | ||
| Median | 1 | 23.62 | 0.61 | 0.437 | |
| 2 | 270.06 | 3.49 | 0.038 * | ||
| Mode | 1 | 0.18 | <0.01 | 0.948 | |
| 2 | 239.08 | 2.75 | 0.073 | ||
| Std | 1 | 5.30 | 1.18 | 0.282 | |
| 2 | 42.03 | 4.68 | 0.013 * | ||
| COV | 1 | <0.01 | 0.81 | 0.370 | |
| 2 | <0.01 | 4.60 | 0.014 * | ||
| Skewness | 1 | 8.21 | 16.42 | <0.01 * | |
| 2 | 0.51 | 0.51 | 0.599 | ||
| Kurtosis | 1 | 21.31 | 6.76 | 0.012 * | |
| 2 | 1.57 | 0.25 | 0.779 | ||
| Roughness coefficient | 1 | <0.01 | 0.24 | 0.625 | |
| 2 | 0.01 | 1.9 | 0.160 | ||
Disclaimer/Publisher’s Note: The statements, opinions and data contained in all publications are solely those of the individual author(s) and contributor(s) and not of MDPI and/or the editor(s). MDPI and/or the editor(s) disclaim responsibility for any injury to people or property resulting from any ideas, methods, instructions or products referred to in the content. |
© 2024 by the authors. Licensee MDPI, Basel, Switzerland. This article is an open access article distributed under the terms and conditions of the Creative Commons Attribution (CC BY) license (https://creativecommons.org/licenses/by/4.0/).
Share and Cite
Noh, J.-M.; Liu, L.; Tekeste, M.Z.; Li, Q.; Hatfield, J.; Eisenmann, D. Digitized Seedbed Soil Quality Assessment from Worn and Edge Hardened Cultivator Sweeps. Sensors 2024, 24, 6951. https://doi.org/10.3390/s24216951
Noh J-M, Liu L, Tekeste MZ, Li Q, Hatfield J, Eisenmann D. Digitized Seedbed Soil Quality Assessment from Worn and Edge Hardened Cultivator Sweeps. Sensors. 2024; 24(21):6951. https://doi.org/10.3390/s24216951
Chicago/Turabian StyleNoh, Jong-Myung, Lijie Liu, Mehari Z. Tekeste, Qing Li, Jerry Hatfield, and David Eisenmann. 2024. "Digitized Seedbed Soil Quality Assessment from Worn and Edge Hardened Cultivator Sweeps" Sensors 24, no. 21: 6951. https://doi.org/10.3390/s24216951
APA StyleNoh, J.-M., Liu, L., Tekeste, M. Z., Li, Q., Hatfield, J., & Eisenmann, D. (2024). Digitized Seedbed Soil Quality Assessment from Worn and Edge Hardened Cultivator Sweeps. Sensors, 24(21), 6951. https://doi.org/10.3390/s24216951

