Proposal for Low-Cost Optical Sensor for Measuring Flow Velocities in Aquatic Environments
Abstract
1. Introduction
2. State of the Art
3. Materials and Methods
3.1. Background
3.2. Testing
3.3. System Velocity
Error Propagation
3.4. Origins of Turbidity
3.5. Tracer
3.6. Setup
4. Proposal
4.1. Sensor Components
4.1.1. Arduino Mega 2560 Rev3
4.1.2. Light Emitters and Detectors
4.1.3. Enclosure
4.2. Sensor Design
Initial Configuration
- Second Pair: Located 1 cm deep on the Y-axis, the LDR is inclined at 36 degrees relative to the horizontal axis, while the LED is at 216 degrees.
- Third Pair: Positioned 2 cm deep on the Y-axis, the LED is oriented at 72 degrees and the LDR at 252 degrees.
- Fourth Pair: Placed 3 cm deep on the Y-axis, the LDR is 108 degrees, and the LED is at 288 degrees.
- Fifth Pair: The final pair, located 4 cm deep on the Y-axis, has the LED positioned at 144 degrees and the LDR at 324 degrees.
- Finally, a rotation of 18 degrees along the Y-axis is made to divide the distribution of LEDs and LDRs conveniently. The rotated configuration is shown in Figure 4b.
4.3. Technical Advantages
4.3.1. Comprehensive Cross-Sectional Coverage
4.3.2. Minimization of Interference Between Sensors
4.3.3. Adaptability of the Velocity Range to the Proposed System
4.3.4. Optimization of Space Within the Pipe
4.4. Sensor Circuit
4.5. Housing Design
4.6. Data Acquisition and Processing
5. Results
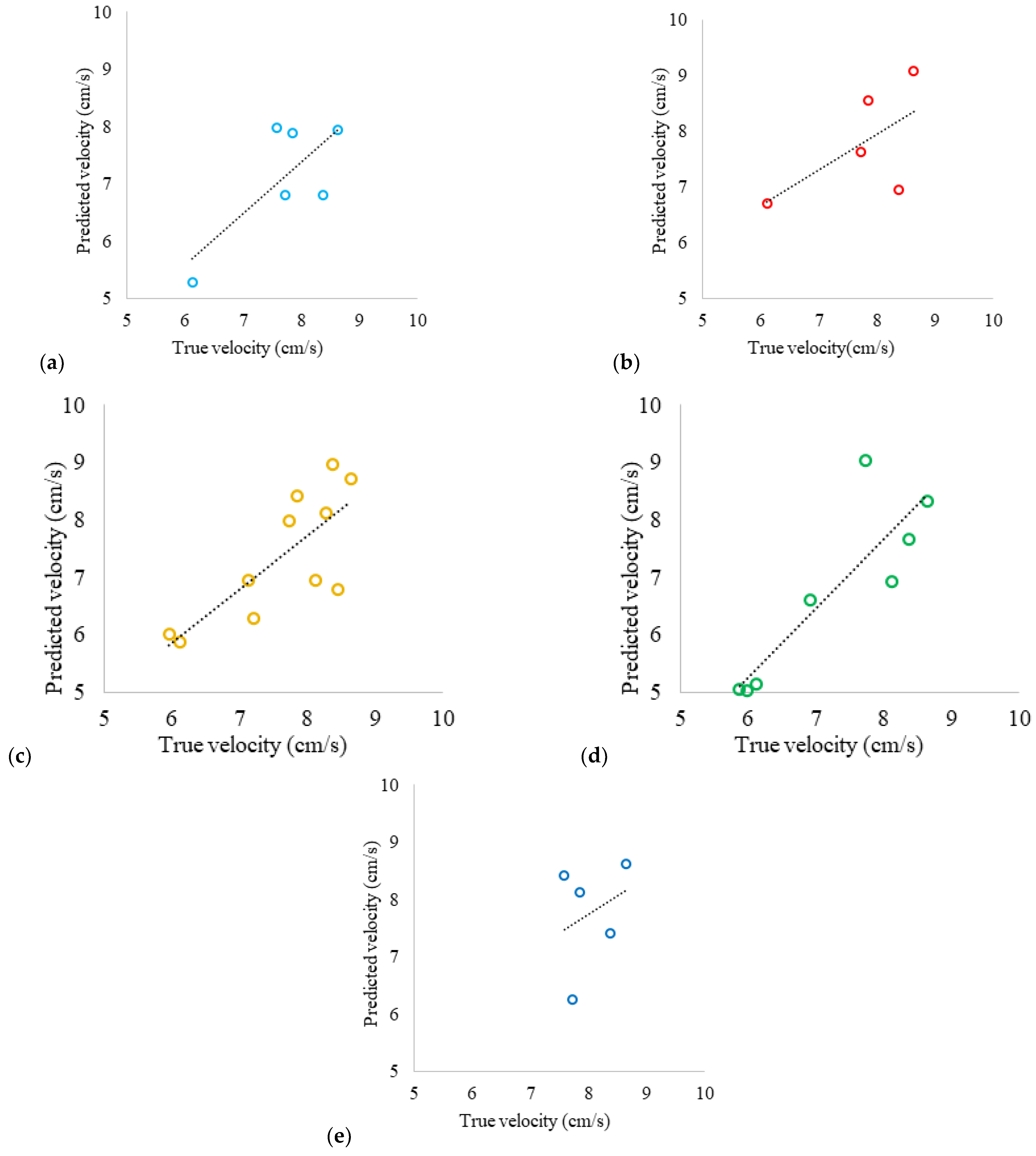
5.1. Measurements in Potable Water
Expanded Readings of Potable Water
5.2. Measurements in Water with Chlorophyll
Expanded Readings of Water with Chlorophyll
5.3. Calibration Results with Potable Water
5.4. Calibration Results with Water with Chlorophyll
5.5. Model Testing in Simulated Runoff Fluid
5.5.1. Extended Runoff Reading
5.5.2. Test Results
6. Discussion
7. Conclusions
Author Contributions
Funding
Institutional Review Board Statement
Informed Consent Statement
Data Availability Statement
Conflicts of Interest
Appendix A
| Algorithm A1: Sampling (raw data) |
| const int LED [10] = {4, 5, 6, 7, 8, 9, 10, 11, 12, 13}; const int LDR [10] = {A0, A1, A2, A3, A4, A5, A6, A7, A8, A9}; unsigned long ciclo = 0; void setup() { for (int i = 0; i < 10; i++) { pinMode(LED[i], OUTPUT); digitalWrite(LED[i], HIGH); pinMode(LDR[i], INPUT);} Serial.begin(574880); } void loop() { ciclo++; unsigned long tiempoActual = micros(); Serial.print(ciclo); Serial.print(“, “); Serial.print(tiempoActual); for (int i = 0; i < 10; i++) { Serial.print(“, “); Serial.print(analogRead(LDR[i]));} Serial.println(); delay(6.4); } |
| Algorithm A2: Voltage conversion |
| data=Water; error_margen = 0.2; CI= data(:, 2:11); new_max = 5; max_col = 1023; normalize_volt = @(col, max_col, new_max) ((col / (max_col)) * new_max; normalized_columns = arrayfun(@(col_idx) normalize_volt(CI(:, col_idx), max_col, new_max), 1:size(CI, 2), ‘UniformOutput’, false); normalized_columns = cell2mat(normalized_columns); data(:, 2:11) = normalized_columns; |
| Algorithm A3: Removal of liner trend |
| CI = arrayfun(@(col_idx) detrend(CI(:, col_idx), “constant”), 1:size(CI, 2), ‘UniformOutput’, false); CI = cell2mat(CI); CI = arrayfun(@(col_idx) max(CI(:, col_idx), 0), 1:size(CI, 2), ‘UniformOutput’, false); CI = cell2mat(CI); data(:, 2:11) = CI; |
| Algorithm A4: Local máxima determination |
| x1 = data(:, 1); LM = double(islocalmax(CI, 3000, LocalMax)); sums = LM(:, 1:5) + LM(:, 6:10); TF = arrayfun(@(i) [x1, CI(:, i), CI(:, i + 5)], 1:5, ‘UniformOutput’, false); TF = cellfun(@(tf, sum) tf(sum > 0, :), TF, num2cell(sums, 1), ‘UniformOutput’, false); [TF1, TF2, TF3, TF4, TF5] = TF{:}; |
| Algorithm A5: Speed calculation |
| function new_data = create_new_matrix(TF) TF = [zeros(1, size(TF, 2)); TF]; num_rows = size(TF, 1); num_cols = size(TF, 2); new_cols = zeros(num_rows, 7); for i = 2:num_rows-1 if num_cols >= 2 && TF(i, 2) ~= 0 && TF(i + 1, 2) == 0 new_cols(i, 1) = 1; end if num_cols >= 3 && TF(i, 3) ~= 0 && TF(i + 1, 3) == 0 new_cols(i, 2) = 1; end end for i = 2:num_rows if new_cols(i, 1) == 1 new_cols(i, 3) = TF(i, 1); end if new_cols(i, 2) == 1 new_cols(i, 4) = TF(i, 1); end end for i = 2:num_rows if new_cols(i-1, 4) > 1 new_cols(i, 5) = 0; elseif new_cols(i-1, 5) == 0 if new_cols(i-1, 3) == 0 new_cols(i, 5) = 0; else new_cols(i, 5) = new_cols(i-1, 3); end else new_cols(i, 5) = new_cols(i-1, 5) + 1; end end for i = 1:num_rows if new_cols(i, 4) > 1 && new_cols(i, 5) > 1 new_cols(i, 6) = abs(new_cols(i, 4) − new_cols(i, 5)); else new_cols(i, 6) = 0; end end for i = 1:num_rows if new_cols(i, 6) ~= 0 new_cols(i, 7) = 46.5 / new_cols(i, 6) * 1000; else new_cols(i, 7) = 0; end end new_data = [TF, new_cols]; end |
References
- Klemmer, K.; Rolf, E. Satellite Images Reveal Untracked Human Activity on the Oceans; Nature: London, UK, 2024. [Google Scholar] [CrossRef]
- Paolo, F.S.; Kroodsma, D.; Raynor, J.; Hochberg, T.; Davis, P.; Cleary, J.; Marsaglia, L.; Orofino, S.; Thomas, C.; Halpin, P. Satellite mapping reveals extensive industrial activity at sea. Nature 2024, 625, 85–91. [Google Scholar] [CrossRef] [PubMed]
- Royero, J.C.O. Introducción a la Oceanografía Física: Notas de Clase, 1st ed.; Editorial Universidad del Norte: Barranquilla, Colombia, 2015. [Google Scholar]
- Castro, P. Biología Marina, 1st ed.; McGraw-Hill/Interamericana: Madrid, Spain, 2007. [Google Scholar]
- Navarro, F.; Martos, F.S.; Gallego, J.G. Caracterización de los factores hidrogeológicos, hidrológicos y antrópicos que condicionan la interacción de aguas superficiales-subterráneas del río Andarax, 1st ed. In Tesis Doctorales; Universidad de Almería: Almería, Spain, 2018; Volume 364. [Google Scholar]
- Pereda-Briones, L.; Infantes, E.; Orfila, A.; Tomas, F.; Terrados, J. Dispersal of seagrass propagules: Interaction between hydrodynamics and substratum type. Mar. Ecol. Prog. Ser. 2018, 593, 47–59. [Google Scholar] [CrossRef]
- Lim, H.S.; Lee, H.J.; Kim, D.; Hong, S. Beach erosion along the eastern coast of Korea: A brief review. J. Coast Res. 2023, 39, 181–190. [Google Scholar] [CrossRef]
- Piccolo, J.J.; Hughes, N.F.; Bryant, M.D. Water velocity influences prey detection and capture by drift-feeding juvenile coho salmon (Oncorhynchus kisutch) and steelhead (Oncorhynchus mykiss irideus). Can. J. Fish. Aquat. Sci. 2011, 65, 266–275. [Google Scholar] [CrossRef]
- Peris, E.B. Análisis de Nutrientes y Biomasa Fitoplanctónica en el Tramo Final y Desembocadura del río Serpis. November 2013. Available online: https://riunet.upv.es:443/handle/10251/34146 (accessed on 14 June 2024).
- Ye, K.; Ji’e, M.; Zhai, S. Influence of Particle Shape on Polarization Characteristics of Backscattering Light in Turbid Media. Chin. J. Lasers 2020, 47, 0105004. [Google Scholar] [CrossRef]
- Fay, C.D.; Nattestad, A. Advances in optical based turbidity sensing using led photometry (Pedd). Sensors 2022, 22, 254. [Google Scholar] [CrossRef]
- Zhen, X.; Lv, Y.; Luo, Y.; Huang, C.; Chen, C. Machine learning approach to predict flow fields induced by internal solitary waves acting on mid-water structures based on particle image velocimetry experiments. Ocean Eng. 2024, 309, 118326. [Google Scholar] [CrossRef]
- Okada, M.; Pinho, J.; Cernat, B.; Lavagnoli, S. Particle Image Velocimetry in a High-Speed Short-Duration Turbine Rig. J. Turbomach. 2023, 145, 021006. [Google Scholar] [CrossRef]
- Wang, R.; Jia, H.; Duan, R. Experimental Observation of Flow Reversal in Thin Liquid Film Flow Falling on an Inclined Plate. Coatings 2020, 10, 599. [Google Scholar] [CrossRef]
- Zhao, J.; Dai, F.; Ma, X.; Wang, F. Ocean current velocity measuring device based on acoustic time difference current meter. J. Robot. Netw. Artif. Life 2020, 7, 175–178. [Google Scholar] [CrossRef]
- Sarangapani, S. Multi-frequency Phased Array Transducer for ADCP Applications. In Proceedings of the Oceans Conference Record (IEEE), Chennai, India, 21–24 February 2022. [Google Scholar] [CrossRef]
- Gytre, T.; Nilsen, J.E.O.; Stiansen, J.E.; Sundby, S. Resolving small scale turbulence with acoustic Doppler and acoustic travel time difference current meters from an underwater tower. In Proceedings of the Oceans Conference Record (IEEE), Fort Lauderdale, FL, USA, 23–26 September 1996. [Google Scholar] [CrossRef]
- MacVicar, B.J.; Beaulieu, E.; Champagne, V.; Roy, A.G. Measuring water velocity in highly turbulent flows: Field tests of an electromagnetic current meter (ECM) and an acoustic Doppler velocimeter (ADV). Earth Surf. Process. Landf. 2007, 32, 1412–1432. [Google Scholar] [CrossRef]
- Fu, Q. Uncertainty quantification for velocity measurement with 2D2C particle image velocimetry. Meas. Sci. Technol. 2024, 35, 105301. [Google Scholar] [CrossRef]
- Harte, N.C.; Obrist, D.; Versluis, M.; Groot Jebbink, E.; Caversaccio, M.; Wimmer, W.; Lajoinie, G.P.R. Second order and transverse flow visualization through three-dimensional particle image velocimetry in millimetric ducts. Exp. Therm. Fluid Sci. 2024, 159, 111296. [Google Scholar] [CrossRef]
- Li, H.; Jiang, Y.; Ji, H.; Liu, G.; Yu, S. 3D reconstruction of slug flow in mini-channels with a simple and low-cost optical sensor. Sensors 2019, 19, 4573. [Google Scholar] [CrossRef]
- Huang, L.; Izhar, I.; Zhou, X.; Fang, M.; Huang, S.; Lee, Y.K.; Pan, X.; Xu, W. A Real-Time Wireless Calorimetric Flow Sensor System with a Wide Linear Range for Low-Cost Respiratory Monitoring. In Proceedings of the IEEE International Conference on Micro Electro Mechanical Systems (MEMS), Munich, Germany, 15–19 January 2023; pp. 107–110. [Google Scholar] [CrossRef]
- Egerer, M.; Ristolainen, A.; Piho, L.; Vihman, L.; Kruusmaa, M. Hall Effect Sensor-Based Low-Cost Flow Monitoring Device: Design and Validation. IEEE Sens. J. 2024, 24, 5986–5997. [Google Scholar] [CrossRef]
- Cao, X.; Li, Q.; Li, S.; Xu, X.; Wang, L.; Wang, M.; Ding, B.; Bao, S.; Wang, S.; Sun, B.; et al. Low-Cost Photoelectric Flow Rate Sensors Based on a Flexible Planar Curved Beam Structure for Clinical Treatments. Adv. Healthc. Mater. 2024, 13, 2304573. [Google Scholar] [CrossRef]
- Naveen, H.; Narasimhan, S.; George, B.; Tangirala, A.K. Design and Development of a Low-Cost Cantilever-Based Flow Sensor. IFAC-Pap. 2020, 53, 111–116. [Google Scholar] [CrossRef]
- Safranko, C.; Hašková, A. Metodology of quantitative research application in context of branch didactics. J. Technol. Inf. 2021, 13, 116–134. [Google Scholar] [CrossRef]
- Parra, L.; Ahmad, A.; Sendra, S.; Lloret, J.; Lorenz, P. Combination of Machine Learning and RGB Sensors to Quantify and Classify Water Turbidity. Chemosensors 2024, 12, 34. [Google Scholar] [CrossRef]
- Grzesik, P.; Mrozek, D. Combining Machine Learning and Edge Computing: Opportunities, Challenges, Platforms, Frameworks, and Use Cases. Electronics 2024, 13, 640. [Google Scholar] [CrossRef]
- Arduino. Available online: https://www.arduino.cc/ (accessed on 13 September 2024).
- Autodesk Fusion | Software de CAD 3D, CAM, CAE y PCB Basado en la Nube | Autodesk. Available online: https://www.autodesk.com/es/products/fusion-360/overview?us_oa=dotcom-us&us_si=07b5cb92-dd1b-477a-a2dc-1870cb31b19c&us_st=Fusion&us_pt=NINVFUS&term=1-YEAR&tab=subscription&plc=FSN (accessed on 13 September 2024).
- SOLIDWORKS. Available online: https://www.solidworks.com/es (accessed on 13 September 2024).
- MATLAB—El Lenguaje del Cálculo Técnico. Available online: https://es.mathworks.com/products/matlab.html (accessed on 30 August 2024).
- Galli, A.; Peruzzi, C.; Gangi, F.; Masseroni, D. ArduHydro: A low-cost device for water level measurement and monitoring. J. Agric. Eng. 2024, 1544. [Google Scholar] [CrossRef]
- Wang, M.; Shi, B.; Catsamas, S.; Kolotelo, P.; McCarthy, D. A Compact, Low-Cost, and Low-Power Turbidity Sensor for Continuous In Situ Stormwater Monitoring. Sensors 2024, 24, 3926. [Google Scholar] [CrossRef] [PubMed]
- Hagh, S.F.; Amngostar, P.; Chen, W.; Sheridan, J.; Williams, C.J.; Morales-Williams, A.M.; Xia, T. A Low-Cost LoRa Optical Fluorometer-Nephelometer for Wireless Monitoring of Water Quality Parameters in Real-Time. IEEE Sens. J. 2024, 24, 21511–21519. [Google Scholar] [CrossRef]
- Jais, N.A.M.; Abdullah, A.F.; Kassim, M.S.M.; Abd Karim, M.M.; Abdulsalam, M.; Muhadi, N.A. Improved accuracy in IoT-Based water quality monitoring for aquaculture tanks using low-cost sensors: Asian seabass fish farming. Heliyon 2024, 10, e29022. [Google Scholar] [CrossRef] [PubMed]
- Kageyama, T.; Hara, S.; Sarno, R.; Matsunaga, T.; Lee, S.S. Novel Sensor Using ISFET and Pt Electrodes for Water pH and Flow Speed Measurement. IEEE Sens. Lett. 2024, 8, 6010304. [Google Scholar] [CrossRef]
- Viciano-Tudela, S.; Parra, L.; Sendra, S.; Lloret, J. A low-cost virtual sensor for underwater ph monitoring in coastal waters. Chemosensors 2023, 11, 215. [Google Scholar] [CrossRef]
- Rodriguez, A.; Dieguez, P.; Urroz, J.C.; Bravo, M.; Lopez, J.; Lopez-Amo, M. Optical fiber sensor for water velocity measurement in rivers and channels. Sci. Rep. 2024, 14, 13377. [Google Scholar] [CrossRef]
- Gandhi, M.; Mathew, A.; Chaudhari, S.; Shaik, R.; Vattem, A. IoT and ML-based Water Flow Estimation using Pressure Sensor. In Proceedings of the 2023 IEEE 20th India Council International Conference (INDICON), Hyderabad, India, 14–17 December 2023; IEEE: Piscataway, NJ, USA; pp. 892–897. [Google Scholar]
- da Silva, R.P.P.; Samadi, F.; Woodbury, K.; Carpenter, J. Flow Measurement Through Machine Learning: A Novel Non-Intrusive Volumetric Flow Meter. In Proceedings of the Heat Transfer Summer Conference, Anaheim, CA, USA, 15–17 July 2024; American Society of Mechanical Engineers: New York, NY, USA; Volume 87905, p. V001T14A007. [Google Scholar]
- Puertas, E.J.A.; Salgado, W.L.; de Freitas Dam, R.S.; Salgado, C.M. Development of a correlator for flow measurement in pipelines using gamma radiation and cross-correlation function. Flow Meas. Instrum. 2023, 93, 102442. [Google Scholar] [CrossRef]
- Alencar, G.M.R.D.; Fernandes, F.M.L.; Moura Duarte, R.; Melo, P.F.D.; Cardoso, A.A.; Gomes, H.P.; Villanueva, J.M.M. A Soft Sensor for Flow Estimation and Uncertainty Analysis Based on Artificial Intelligence: A Case Study of Water Supply Systems. Automation 2024, 5, 106–127. [Google Scholar] [CrossRef]
- Parra, L.; Viciano-Tudela, S.; Carrasco, D.; Sendra, S.; Lloret, J. Low-cost microcontroller-based multiparametric probe for coastal area monitoring. Sensors 2023, 23, 1871. [Google Scholar] [CrossRef]
- Parra, L.; Rocher, J.; Escrivá, J.; Lloret, J. Design and development of low cost smart turbidity sensor for water quality monitoring in fish farms. Aquac. Eng. 2018, 81, 10–18. [Google Scholar] [CrossRef]



















| No. | Measurement Time (s) | Measured Volume (cm3) | Flow Rate (cm3/s) | Velocity (cm/s) | Time (s) |
|---|---|---|---|---|---|
| 1 | 21.06 | 930 | 44.15 | 8.71 | 13.06 |
| 2 | 23.24 | 990 | 42.61 | 8.41 | 59.26 |
| 3 | 23.68 | 925 | 39.06 | 7.71 | 165.26 |
| 4 | 24.08 | 905 | 37.58 | 7.42 | 209.45 |
| 5 | 26.11 | 942 | 36.08 | 7.12 | 254.53 |
| 6 | 28.90 | 992 | 34.32 | 6.77 | 307.07 |
| 7 | 29.11 | 948 | 32.57 | 6.43 | 359.53 |
| 8 | 30.20 | 920 | 30.46 | 6.01 | 422.38 |
| 9 | 33.87 | 962 | 28.40 | 5.61 | 483.97 |
| Fluid | Turbidity (NTU) |
|---|---|
| Potable water | 2 |
| Water with chlorophyll | 10 |
| Runoff | 60 |
| Tracer | 25 |
| LEDs | Mean Absolute Error (cm/s) | Mean Relative Error (%) |
|---|---|---|
| White | 0.70 | 9.23 |
| Red | 0.62 | 8.36 |
| Yellow | 0.58 | 8.04 |
| Green | 0.71 | 9.58 |
| Blue | 0.56 | 7.59 |
| Average | 0.63 | 8.56 |
| LEDs | Mean Absolute Error (cm/s) | Mean Relative Error (%) |
|---|---|---|
| White | 0.74 | 9.68 |
| Red | 0.65 | 8.44 |
| Yellow | 0.54 | 6.80 |
| Green | 0.83 | 11.83 |
| Blue | 0.71 | 9.02 |
| Average | 0.69 | 9.15 |
| Time (ms) | Predicted Velocity (cm/s) | LED |
|---|---|---|
| 169,705 | 7.05 | Blue |
| 170,105 | 6.99 | White |
| 190,855 | 6.89 | Blue |
| 190,909 | 6.99 | Green |
| 191,727 | 7.05 | White |
| Components | Cost (EUR) |
|---|---|
| Arduino Mega 2560 Rev3 | 51.20 |
| LEDs | 5.00 |
| LDRs | 5.00 |
| Resistors | 4.00 |
| Cables | 5.00 |
| Breadboard | 10.00 |
| Transparent pipe | 5.00 |
| Housing | 10.00 |
| Total | 95.20 |
Disclaimer/Publisher’s Note: The statements, opinions and data contained in all publications are solely those of the individual author(s) and contributor(s) and not of MDPI and/or the editor(s). MDPI and/or the editor(s) disclaim responsibility for any injury to people or property resulting from any ideas, methods, instructions or products referred to in the content. |
© 2024 by the authors. Licensee MDPI, Basel, Switzerland. This article is an open access article distributed under the terms and conditions of the Creative Commons Attribution (CC BY) license (https://creativecommons.org/licenses/by/4.0/).
Share and Cite
Silva Alvarado, V.L.; Heydari, A.; Parra, L.; Lloret, J.; Tomas, J. Proposal for Low-Cost Optical Sensor for Measuring Flow Velocities in Aquatic Environments. Sensors 2024, 24, 6868. https://doi.org/10.3390/s24216868
Silva Alvarado VL, Heydari A, Parra L, Lloret J, Tomas J. Proposal for Low-Cost Optical Sensor for Measuring Flow Velocities in Aquatic Environments. Sensors. 2024; 24(21):6868. https://doi.org/10.3390/s24216868
Chicago/Turabian StyleSilva Alvarado, Vinie Lee, Arman Heydari, Lorena Parra, Jaime Lloret, and Jesus Tomas. 2024. "Proposal for Low-Cost Optical Sensor for Measuring Flow Velocities in Aquatic Environments" Sensors 24, no. 21: 6868. https://doi.org/10.3390/s24216868
APA StyleSilva Alvarado, V. L., Heydari, A., Parra, L., Lloret, J., & Tomas, J. (2024). Proposal for Low-Cost Optical Sensor for Measuring Flow Velocities in Aquatic Environments. Sensors, 24(21), 6868. https://doi.org/10.3390/s24216868

