Evaluating the Patterns of Maize Development in the Hetao Irrigation Region Using the Sentinel-1 GRD SAR Bipolar Descriptor
Abstract
1. Introduction
2. Materials and Methods
2.1. Study Area
2.2. Experimental Design
2.3. Experimental Remote Sensing Monitoring
2.4. Data and Processing
2.4.1. Meteorological Data
2.4.2. Soil Moisture Content
2.4.3. Hydroclimatological Information
2.5. Research Methodology
2.5.1. Unsupervised Clustering Framework
2.5.2. Implementing Dual-Polarization Descriptors Based on Sentinel-1 in GEE
3. Results
3.1. Impact of Climate and Irrigation on Maize Growth
3.2. Impact of Evapotranspiration on Maize Growth
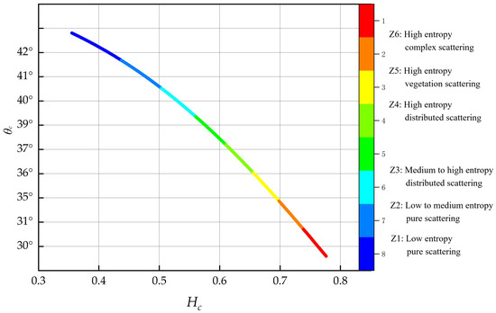
3.3. Analysis of Performance and Applicability Based on Bipolar Descriptors
3.4. Analysis of the Dynamic Growth of Maize with Dual Polarization Descriptors
4. Discussion
4.1. The Importance of Bipolar Descriptors in Combination with Unsupervised Clustering Frameworks
4.2. Insights Gained from Dual Polarization Descriptors in the Monitoring of Physical Parameters in Maize
4.3. Limitations and Prospects
5. Conclusions
Author Contributions
Funding
Informed Consent Statement
Data Availability Statement
Conflicts of Interest
References
- Dey, S.; Bhogapurapu, N.; Homayouni, S.; Bhattacharya, A.; McNairn, H. Unsupervised classification of crop growth stages with scattering parameters from dual-pol sentinel-1 SAR data. Remote Sens. 2021, 13, 4412. [Google Scholar] [CrossRef]
- Wang, H.; Magagi, R.; Goïta, K.; Trudel, M.; McNairn, H.; Powers, J. Crop phenology retrieval via polarimetric SAR decomposition and Random Forest algorithm. Remote Sens. Environ. 2019, 231, 111234. [Google Scholar] [CrossRef]
- Betbeder, J.; Fieuzal, R.; Philippets, Y.; Ferro-Famil, L.; Baup, F. Contribution of multitemporal polarimetric synthetic aperture radar data for monitoring winter wheat and rapeseed crops. J. Appl. Remote Sens. 2016, 10, 026020. [Google Scholar] [CrossRef]
- Chen, S.W.; Li, Y.Z.; Wang, X.S. Crop discrimination based on polarimetric correlation coefficients optimization for PolSAR data. Int. J. Remote Sens. 2015, 36, 4233–4249. [Google Scholar] [CrossRef]
- Xie, L.; Zhang, H.; Li, H.; Wang, C. A unified framework for crop classification in southern China using fully polarimetric, dual polarimetric, and compact polarimetric SAR data. Int. J. Remote Sens. 2015, 36, 3798–3818. [Google Scholar] [CrossRef]
- Mandal, D.; Ratha, D.; Bhattacharya, A.; Kumar, V.; McNairn, H.; Rao, Y.S.; Frery, A.C. A radar vegetation index for crop monitoring using compact polarimetric SAR data. IEEE Trans. Geosci. Remote Sens. 2020, 58, 6321–6335. [Google Scholar] [CrossRef]
- Silva-Perez, C.; Marino, A.; Lopez-Sanchez, J.M.; Cameron, I. Multitemporal polarimetric SAR change detection for crop monitoring and crop type classification. IEEE J. Sel. Top. Appl. Earth Obs. Remote Sens. 2021, 14, 12361–12374. [Google Scholar] [CrossRef]
- Ye, Y.; Zhang, X.; Shen, Y.; Wang, J.; Crimmins, T.; Scheifinger, H. An optimal method for validating satellite-derived land surface phenology using in-situ observations from national phenology networks. ISPRS J. Photogramm. Remote Sens. 2022, 194, 74–90. [Google Scholar] [CrossRef]
- Nietupski, T.C.; Kennedy, R.E.; Temesgen, H.; Kerns, B.K. Spatiotemporal image fusion in Google Earth Engine for annual estimates of land surface phenology in a heterogeneous landscape. Int. J. Appl. Earth Obs. Geoinf. 2021, 99, 102323. [Google Scholar]
- Dunn, A.H.; de Beurs, K.M. Land surface phenology of North American mountain environments using moderate resolution imaging spectroradiometer data. Remote Sens. Environ. 2011, 115, 1220–1233. [Google Scholar] [CrossRef]
- Lu, J.; He, T.; Song, D.X.; Wang, C.Q. Land surface phenology retrieval through spectral and angular harmonization of Landsat-8, Sentinel-2, and Gaofen-1 data. Remote Sens. 2022, 14, 1296. [Google Scholar] [CrossRef]
- Frantz, D.; Stellmes, M.; Röder, A.; Udelhoven, T.; Mader, S.; Hill, J. Improving the spatial resolution of land surface phenology by fusing medium-and coarse-resolution inputs. IEEE Trans. Geosci. Remote Sens. 2016, 54, 4153–4164. [Google Scholar] [CrossRef]
- Haldar, D.; Dave, R.; Dave, V.A. Evaluation of full-polarimetric parameters for vegetation monitoring in rabi (winter) season. Egypt. J. Remote Sens. Space Sci. 2018, 21, S67–S73. [Google Scholar] [CrossRef]
- Chen, S.W. Polarimetric coherence pattern: A visualization and characterization tool for PolSAR data investigation. IEEE Trans. Geosci. Remote Sens. 2017, 56, 286–297. [Google Scholar] [CrossRef]
- Harfenmeister, K.; Itzerott, S.; Weltzien, C.; Spengler, D. Agricultural monitoring using polarimetric decomposition parameters of sentinel-1 data. Remote Sens. 2021, 13, 575. [Google Scholar] [CrossRef]
- Jiao, X.; Kovacs, J.M.; Shang, J.; McNairn, H.; Walters, D.; Ma, B.; Geng, X. Object-oriented crop mapping and monitoring using multi-temporal polarimetric RADARSAT-2 data. ISPRS J. Photogramm. Remote Sens. 2014, 96, 38–46. [Google Scholar] [CrossRef]
- Xie, Q.; Wang, J.; Liao, C.; Shang, J.; Lopez-Sanchez, J.M.; Fu, H.; Liu, X. On the use of Neumann decomposition for crop classification using multi-temporal RADARSAT-2 polarimetric SAR data. Remote Sens. 2019, 11, 776. [Google Scholar] [CrossRef]
- Touzi, R. Target scattering decomposition in terms of roll-invariant target parameters. IEEE Trans. Geosci. Remote Sens. 2006, 45, 73–84. [Google Scholar] [CrossRef]
- Muhuri, A.; Goïta, K.; Magagi, R.; Wang, H. Geodesic distance based scattering power decomposition for compact polarimetric SAR data. IEEE Trans. Geosci. Remote Sens. 2023. [Google Scholar] [CrossRef]
- Mascolo, L.; Lopez-Sanchez, J.M.; Vicente-Guijalba, F.; Nunziata, F.; Migliaccio, M.; Mazzarella, G. A complete procedure for crop phenology estimation with PolSAR data based on the complex Wishart classifier. IEEE Trans. Geosci. Remote Sens. 2016, 54, 6505–6515. [Google Scholar] [CrossRef]
- Homayouni, S.; McNairn, H.; Hosseini, M.; Jiao, X.; Powers, J. Quad and compact multitemporal C-band PolSAR observations for crop characterization and monitoring. Int. J. Appl. Earth Obs. Geoinf. 2019, 74, 78–87. [Google Scholar] [CrossRef]
- Bhogapurapu, N.; Dey, S.; Bhattacharya, A.; Mandal, D.; Lopez-Sanchez, J.M.; McNairn, H.; López-Martínez, C.; Rao, Y.S. Dual-polarimetric descriptors from Sentinel-1 GRD SAR data for crop growth assessment. ISPRS J. Photogramm. Remote Sens. 2021, 178, 20–35. [Google Scholar] [CrossRef]
- Bhogapurapu, N.; Dey, S.; Mandal, D.; Bhattacharya, A.; Karthikeyan, L.; McNairn, H.; Rao, Y.S. Soil moisture retrieval over croplands using dual-pol L-band GRD SAR data. Remote Sens. Environ. 2022, 271, 112900. [Google Scholar] [CrossRef]
- Zeyada, H.H.; Ezz, M.M.; Nasr, A.H.; Shokr, M.; Harb, H.M. Evaluation of the discrimination capability of full polarimetric SAR data for crop classification. Int. J. Remote Sens. 2016, 37, 2585–2603. [Google Scholar] [CrossRef]
- Zhang, M.; Yuan, N.; Lin, H.; Liu, Y.; Zhang, H. Quantitative estimation of the factors impacting spatiotemporal variation in NPP in the Dongting Lake wetlands using Landsat time series data for the last two decades. Ecol. Indic. 2022, 135, 108544. [Google Scholar] [CrossRef]
- Chen, Y.; Xu, H.; Zhang, X.; Gao, P.; Xu, Z.; Huang, X. An object detection method for bayberry trees based on an improved YOLO algorithm. Int. J. Digit. Earth 2023, 16, 781–805. [Google Scholar] [CrossRef]
- Zhang, J.; Tian, M.; Yang, Z.; Li, J.; Zhao, L. An improved target detection method based on YOLOv5 in natural orchard environments. Comput. Electron. Agric. 2024, 219, 108780. [Google Scholar] [CrossRef]
- Zhang, Q.; Chai, J.; Xu, Z.; Qin, Y. Investigation of irrigation canal seepage losses through the use of four different methods in Hetao Irrigation District, China. J. Hydrol. Eng. 2017, 22, 05016035. [Google Scholar] [CrossRef]
- Salehi, B.; Daneshfar, B.; Davidson, A.M. Accurate crop-type classification using multi-temporal optical and multi-polarization SAR data in an object-based image analysis framework. Int. J. Remote Sens. 2017, 38, 4130–4155. [Google Scholar] [CrossRef]
- Wei, X.; Yang, J.; Luo, P.; Lin, L.; Lin, K.; Guan, J. Assessment of the variation and influencing factors of vegetation NPP and carbon sink capacity under different natural conditions. Ecol. Indic. 2022, 138, 108834. [Google Scholar] [CrossRef]
- Zheng, H.; Hou, H.; Li, R.; Tong, C. Trend Prediction of Vegetation and Drought by Informer Model Based on STL-EMD Decomposition of Ha Cai Tou Dang Water Source Area in the Maowusu Sandland. Agronomy 2024, 14, 708. [Google Scholar] [CrossRef]
- Zhang, W.; Li, Z.; Chen, E.; Zhang, Y.; Yang, H.; Zhao, L.; Ji, Y. Compact polarimetric response of rape (Brassica napus L.) at C-band: Analysis and growth parameters inversion. Remote Sens. 2017, 9, 591. [Google Scholar] [CrossRef]
- Khosravi, I.; Alavipanah, S.K. A random forest-based framework for crop mapping using temporal, spectral, textural and polarimetric observations. Int. J. Remote Sens. 2019, 40, 7221–7251. [Google Scholar] [CrossRef]
- Alonso González, A.; López Martínez, C.; Papathanassiou, K.; Hajnsek, I. Polarimetric SAR time series change analysis over agricultural areas. IEEE Trans. Geosci. Remote Sens. 2020, 58, 7317–7330. [Google Scholar] [CrossRef]
- Shi, L.; Sun, W.; Yang, J.; Zhang, L. Polarimetric calibration of linear dual-pol SAR when corner reflectors are unavailable. ISPRS J. Photogramm. Remote Sens. 2024, 214, 209–230. [Google Scholar] [CrossRef]
- Zhang, C.; Kang, F.; Wang, Y. An improved apple object detection method based on lightweight YOLOv4 in complex backgrounds. Remote Sens. 2022, 14, 4150. [Google Scholar] [CrossRef]
- Bao, X.; Zhang, R.; Shama, A.; Liu, A.; Yang, Y.; Wang, T. Vegetation descriptors derived from dual-polarization SAR imagery for monitoring agricultural crop growth. In Proceedings of the IET International Radar Conference (IRC 2023), Chongqing, China, 3–5 December 2023. [Google Scholar]
- Mandal, D.; Kumar, V.; Ratha, D.; Dey, S.; Bhattacharya, A.; Lopez-Sanchez, J.M.; McNairn, H.; Rao, Y.S. Dual polarimetric radar vegetation index for crop growth monitoring using sentinel-1 SAR data. Remote Sens. Environ. 2020, 247, 111954. [Google Scholar] [CrossRef]
- Ballesteros, R.; Moreno, M.A.; Barroso, F.; González-Gómez, L.; Ortega, J.F. Assessment of Maize Growth and Development with High-and Medium-Resolution Remote Sensing Products. Agronomy 2021, 11, 940. [Google Scholar] [CrossRef]
- Zhang, B.; Wdowinski, S.; Gann, D.; Hong, S.H.; Sah, J. Spatiotemporal variations of wetland backscatter: The role of water depth and vegetation characteristics in Sentinel-1 dual-polarization SAR observations. Remote Sens. Environ. 2022, 270, 112864. [Google Scholar] [CrossRef]
- Shirvany, R.; Chabert, M.; Tourneret, J.Y. Estimation of the degree of polarization for hybrid/compact and linear dual-pol SAR intensity images: Principles and applications. IEEE Trans. Geosci. Remote Sens. 2012, 51, 539–551. [Google Scholar] [CrossRef]
- Yin, J.; Papathanassiou, K.P.; Yang, J. Formalism of Compact Polarimetric Descriptors and Extension of the ΔαB/αB Method for General Compact-Pol SAR. IEEE Trans. Geosci. Remote Sens. 2019, 57, 10322–10335. [Google Scholar] [CrossRef]
- Mishra, D.; Pathak, G.; Singh, B.P.; Mohit; Sihag, P.; Rajeev; Singh, S. Crop classification by using dual-pol SAR vegetation indices derived from Sentinel-1 SAR-C data. Environ. Monit. Assess. 2023, 195, 115. [Google Scholar] [CrossRef]
- Kumar, A.; Kumar, D. Urban features identification from dual-pol SAR images with filter properties. J. Landsc. Ecol. 2020, 13, 39–62. [Google Scholar] [CrossRef]
- Verma, A.; Bhattacharya, A.; Dey, S.; López-Martínez, C.; Gamba, P. Scattering power components from dual-pol Sentinel-1 SLC and GRD SAR data. ISPRS J. Photogramm. Remote Sens. 2024, 212, 289–305. [Google Scholar] [CrossRef]
- Kumar, A.; Mishra, V.; Panigrahi, R.K.; Martorella, M. Application of Hybrid-pol SAR in Oil-spill Detection. IEEE Geosci. Remote Sens. Lett. 2023, 20, 1–5. [Google Scholar] [CrossRef]
- Kim, M.; Lee, S.J.; Park, S.E. On Unsupervised Multiclass Change Detection Using Dual-Polarimetric SAR Data. Remote Sens. 2024, 16, 2858. [Google Scholar] [CrossRef]
- Park, S.E.; Lee, S.G. On the use of single-, dual-, and quad-polarimetric SAR observation for landslide detection. ISPRS Int. J. Geo-Inf. 2019, 8, 384. [Google Scholar] [CrossRef]
- Sonobe, R.; Tani, H.; Wang, X.; Kobayashi, N.; Shimamura, H. Random forest classification of crop type using multi-temporal TerraSAR-X dual-polarimetric data. Remote Sens. Lett. 2014, 5, 157–164. [Google Scholar] [CrossRef]
- Song, Q.; Xu, F.; Jin, Y. Reconstruction full-pol SAR data from single-pol SAR image using deep neural network. In Proceedings of the 2018 China International SAR Symposium (CISS), Shanghai, China, 10–12 October 2018; pp. 1–4. [Google Scholar]
- Wali, E.; Tasumi, M.; Moriyama, M. Combination of linear regression lines to understand the response of sentinel-1 dual polarization sar data with crop phenology—Case study in Miyazaki, Japan. Remote Sens. 2020, 12, 189. [Google Scholar] [CrossRef]
- Larrañaga, A.; Álvarez-Mozos, J. On the added value of quad-pol data in a multi-temporal crop classification framework based on RADARSAT-2 imagery. Remote Sens. 2016, 8, 335. [Google Scholar] [CrossRef]
- Deodoro, S.C.; de Andrade Moral, R.; Fealy, R.; McCarthy, T.; Fealy, R. Using the surface scattering mechanism from dual-pol SAR data to estimate topsoil particle-sizefractions. Int. J. Appl. Earth Obs. Geoinf. 2024, 128, 103742. [Google Scholar] [CrossRef]
- Bhogapurapu, N.; Dey, S.; Verma, A.; Bhattacharya, A.; López-Marítnez, C.; Pankajakshan, P. Crop Growth Assessment Using Sentinel-1 GRD SAR Descriptors. In Proceedings of the 2021 IEEE International India Geoscience and Remote Sensing Symposium (InGARSS), Virtual, 6–10 December 2021; pp. 545–548. [Google Scholar]
- Shirvany, R.; Chabert, M.; Tourneret, J.Y. Comparison of ship detection performance based on the degree of polarization in hybrid/compact and linear dual-pol SAR imagery. In Proceedings of the 2011 IEEE International Geoscience and Remote Sensing Symposium, Vancouver, BC, Canada, 24–29 July 2011; pp. 3550–3553. [Google Scholar]
- Krylov, V.A.; Moser, G.; Serpico, S.B.; Zerubia, J. Supervised high-resolution dual-polarization SAR image classification by finite mixtures and copulas. IEEE J. Sel. Top. Signal Process. 2011, 5, 554–566. [Google Scholar] [CrossRef]
- Pelich, R.; Lopez-Martinez, C.; Chini, M.; Hostache, R.; Matgen, P.; Ries, P.; Eiden, G. Exploring dual-polarimetic descriptors for sentinel-L based ship detection. In Proceedings of the IGARSS 2018-2018 IEEE International Geoscience and Remote Sensing Symposium, Valencia, Spain, 22–27 July 2018; pp. 2404–2407. [Google Scholar]
- Singha, S.; Ressel, R. Arctic sea ice characterization using RISAT-1 compact-pol SAR imagery and feature evaluation: A case study over Northeast Greenland. IEEE J. Sel. Top. Appl. Earth Obs. Remote Sens. 2017, 10, 3504–3514. [Google Scholar] [CrossRef]
- Ainsworth, T.L.; Kelly, J.; Lee, J.S. Polarimetric analysis of dual polarimetric SAR imagery. In Proceedings of the 7th European Conference on Synthetic Aperture Radar, Friedrichshafen, Germany, 2–5 June 2008; pp. 1–4. [Google Scholar]
- Valcarce-Diñeiro, R.; Arias-Pérez, B.; Lopez-Sanchez, J.M.; Sánchez, N. Multi-temporal dual-and quad-polarimetric synthetic aperture radar data for crop-type mapping. Remote Sens. 2019, 11, 1518. [Google Scholar] [CrossRef]
- Lu, Y.; Yang, C.; Meng, Z. Lithology discrimination using Sentinel-1 dual-pol data and SRTM data. Remote Sens. 2021, 13, 1280. [Google Scholar] [CrossRef]












| Date | DOY | Acquisition Mode | Incidence Angle Range (deg.) | Orbit |
|---|---|---|---|---|
| 6 May 2019 | 126 | IW | 41.95–43.10 | Ascending |
| 18 May 2019 | 138 | IW | 38.94–41.91 | Ascending |
| 30 May 2019 | 150 | IW | 40.12–42.13 | Ascending |
| 11 June 2019 | 162 | IW | 38.99–40.64 | Ascending |
| 23 June 2019 | 174 | IW | 34.80–39.32 | Ascending |
| 5 July 2019 | 186 | IW | 35.61–36.13 | Ascending |
| 17 July 2019 | 198 | IW | 32.63–37.86 | Ascending |
| 29 July 2019 | 210 | IW | 26.73–32.04 | Ascending |
| 10 August 2019 | 222 | IW | 26.82–33.07 | Ascending |
| 22 August 2019 | 234 | IW | 24.26–34.41 | Ascending |
| 3 September 2019 | 246 | IW | 34.82–37.81 | Ascending |
| 15 September 2019 | 258 | IW | 35.92–38.77 | Ascending |
| 27 September 2019 | 270 | IW | 35.50–40.24 | Ascending |
| Soil Depth (cm) | Field Water Retention (%) | Percentage of Saturated Water Content (%) | Volume Weight of Soil (g·cm−3) |
|---|---|---|---|
| 0~20 | 21.14 | 36.29 | 1.55 |
| 20~40 | 21.49 | 36.43 | 1.56 |
| 40~60 | 21.67 | 36.89 | 1.56 |
| 60~80 | 21.88 | 37.42 | 1.48 |
| 80~100 | 21.83 | 37.51 | 1.38 |
| Characteristics/Method | Dual-Polarization Sentinel-1A GRD SAR Unsupervised Clustering | YOLO Algorithm |
|---|---|---|
| Application Domain | Remote sensing, crop growth monitoring | Vegetation monitoring, computer vision |
| Input Data Type | SAR imagery (VV and VH polarizations) | Optical remote sensing imagery |
| Algorithm Type | Unsupervised learning, mainly for data clustering and time-series analysis | Supervised learning, CNN for classification and detection |
| Suitable Scenarios | Monitoring large geographic areas and dynamic changes (e.g., farmland) | Object detection in single-frame or real-time scenarios (e.g., autonomous driving, surveillance) |
| Data Processing | Extracting spatiotemporal features through polarization descriptors (ratio, difference, intensity) | Learning features through convolutional networks for object identification in image regions |
| Spatial Coverage | Large geographic coverage, suitable for monitoring Earth’s surface dynamics | Local image detection is typically used for detecting objects in smaller areas. |
| Time-series Analysis | Supports long-term, multi-occasion monitoring (data from multiple time points) | Not suitable for time-series analysis, it focuses on single-frame images or consecutive video frames. |
| Annotation Requirement | Unsupervised learning, no need for large amounts of labeled data | Requires a large amount of labeled data for supervised learning and object detection |
| Computational Cost | Suitable for large-scale data processing using platforms such as GEE | High computational cost, especially for real-time detection on high-resolution images |
| Precision | 1. Improved accuracy in time dimension through multi-temporal SAR data 2. High spatial resolution, suitable for large-scale monitoring | 1. High accuracy in real-time object detection, especially in dynamic scenes 2. Label quality of training data significantly impacts accuracy |
Disclaimer/Publisher’s Note: The statements, opinions and data contained in all publications are solely those of the individual author(s) and contributor(s) and not of MDPI and/or the editor(s). MDPI and/or the editor(s) disclaim responsibility for any injury to people or property resulting from any ideas, methods, instructions or products referred to in the content. |
© 2024 by the authors. Licensee MDPI, Basel, Switzerland. This article is an open access article distributed under the terms and conditions of the Creative Commons Attribution (CC BY) license (https://creativecommons.org/licenses/by/4.0/).
Share and Cite
Zheng, H.; Hou, H.; Tian, D.; Tong, C.; Qin, Z. Evaluating the Patterns of Maize Development in the Hetao Irrigation Region Using the Sentinel-1 GRD SAR Bipolar Descriptor. Sensors 2024, 24, 6864. https://doi.org/10.3390/s24216864
Zheng H, Hou H, Tian D, Tong C, Qin Z. Evaluating the Patterns of Maize Development in the Hetao Irrigation Region Using the Sentinel-1 GRD SAR Bipolar Descriptor. Sensors. 2024; 24(21):6864. https://doi.org/10.3390/s24216864
Chicago/Turabian StyleZheng, Hexiang, Hongfei Hou, Delong Tian, Changfu Tong, and Ziyuan Qin. 2024. "Evaluating the Patterns of Maize Development in the Hetao Irrigation Region Using the Sentinel-1 GRD SAR Bipolar Descriptor" Sensors 24, no. 21: 6864. https://doi.org/10.3390/s24216864
APA StyleZheng, H., Hou, H., Tian, D., Tong, C., & Qin, Z. (2024). Evaluating the Patterns of Maize Development in the Hetao Irrigation Region Using the Sentinel-1 GRD SAR Bipolar Descriptor. Sensors, 24(21), 6864. https://doi.org/10.3390/s24216864

