Comparative Characteristics of Immunochromatographic Test Systems for Tylosin Antibiotic in Meat Products
Abstract
1. Introduction
2. Materials and Methods
2.1. Reagents and Materials
2.2. Synthesis and Characterization of Gold Nanoparticles
2.3. Conjugation of GNPs with Antibodies
2.4. Determination of the Amount of Antibodies Conjugated with GNPs
2.5. Test Strips Production
2.6. Implementation of LFIA
2.6.1. LFIA with Direct Labeling of Antibodies
2.6.2. LFIA with Indirect Labeling of Antibodies
2.6.3. LFIA with Indirect Labeling of Antibodies and Step-by-Step Addition of Reagents
2.7. Meat Samples Preparation
2.8. Processing Test Strip Images and Calculating Assay Parameters
3. Results
3.1. Characterization of GNP
3.2. Determination of the Amount of Antibodies in Conjugates with GNPs
3.3. Choice of Conditions for Tylosin LFIA with Direct and Indirect Labeling of Specific Antibodies
3.3.1. LFIA with Direct Antibody Labeling
3.3.2. LFIA with Indirect Antibody Labeling
3.4. Assessment of Analytical Characteristics of LFIAs with Direct and Indirect Antibody Labeling
3.5. Approbation of LFIA with Indirect Antibody Labeling in Meat Extract
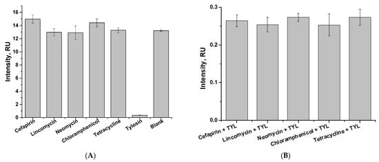
3.6. Selectivity of Indirect LFIA for Tylosin
3.7. Comparison with Other Studies
4. Conclusions
Supplementary Materials
Author Contributions
Funding
Institutional Review Board Statement
Informed Consent Statement
Data Availability Statement
Acknowledgments
Conflicts of Interest
References
- Manyi-Loh, C.; Mamphweli, S.; Meyer, E.; Okoh, A. Antibiotic use in agriculture and its consequential resistance in environmental sources: Potential public health implications. Molecules 2018, 23, 795. [Google Scholar] [CrossRef] [PubMed]
- Tserenov, I.V.; Mosolov, A.A.; Slozenkina, M.I.; Buhtin, A.A.; Fedotova, A.M.; Mosolova, N.I.; Yuldashbaeva, Z.Y. Impact of livestock production technology on ecology and environmental quality. IOP Conf. Ser. Earth Environ. Sci. 2022, 981, 022097. [Google Scholar] [CrossRef]
- Tiseo, K.; Huber, L.; Gilbert, M.; Robinson, T.P.; Van Boeckel, T.P. Global trends in antimicrobial use in food animals from 2017 to 2030. Antibiotics 2020, 9, 918. [Google Scholar] [CrossRef] [PubMed]
- Ghimpețeanu, O.M.; Pogurschi, E.N.; Popa, D.C.; Dragomir, N.; Drăgotoiu, T.; Mihai, O.D.; Petcu, C.D. Antibiotic use in livestock and residues in food-a public health threat: A review. Foods 2022, 11, 1430. [Google Scholar] [CrossRef] [PubMed]
- Oliveira, N.; Gonçalves, B.; Lee, S.; Oliveira, C.; Corassin, C. Use of antibiotics in animal production and its impact on human health. J. Food Chem. Nanotechnol. 2020, 6, 40–47. [Google Scholar] [CrossRef]
- Robles-Jimenez, L.E.; Aranda-Aguirre, E.; Castelan-Ortega, O.A.; Shettino-Bermudez, B.S.; Ortiz-Salinas, R.; Miranda, M.; Li, X.; Angeles-Hernandez, J.C.; Vargas-Bello-Pérez, E.; Gonzalez-Ronquillo, M. Worldwide traceability of antibiotic residues from livestock in wastewater and soil: A systematic review. Animals 2022, 12, 60. [Google Scholar] [CrossRef]
- Salam, M.A.; Al-Amin, M.Y.; Salam, M.T.; Pawar, J.S.; Akhter, N.; Rabaan, A.A.; Alqumber, M.A.A. Antimicrobial resistance: A growing serious threat for global public health. Healthcare 2023, 11, 1946. [Google Scholar] [CrossRef]
- Khmaissa, M.; Zouari-Mechichi, H.; Sciara, G.; Record, E.; Mechichi, T. Pollution from livestock farming antibiotics an emerging environmental and human health concern: A review. J. Hazard. Mater. Adv. 2024, 13, 100410. [Google Scholar] [CrossRef]
- Chen, J.; Ying, G.-G.; Deng, W.-J. Antibiotic residues in food: Extraction, analysis, and human health concerns. J. Agric. Food Chem. 2019, 67, 7569–7586. [Google Scholar] [CrossRef]
- Nguyen, B.-A.T.; Chen, Q.-L.; He, J.-Z.; Hu, H.-W. Livestock manure spiked with the antibiotic tylosin significantly altered soil protist functional groups. J. Hazard. Mater. 2022, 427, 127867. [Google Scholar] [CrossRef]
- Kivits, T.; Broers, H.P.; Beeltje, H.; van Vliet, M.; Griffioen, J. Presence and fate of veterinary antibiotics in age-dated groundwater in areas with intensive livestock farming. Environ. Pollut. 2018, 241, 988–998. [Google Scholar] [CrossRef]
- Trufanov, D.; Akimenko, Y.; Kolesnikov, S.; Kazeev, K. Effects of veterinary antibiotics on the soil properties. In Emerging Contaminants; Kumari, A., Rajput, V.D., Mandzhieva, S.S., Minkina, T., van Hullebusch, E., Eds.; Woodhead Publishing: Sawston, UK, 2024; pp. 249–265. [Google Scholar]
- Papich, M.G. Tylosin. In Saunders Handbook of Veterinary Drugs, 4th ed.; Papich, M.G., Ed.; W.B. Saunders: St. Louis, MO, USA, 2016; pp. 826–827. [Google Scholar]
- Aronson, J.K. Tylosin. In Meyler’s Side Effects of Drugs, 16th ed.; Aronson, J.K., Ed.; Elsevier: Oxford, UK, 2016; p. 233. [Google Scholar]
- Lin, Q.; de Waal, T.; Van Schepdael, A.; Adams, E. A mass spectrometer-compatible liquid chromatographic method for the analysis of tylosin and its impurities using a superficially porous particle column. J. Pharm. Biomed. Anal. 2019, 165, 147–154. [Google Scholar] [CrossRef] [PubMed]
- Granados-Chinchilla, F.; Sánchez, J.; García, F.; Rodríguez, C. A novel green chemistry method for nonaqueous extraction and high-performance liquid chromatography detection of first-, second-, and third-generation tetracyclines, 4-epitetracycline, and tylosin in animal feeds. J. Agric. Food Chem. 2012, 60, 7121–7128. [Google Scholar] [CrossRef] [PubMed]
- Huang, J.-X.; Yao, C.-Y.; Yang, J.-Y.; Li, Z.-F.; He, F.; Tian, Y.-X.; Wang, H.; Xu, Z.-L.; Shen, Y.-D. Design of novel haptens and development of monoclonal antibody-based immunoassays for the simultaneous detection of tylosin and tilmicosin in milk and water samples. Biomolecules 2019, 9, 770. [Google Scholar] [CrossRef] [PubMed]
- Shan, S.; Lv, X.; Xiao, X.; Huang, Y.; Tong, X.; Lai, W.; Liu, C.; Wang, S.; Liu, D. Integrated double signal amplification systems with ELISA assay for sensitive detection of tylosin in food. Food Agric. Immunol. 2024, 35, 2292971. [Google Scholar] [CrossRef]
- Wei, C.; Wu, A.; Xu, L.; Xu, C.; Liu, L.; Kuang, H.; Xu, X. Recent progress on lateral flow immunoassays in foodborne pathogen detection. Food Biosci. 2023, 52, 102475. [Google Scholar] [CrossRef]
- Wang, P.; Li, J.; Guo, L.; Li, J.; He, F.; Zhang, H.; Chi, H. The developments on lateral flow immunochromatographic assay for food safety in recent 10 years: A review. Chemosensors 2024, 12, 88. [Google Scholar] [CrossRef]
- Di Nardo, F.; Chiarello, M.; Cavalera, S.; Baggiani, C.; Anfossi, L. Ten Years of Lateral Flow Immunoassay Technique Applications: Trends, Challenges and Future Perspectives. Sensors 2021, 21, 5185. [Google Scholar] [CrossRef] [PubMed]
- Liu, Z.; Chen, J.; Zhao, S.; Pang, Y.; Shen, X.; Lei, H.; Li, X. Immunochromatographic assays based on three kinds of nanoparticles for the rapid and highly sensitive detection of tylosin and tilmicosin in eggs. Microchim. Acta 2021, 189, 42. [Google Scholar] [CrossRef]
- Wang, Y.; Yang, J.-Y.; He, Y.; Li, L.; Huang, J.-X.; Tian, Y.-X.; Wang, H.; Xu, Z.-L.; Shen, Y.-D. Development of time-resolved fluorescence immunochromatographic assays for simultaneously detecting tylosin and tilmicosin in milk in group-screening manner. Foods 2021, 10, 1838. [Google Scholar] [CrossRef]
- Song, L.; Wang, Y.; Li, Q.; Wang, J.; Gao, T.; An, Z.; Liu, Q.; Mao, Y.; Bu, T.; Huang, X.; et al. Production of monoclonal antibody against tylosin and tilmicosin with homogeneous cross-reactivity and its application in lateral flow immunoassay. Microchim. Acta 2023, 191, 42. [Google Scholar] [CrossRef] [PubMed]
- Yang, J.; Wang, Y.; Zhang, Y.; Zeng, X.; Liu, J.; Tian, Y.; Wang, H.; Xu, Z.; Shen, Y. Reverse distal similarity of hapten structure enhancing antibody’s group-specificity: Development of an immunochromatographic strip for tylosin and tilmicosin in milk and water. J. Food Compos. Anal. 2023, 116, 105068. [Google Scholar] [CrossRef]
- Frens, G. Controlled nucleation for the regulation of the particle size in monodisperse gold suspensions. Nat. Phys. Sci. 1973, 241, 20–22. [Google Scholar] [CrossRef]
- Sotnikov, D.V.; Barshevskaya, L.V.; Zherdev, A.V.; Dzantiev, B.B. Enhanced Lateral Flow Immunoassay with Double Competition and Two Kinds of Nanoparticles Conjugates for Control of Insecticide Imidacloprid in Honey. Biosensors 2023, 13, 525. [Google Scholar] [CrossRef]
- Sotnikov, D.V.; Byzova, N.A.; Zherdev, A.V.; Dzantiev, B.B. Retention of activity by antibodies immobilized on gold nanoparticles of different sizes: Fluorometric method of determination and comparative evaluation. Nanomaterials 2021, 11, 3117. [Google Scholar] [CrossRef] [PubMed]
- Shim, W.B.; Kim, J.S.; Kim, M.G.; Chung, D.H. Rapid and sensitive immunochromatographic strip for on-site detection of sulfamethazine in meats and eggs. J. Food Sci. 2013, 78, M1575–M1581. [Google Scholar] [CrossRef] [PubMed]
- Parolo, C.; Sena-Torralba, A.; Bergua, J.F.; Calucho, E.; Fuentes-Chust, C.; Hu, L.; Rivas, L.; Álvarez-Diduk, R.; Nguyen, E.P.; Cinti, S.; et al. Tutorial: Design and fabrication of nanoparticle-based lateral-flow immunoassays. Nat. Protoc. 2020, 15, 3788–3816. [Google Scholar] [CrossRef]
- Wang, Z.; Zhao, J.; Xu, X.; Guo, L.; Xu, L.; Sun, M.; Hu, S.; Kuang, H.; Xu, C.; Li, A. An overview for the nanoparticles-based quantitative lateral flow assay. Small Methods 2022, 6, e2101143. [Google Scholar] [CrossRef]
- Thobhani, S.; Attree, S.; Boyd, R.; Kumarswami, N.; Noble, J.; Szymanski, M.; Porter, R.A. Bioconjugation characterisation of gold colloid-labelled proteins. J. Immunol. Methods 2010, 356, 60–69. [Google Scholar] [CrossRef]
- Kaur, K.; Forrest, J.A. Influence of particle size on the binding activity of proteins adsorbed onto gold nanoparticles. Langmuir 2012, 28, 2736–2744. [Google Scholar] [CrossRef]
- Davatgaran Taghipour, Y.; Kharrazi, S.; Amini, S.M. Antibody Conjugated Gold. Nanoparticles for Detection of Small Amounts of Antigen. Based on Surface Plasmon. Reson. (SPR) Spectra. Nanomed. Res. J. 2018, 3, 102–108. [Google Scholar] [CrossRef]
- Sotnikov, D.V.; Byzova, N.A.; Zherdev, A.V.; Dzantiev, B.B. Ability of antibodies immobilized on gold nanoparticles to bind small antigen fluorescein. Int. J. Mol. Sci. 2023, 24, 16967. [Google Scholar] [CrossRef] [PubMed]
- Lei, R.; Wang, D.; Arain, H.; Mohan, C. Design of gold nanoparticle vertical flow assays for point-of-care testing. Diagnostics 2022, 12, 1107. [Google Scholar] [CrossRef] [PubMed]
- Commission Regulation (EU) 37/2010 of 22 December 2009 on Pharmacologically Active Substances and Their Classification Regarding Maximum Residue Limits in Foodstuffs of Animal Origin. Available online: https://eur-lex.europa.eu/legal-content/EN/TXT/PDF/?uri=CELEX:02010R0037-20240408 (accessed on 30 September 2024).
- Le, T.; He, H.; Niu, X.; Chen, Y.; Xu, J. Development of an immunochromatographic assay for detection of tylosin and tilmicosin in muscle, liver, fish and eggs. Food Agric. Immunol. 2013, 24, 467–480. [Google Scholar] [CrossRef]
- Li, X.; Shen, J.; Wang, Q.; Gao, S.; Pei, X.; Jiang, H.; Wen, K. Multi-residue fluorescent microspheres immunochromatographic assay for simultaneous determination of macrolides in raw milk. Anal. Bioanal. Chem. 2015, 407, 9125–9133. [Google Scholar] [CrossRef] [PubMed]
- Song, Y.; Song, S.; Liu, L.; Kuang, H.; Guo, L.; Xu, C. Simultaneous detection of tylosin and tilmicosin in honey using a novel immunoassay and immunochromatographic strip based on an innovative hapten. Food Agric. Immunol. 2016, 27, 314–328. [Google Scholar] [CrossRef]
- Li, X.; Wen, K.; Chen, Y.; Wu, X.; Pei, X.; Wang, Q.; Liu, A.; Shen, J. Multiplex immunogold chromatographic assay for simultaneous determination of macrolide antibiotics in raw milk. Food Anal. Methods 2015, 8, 2368–2375. [Google Scholar] [CrossRef]
- Li, X.; Wu, X.; Wang, J.; Hua, Q.; Wu, J.; Shen, X.; Sun, Y.; Lei, H. Three lateral flow immunochromatographic assays based on different nanoparticle probes for on-site detection of tylosin and tilmicosin in milk and pork. Sens. Actuators B Chem. 2019, 301, 127059. [Google Scholar] [CrossRef]
- Lai, X.; Lv, X.; Zhang, G.; Xiong, Z.; Lai, W.; Peng, J. Highly specific anti-tylosin monoclonal antibody and its application in the quantum dot bead-based immunochromatographic assay. Food Anal. Methods 2020, 13, 2258–2268. [Google Scholar] [CrossRef]
- Ashuo, A.; Zou, W.; Fu, J.; Yang, T.; Yu, L.; Liu, W.; Yang, L.; Mari, G.M.; Jiang, H. High throughput detection of antibiotic residues in milk by time-resolved fluorescence immunochromatography based on QR code. Food Addit. Contam. Part A Chem. Anal. Control Expo. Risk Assess. 2020, 37, 1481–1490. [Google Scholar] [CrossRef]
- Koike, H.; Hayashi, M.; Kazama, K.; Yoshikawa, S.; Hayashi, H.; Ohba, Y.; Matsushima, Y.; Nagano, C.; Kanda, M.; Otsuka, K.; et al. Validation and application of an immunochromatographic test to detect four macrolides and two lincosamides in raw cow milk. Food Addit. Contam. Part A Chem. Anal. Control Expo. Risk Assess. 2023, 40, 528–541. [Google Scholar] [CrossRef] [PubMed]












| Time of Reagent Incubation, min | Visual LOD, ng/mL | Instrumental LOD, ng/mL | Total Analysis Time, min | Coloration of the Analytical Zone, RU |
|---|---|---|---|---|
| 0 | 4 | 0.37 | 5 | 11.0 |
| 1 | 4 | 0.77 | 6 | 11.8 |
| 3 | 4 | 0.94 | 8 | 11.4 |
| 5 | 4 | 0.34 | 10 | 11.1 |
| Tween-20 Concentration, % | Visual LOD, ng/mL | Instrumental LOD, ng/mL | Total Assay Time, min | Coloration of the Analytical Zone, RU |
|---|---|---|---|---|
| 0.2 | 4 | 1.03 | 10 | 8.9 |
| 0.5 | 4 | 0.48 | 7 | 9.1 |
| 1 | 4 | 0.37 | 5 | 11.0 |
| 2 | 4 | 0.46 | 5 | 10.9 |
| Time of Reagents Incubation, min | Visual LOD, ng/mL | Instrumental LOD, ng/mL | Total Assay Time, min | Coloration of the Analytical Zone, RU |
|---|---|---|---|---|
| 0 | 0.8 | 0.04 | 10 | 6.7 |
| 1 | 0.8 | 0.01 | 11 | 10.2 |
| 3 | 0.8 | 0.08 | 13 | 10.1 |
| 5 | 0.8 | 0.03 | 15 | 14.6 |
| Tween-20 Concentration, % | Visual LOD, ng/mL | Instrumental LOD, ng/mL | Total Assay Time, min | Coloration of the Analytical Zone, RU |
|---|---|---|---|---|
| 0.2 | 0.2 | 0.05 | 15 | 3.6 |
| 0.5 | 0.8 | 0.03 | 15 | 5.2 |
| 1 | 0.8 | 0.03 | 15 | 14.6 |
| 2 | 0.8 | 0.04 | 15 | 11.7 |
| Number of Stages | Time of Reagents Incubation, min | Tween-20 Concentration, % | Visual LOD, ng/mL | Instrumental LOD, ng/mL | Total Assay Time, min | Coloration of Analytical Zone, RU |
|---|---|---|---|---|---|---|
| LFIA with direct antibody labeling | ||||||
| 1 | 0 | 1 | 4 | 0.4 | 5 | 11.0 |
| LFIA with indirect antibody labeling | ||||||
| 1 | 5 | 1 | 0.8 | 0.03 | 15 | 14.6 |
| LFIA with indirect antibody labeling and step-by-step addition of reagents | ||||||
| 2 | - | 1 | 4 | 0.03 | 10 | 5.7 |
| TYL Added, pg/mL | TYL Detected ± SD, pg/mL | Recovery, % |
|---|---|---|
| 800 | 640 ± 21 | 80 |
| 160 | 122 ± 9 | 76 |
| 32 | 38 ± 3 | 119 |
| Label | Antibody Labeling | Limits of Detection | Reference | |
|---|---|---|---|---|
| ng per mL of Liquid Samples | mg per kg of Solid Samples | |||
| GNP | Direct | Visual: 10 ng/mL (muscle, liver, fish and eggs) | - | [38] |
| Multi-residue fluorescent microsphere | Direct | Instrumental: 0.13 ng/mL (milk) | - | [39] |
| GNP | Direct | Visual: 10 ng/mL (honey) | - | [40] |
| GNP | Direct | Visual: 20 ng/mL (milk) | - | [41] |
| GNP | Direct | Visual: 8 ng/mL (milk) | Visual: 15 μg/kg (pork) | [42] |
| Latex microspheres | Direct | Visual: 4 ng/mL (milk) | Visual: 8 μg/kg (pork) | [42] |
| Time-resolved fluorescent microsphere | Direct | Visual: 2 ng/mL (milk) | Visual: 4 μg/kg (pork) | [42] |
| Amorphous carbon nanoparticles | Direct | Visual: 8 ng/mL (milk) | Instrumental: 11.44 μg/kg (chicken muscle); 15.96 μg/kg (bovine muscle); 22.29 μg/kg (porcine muscle); 25.53 μg/kg (porcine liver) | [24] |
| GNP | Direct | Instrumental: 1.72 ng/mL (milk, water) | - | [25] |
| Quantum dots | Direct | Instrumental: 1.84 ng/mL (milk) 2.69 ng/mL (honey) | - | [43] |
| Europium-chelated fluorescent microspheres | Direct | Visual: 31.25 ng/mL (milk) Instrumental: 1.72 ng/mL (milk) | - | [23] |
| GNP | Direct | - | Visual: 6 μg/kg (eggs) | [22] |
| Latex microspheres | Direct | - | Visual: 6 μg/kg (eggs) | [22] |
| Fluorescent microsphere | Direct | Visual: 3 μg/kg (eggs) | [22] | |
| Fluorescent microspheres | Direct | Instrumental: 0.1 ng/mL (milk) | - | [44] |
| GNP | Direct | - | Instrumental: 0.05 mg/kg (milk) | [45] |
| GNP | Direct | Visual: 4 ng/mL (ground meat) Instrumental: 0.4 ng/mL (ground meat) | Visual: 8 μg/kg (ground meat) Instrumental: 1 μg/kg (ground meat) | This study |
| GNP | Indirect | Visual: 0.8 ng/mL (ground meat) Instrumental: 0.07 ng/mL (ground meat) | Visual: 1.6 μg/kg (ground meat) Instrumental: 0.14 μg/kg (ground meat) | This study |
Disclaimer/Publisher’s Note: The statements, opinions and data contained in all publications are solely those of the individual author(s) and contributor(s) and not of MDPI and/or the editor(s). MDPI and/or the editor(s) disclaim responsibility for any injury to people or property resulting from any ideas, methods, instructions or products referred to in the content. |
© 2024 by the authors. Licensee MDPI, Basel, Switzerland. This article is an open access article distributed under the terms and conditions of the Creative Commons Attribution (CC BY) license (https://creativecommons.org/licenses/by/4.0/).
Share and Cite
Barshevskaya, L.V.; Sotnikov, D.V.; Zvereva, E.A.; Dzantiev, B.B.; Zherdev, A.V. Comparative Characteristics of Immunochromatographic Test Systems for Tylosin Antibiotic in Meat Products. Sensors 2024, 24, 6865. https://doi.org/10.3390/s24216865
Barshevskaya LV, Sotnikov DV, Zvereva EA, Dzantiev BB, Zherdev AV. Comparative Characteristics of Immunochromatographic Test Systems for Tylosin Antibiotic in Meat Products. Sensors. 2024; 24(21):6865. https://doi.org/10.3390/s24216865
Chicago/Turabian StyleBarshevskaya, Lyubov V., Dmitriy V. Sotnikov, Elena A. Zvereva, Boris B. Dzantiev, and Anatoly V. Zherdev. 2024. "Comparative Characteristics of Immunochromatographic Test Systems for Tylosin Antibiotic in Meat Products" Sensors 24, no. 21: 6865. https://doi.org/10.3390/s24216865
APA StyleBarshevskaya, L. V., Sotnikov, D. V., Zvereva, E. A., Dzantiev, B. B., & Zherdev, A. V. (2024). Comparative Characteristics of Immunochromatographic Test Systems for Tylosin Antibiotic in Meat Products. Sensors, 24(21), 6865. https://doi.org/10.3390/s24216865

