WS2 Nanosheet-Based Ultrascaled Field-Effect Transistor for Hydrogen Gas Sensing: Addressing the Sensitivity-Downscaling Trade-Off
Abstract
1. Introduction
2. Nanosensor Structure and Gas Sensing Principle
3. Quantum Simulation Approach
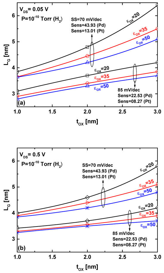
4. Results and Discussions
5. Conclusions
Funding
Data Availability Statement
Acknowledgments
Conflicts of Interest
References
- Hübert, T.; Boon-Brett, L.; Black, G.; Banach, U. Hydrogen sensors—A review. Sens. Actuators B Chem. 2011, 157, 329–352. [Google Scholar] [CrossRef]
- Korotcenkov, G.; Han, S.D.; Stetter, J.R. Review of Electrochemical Hydrogen Sensors. Chem. Rev. 2009, 109, 1402–1433. [Google Scholar] [CrossRef] [PubMed]
- Najjar, Y.S.H. Hydrogen safety: The road toward green technology. Int. J. Hydrogen Energy 2013, 38, 10716–10728. [Google Scholar] [CrossRef]
- Chauhan, P.S.; Bhattacharya, S. Hydrogen gas sensing methods, materials, and approach to achieve parts per billion level detection: A review. Int. J. Hydrogen Energy 2019, 44, 26076–26099. [Google Scholar] [CrossRef]
- Wang, L.; Song, J. Review—Recent Progress in the Design of Chemical Hydrogen Sensors. J. Electrochem. Soc. 2024, 171, 017510. [Google Scholar] [CrossRef]
- Sahoo, T.; Kale, P. Work Function-Based Metal–Oxide–Semiconductor Hydrogen Sensor and Its Functionality: A Review. Adv. Mater. Interfaces 2021, 8, 2100649. [Google Scholar] [CrossRef]
- D’Amico, A.; Palma, A.; Verona, E. Surface acoustic wave hydrogen sensor. Sens. Actuators 1982, 3, 31–39. [Google Scholar] [CrossRef]
- Zhang, Y.; Peng, H.; Qian, X.; Zhang, Y.; An, G.; Zhao, Y. Recent advancements in optical fiber hydrogen sensors. Sens. Actuators B Chem. 2017, 244, 393–416. [Google Scholar] [CrossRef]
- Yan, G.; Xiao, S. A review on H2 sensors based on FET. Chin. J. Anal. Chem. 2024, 52, 100401. [Google Scholar] [CrossRef]
- Janata, J.; Josowicz, M. Conducting polymers in electronic chemical sensors. Nat. Mater. 2003, 2, 19–24. [Google Scholar] [CrossRef]
- Janata, J. Principles of Chemical Sensors; Springer: New York, NY, USA, 2009. [Google Scholar] [CrossRef]
- Tamersit, K.; Djeffal, F. Double-Gate Graphene Nanoribbon Field-Effect Transistor for DNA and Gas Sensing Applications: Simulation Study and Sensitivity Analysis. IEEE Sens. J. 2016, 16, 4180–4191. [Google Scholar] [CrossRef]
- Pham, T.K.N.; Brown, J.J. Hydrogen Sensors Using 2-Dimensional Materials: A Review. Chem. Sel. 2020, 5, 7277–7297. [Google Scholar] [CrossRef]
- Bhattacharyya, P. Fabrication strategies and measurement techniques for performance improvement of graphene/graphene derivative based FET gas sensor devices: A review. IEEE Sens. J. 2021, 21, 10231–10240. [Google Scholar] [CrossRef]
- Paghi, A.; Mariani, S.; Barillaro, G. 1D and 2D Field Effect Transistors in Gas Sensing: A Comprehensive Review. Small 2023, 19, 2206100. [Google Scholar] [CrossRef]
- Zhang, J.; Liu, L.; Yang, Y.; Huang, Q.; Li, D.; Zeng, D. A review on two-dimensional materials for chemiresistive- and FET-type gas sensors. Phys. Chem. Chem. Phys. 2021, 23, 15420–15439. [Google Scholar] [CrossRef]
- Fiori, G.; Bonaccorso, F.; Iannaccone, G.; Palacios, T.; Neumaier, D.; Seabaugh, A.; Banerjee, S.K.; Colombo, L. Electronics based on two-dimensional materials. Nat. Nanotechnol. 2014, 9, 768–779. [Google Scholar] [CrossRef]
- Majumdar, K.; Hobbs, C.; Kirsch, P.D. Benchmarking Transition Metal Dichalcogenide MOSFET in the Ultimate Physical Scaling Limit. IEEE Electron Device Lett. 2014, 35, 402–404. [Google Scholar] [CrossRef]
- Cui, Y.; Xin, R.; Yu, Z.; Pan, Y.; Ong, Z.; Wei, X.; Wang, J.; Nan, H.; Ni, Z.; Wu, Y.; et al. High-Performance Monolayer WS2 Field-Effect Transistors on High-κ Dielectrics. Adv. Mater. 2015, 27, 5230–5234. [Google Scholar] [CrossRef]
- Li, C.; Guo, J.; Wang, C.; Ma, D.; Wang, B. Design of MXene contacts for high-performance WS2 transistors. Appl. Surf. Sci. 2020, 527, 146701. [Google Scholar] [CrossRef]
- Chung, C.-H.; Chen, H.-R.; Ho, M.-J.; Lin, C.-Y. WS2 Transistors with Sulfur Atoms Being Replaced at the Interface: First-Principles Quantum-Transport Study. ACS Omega 2023, 8, 10419–10425. [Google Scholar] [CrossRef]
- Sebastian, A.; Pendurthi, R.; Choudhury, T.H.; Redwing, J.M.; Das, S. Benchmarking monolayer MoS2 and WS2 field-effect transistors. Nat. Commun. 2021, 12, 693. [Google Scholar] [CrossRef] [PubMed]
- Sarkar, D.; Gossner, H.; Hansch, W.; Banerjee, K. Tunnel-field-effect-transistor based gas-sensor: Introducing gas detection with a quantum-mechanical transducer. Appl. Phys. Lett. 2013, 102, 023110. [Google Scholar] [CrossRef]
- Tamersit, K.; Kouzou, A.; Rodriguez, J.; Abdelrahem, M. Electrostatically Doped Junctionless Graphene Nanoribbon Tunnel Field-Effect Transistor for High-Performance Gas Sensing Applications: Leveraging Doping Gates for Multi-Gas Detection. Nanomaterials 2024, 14, 220. [Google Scholar] [CrossRef] [PubMed]
- Madan, J.; Chaujar, R. Palladium Gate All Around—Hetero Dielectric-Tunnel FET based highly sensitive Hydrogen Gas Sensor. Superlattices Microstruct. 2016, 100, 401–408. [Google Scholar] [CrossRef]
- Quhe, R.; Xu, L.; Liu, S.; Yang, C.; Wang, Y.; Li, H.; Yang, J.; Li, Q.; Shi, B.; Li, Y.; et al. Sub-10 nm two-dimensional transistors: Theory and experiment. Phys. Rep. 2021, 938, 1–72. [Google Scholar] [CrossRef]
- Tamersit, K. Asymmetric Dual-Gate Junctionless GNR Tunnel FET as a High-Performance Photosensor With an Electrostatically Improved Photosensitivity: A Quantum Simulation Study. IEEE Sens. J. 2023, 23, 27431–27437. [Google Scholar] [CrossRef]
- Li, H.; Xu, P.; Lu, J. Sub-10 nm tunneling field-effect transistors based on monolayer group IV mono-chalcogenides. Nanoscale 2019, 11, 23392–23401. [Google Scholar] [CrossRef]
- Liu, L.; Lu, Y.; Guo, J. On Monolayer MSo2 Field-Effect Transistors at the Scaling Limit. IEEE Trans. Electron Devices 2013, 60, 4133–4139. [Google Scholar] [CrossRef]
- Dong, Z.; Guo, J. Assessment of 2-D Transition Metal Dichalcogenide FETs at Sub-5-nm Gate Length Scale. IEEE Trans. Electron Devices 2017, 64, 622–628. [Google Scholar] [CrossRef]
- Lundström, I.; Armgarth, M.; Spetz, A.; Winquist, F. Gas sensors based on catalytic metal-gate field-effect devices. Sens. Actuators 1986, 10, 399–421. [Google Scholar] [CrossRef]
- Tamersit, K. An ultra-sensitive gas nanosensor based on asymmetric dual-gate graphene nanoribbon field-effect transistor: Proposal and investigation. J. Comput. Electron. 2019, 18, 846–855. [Google Scholar] [CrossRef]
- Gautam, R.; Saxena, M.; Gupta, R.S.; Gupta, M. Gate-All-Around Nanowire MOSFET With Catalytic Metal Gate For Gas Sensing Applications. IEEE Trans. Nanotechnol. 2013, 12, 939–944. [Google Scholar] [CrossRef]
- Datta, S. Nanoscale device modeling: The Green’s function method. Superlattices Microstruct. 2000, 28, 253–278. [Google Scholar] [CrossRef]
- Datta, S. Quantum Transport: Atom to Transistor; Cambridge Univ. Press: Cambridge, UK, 2005. [Google Scholar]
- Datta, S. Electronic Transport in Mesoscopic Systems; Cambridge Univ. Press: Cambridge, UK, 1995. [Google Scholar]
- Anantram, M.P.; Lundstrom, M.S.; Nikonov, D.E. Modeling of Nanoscale Devices. Proc. IEEE 2008, 96, 1511–1550. [Google Scholar] [CrossRef]
- Rahman, A.; Guo, J.; Datta, S.; Lundstrom, M.S. Theory of ballistic nanotransistors. IEEE Trans. Electron Devices 2003, 50, 1853–1864. [Google Scholar] [CrossRef]
- Tamersit, K.; Ramezani, Z.; Amiri, I.S. Improved performance of sub-10-nm band-to-band tunneling n-i-n graphene nanoribbon field-effect transistors using underlap engineering: A quantum simulation study. J. Phys. Chem. Solids 2022, 160, 110312. [Google Scholar] [CrossRef]
- Lundstrom, M.S.; Guo, J. Nanoscale Transistors; Springer: Berlin/Heidelberg, Germany, 2006. [Google Scholar]
- Tamersit, K.; Jooq, M.K.Q.; Moaiyeri, M.H. Analog/RF performance assessment of ferroelectric junctionless carbon nanotube FETs: A quantum simulation study. Phys. E Low-Dimens. Syst. Nanostruct. 2021, 134, 114915. [Google Scholar] [CrossRef]
- Tamersit, K. Energy-Efficient Carbon Nanotube Field-Effect Phototransistors: Quantum Simulation, Device Physics, and Photosensitivity Analysis. IEEE Sens. J. 2022, 22, 288–296. [Google Scholar] [CrossRef]
- Janata, J.; Josowicz, M. Chemical Modulation of Work Function as a Transduction Mechanism for Chemical Sensors. Acc. Chem. Res. 1998, 31, 241–248. [Google Scholar] [CrossRef]
- Wu, S.; Liu, Y.; Tang, Y.; Jiang, X.; Liu, L.; Liu, X.; Cao, J.; Liu, Y. Dielectric modulation strategy of carbon nanotube field effect transistors based pressure sensor: Towards precise monitoring of human pulse. Nanotechnology 2023, 34, 315501. [Google Scholar] [CrossRef]
- Tamersit, K. Dielectric-Modulated Junctionless Carbon Nanotube Field-Effect Transistor as a Label-Free DNA Nanosensor: Achieving Ultrahigh Sensitivity in the Band-to-Band Tunneling Regime. IEEE Sens. J. 2024, 24, 2915–2922. [Google Scholar] [CrossRef]
- Tamersit, K.; Kouzou, A.; Rodriguez, J.; Abdelrahem, M. Performance Projection of Vacuum Gate Dielectric Doping-Free Carbon Nanoribbon/Nanotube Field-Effect Transistors for Radiation-Immune Nanoelectronics. Nanomaterials 2024, 14, 962. [Google Scholar] [CrossRef] [PubMed]
- Alam, K.; Lake, R. Role of Doping in Carbon Nanotube Transistors With Source/Drain Underlaps. IEEE Trans. Nanotechnol. 2007, 6, 652–658. [Google Scholar] [CrossRef]
- Tamersit, K. New nanoscale band-to-band tunneling junctionless GNRFETs: Potential high-performance devices for the ultrascaled regime. J. Comput. Electron. 2021, 20, 1147–1156. [Google Scholar] [CrossRef]
- Koswatta, S.O.; Hasan, S.; Lundstrom, M.S.; Anantram, M.P.; Nikonov, D.E. Nonequilibrium Green’s function treatment of phonon scattering in carbon-nanotube transistors. IEEE Trans. Electron Devices 2007, 54, 2339–2351. [Google Scholar] [CrossRef]
- Tamersit, K.; Kouzou, A.; Bourouba, H.; Kennel, R.; Abdelrahem, M. Synergy of Electrostatic and Chemical Doping to Improve the Performance of Junctionless Carbon Nanotube Tunneling Field-Effect Transistors: Ultrascaling, Energy-Efficiency, and High Switching Performance. Nanomaterials 2022, 12, 462. [Google Scholar] [CrossRef]
- Yousefi, R.; Shabani, M.; Arjmandi, M.; Ghoreishi, S. A computational study on electrical characteristics of a novel band-to-band tunneling graphene nanoribbon FET. Superlattices Microstruct. 2013, 60, 169–178. [Google Scholar] [CrossRef]
- Tamersit, K.; Madan, J.; Kouzou, A.; Pandey, R.; Kennel, R.; Abdelrahem, M. Role of Junctionless Mode in Improving the Photosensitivity of Sub-10 nm Carbon Nanotube/Nanoribbon Field-Effect Phototransistors: Quantum Simulation, Performance Assessment, and Comparison. Nanomaterials 2022, 12, 1639. [Google Scholar] [CrossRef]
- Ionescu, A.M.; Riel, H. Tunnel field-effect transistors as energy-efficient electronic switches. Nature 2011, 479, 329–337. [Google Scholar] [CrossRef]
- Seabaugh, A.C.; Zhang, Q. Low-Voltage Tunnel Transistors for Beyond CMOS Logic. Proc. IEEE 2010, 98, 2095–2110. [Google Scholar] [CrossRef]
- Yang, N.; Guo, J. Performance potential of transistors based on tellurium nanowire arrays: A quantum transport study. Solid-State Electron. 2024, 213, 108859. [Google Scholar] [CrossRef]
- IEEE International Roadmap for Devices and Systems—IEEE IRDSTM [Internet]. Available online: https://irds.ieee.org/ (accessed on 10 October 2024).
- Cao, X.; Guo, J. Simulation of Phosphorene Field-Effect Transistor at the Scaling Limit. IEEE Trans. Electron Devices 2015, 62, 659–665. [Google Scholar] [CrossRef]
- Marin, E.G.; Marian, D.; Iannaccone, G.; Fiori, G. First principles investigation of tunnel FETs based on nanoribbons from topological two-dimensional materials. Nanoscale 2017, 9, 19390–19397. [Google Scholar] [CrossRef] [PubMed]
- Lu, J.; Fan, Z.-Q.; Gong, J.; Jiang, X.-W. Ab initio performance predictions of single-layer In–V tunnel field-effect transistors. Phys. Chem. Chem. Phys. 2017, 19, 20121–20126. [Google Scholar] [CrossRef]
- Li, H.; Shi, B.; Pan, Y.; Li, J.; Xu, L.; Xu, L.; Zhang, Z.; Pan, F.; Lu, J. Sub-5 nm monolayer black phosphorene tunneling transistors. Nanotechnology 2018, 29, 485202. [Google Scholar] [CrossRef]
- Liu, L.; Kumar, S.B.; Ouyang, Y.; Guo, J. Performance Limits of Monolayer Transition Metal Dichalcogenide Transistors. IEEE Trans. Electron Devices 2011, 58, 3042–3047. [Google Scholar] [CrossRef]
- Lam, K.-T.; Cao, X.; Guo, J. Device Performance of Heterojunction Tunneling Field-Effect Transistors Based on Transition Metal Dichalcogenide Monolayer. IEEE Electron Device Lett. 2013, 34, 1331–1333. [Google Scholar] [CrossRef]
- Klinkert, C.; Szabó, Á.; Stieger, C.; Campi, D.; Marzari, N.; Luisier, M. 2-D Materials for Ultrascaled Field-Effect Transistors: One Hundred Candidates under the Ab Initio Microscope. ACS Nano 2020, 14, 8605–8615. [Google Scholar] [CrossRef]
- Kar, A.K. Bio inspired computing—A review of algorithms and scope of applications. Expert Syst. Appl. 2016, 59, 20–32. [Google Scholar] [CrossRef]
- Wu, T.; Guo, J. Multiobjective Design of 2-D-Material-Based Field-Effect Transistors With Machine Learning Methods. IEEE Trans. Electron Devices 2021, 68, 5476–5482. [Google Scholar] [CrossRef]
- Prodromakis, T.; Liu, Y.; Constandinou, T.; Georgiou, P.; Toumazou, C. Exploiting CMOS Technology to Enhance the Performance of ISFET Sensors. IEEE Electron Device Lett. 2010, 31, 1053–1055. [Google Scholar] [CrossRef]
- Premanode, B.; Silawan, N.; Chan, W.P.; Toumazou, C. A composite ISFET readout circuit employing current feedback. Sens. Actuators B Chem. 2007, 127, 486–490. [Google Scholar] [CrossRef]
- Silverio, A.A.; Chung, W.-Y.; Tsai, V.F.S.; Cheng, C. Multi-parameter readout chip for interfacing with amperometric, potentiometric and impedometric sensors for wearable and point-of-care test applications. Microelectron. J. 2020, 100, 104769. [Google Scholar] [CrossRef]
- Moser, N.; Lande, T.S.; Toumazou, C.; Georgiou, P. ISFETs in CMOS and Emergent Trends in Instrumentation: A Review. IEEE Sens. J. 2016, 16, 6496–6514. [Google Scholar] [CrossRef]
- Salahuddin, S.; Datta, S. Use of Negative Capacitance to Provide Voltage Amplification for Low Power Nanoscale Devices. Nano Lett. 2007, 8, 405–410. [Google Scholar] [CrossRef]
- Tamersit, K.; Moaiyeri, M.H.; Jooq, M.K.Q. Leveraging negative capacitance ferroelectric materials for performance boosting of sub-10 nm graphene nanoribbon field-effect transistors: A quantum simulation study. Nanotechnology 2022, 33, 465204. [Google Scholar] [CrossRef]
- Si, M.; Su, C.-J.; Jiang, C.; Conrad, N.J.; Zhou, H.; Maize, K.D.; Qiu, G.; Wu, C.-T.; Shakouri, A.; Alam, M.A.; et al. Steep-slope hysteresis-free negative capacitance MoS2 transistors. Nat. Nanotechnol. 2017, 13, 24–28. [Google Scholar] [CrossRef]
- Hoffmann, M.; Slesazeck, S.; Mikolajick, T. Progress and future prospects of negative capacitance electronics: A materials perspective. APL Mater. 2021, 9, 020902. [Google Scholar] [CrossRef]
- Alam, M.A.; Si, M.; Ye, P.D. A critical review of recent progress on negative capacitance field-effect transistors. Appl. Phys. Lett. 2019, 114, 090401. [Google Scholar] [CrossRef]
- Tamersit, K. Improved Switching Performance of Nanoscale p-i-n Carbon Nanotube Tunneling Field-Effect Transistors Using Metal-Ferroelectric-Metal Gating Approach. ECS J. Solid State Sci. Technol. 2021, 10, 031004. [Google Scholar] [CrossRef]
- Tu, L.; Wang, X.; Wang, J.; Meng, X.; Chu, J. Ferroelectric Negative Capacitance Field Effect Transistor. Adv. Electron. Mater. 2018, 4, 1800231. [Google Scholar] [CrossRef]
- Jiao, H.; Wang, X.; Wu, S.; Chen, Y.; Chu, J.; Wang, J. Ferroelectric field effect transistors for electronics and optoelectronics. Appl. Phys. Rev. 2023, 10, 011310. [Google Scholar] [CrossRef]
- Xue, H.; Peng, Y.; Jing, Q.; Zhou, J.; Han, G.; Fu, W. Sensing with extended gate negative capacitance ferroelectric field-effect transistors. Chip 2024, 3, 100074. [Google Scholar] [CrossRef]
- Wu, X.; Gao, S.; Xiao, L.; Wang, J. WSe2 Negative Capacitance Field-Effect Transistor for Biosensing Applications. ACS Appl. Mater. Interfaces 2024, 16, 42597–42607. [Google Scholar] [CrossRef]
- Dixit, A.; Samajdar, D.P.; Chauhan, V. Sensitivity Analysis of a Novel Negative Capacitance FinFET for Label-Free Biosensing. IEEE Trans. Electron Devices 2021, 68, 5204–5210. [Google Scholar] [CrossRef]








| Device Type | LG [nm] | VDS [V] | SS [mV/dec] | Sensitivity | Ref. | 
|---|---|---|---|---|---|
| UB Si-FET | 8 | 0.5 | 100 | 10 | [29] | 
| BP FET | 5 | 0.5 | 80 | 17.78 | [57] | 
| MoS2 FET | 5 | 0.5 | 100 | 10 | [29] | 
| Stanene TFET | 5.6 | 0.2 | 190 | 3.35 | [58] | 
| 2D InX TFETs | 5.1 | 0.72 | ≥120 | ≤6.81 | [59] | 
| ML WTe2 TFET | 5 | 0.64 | 65 | 34.55 | [60] | 
| ML BP TFET | 5 | 0.64 | 90 | 12.91 | [60] | 
| WS2 FET | 4.5 | 0.05 | 60.6 | 44.6 | This Work | 
| Disclaimer/Publisher’s Note: The statements, opinions and data contained in all publications are solely those of the individual author(s) and contributor(s) and not of MDPI and/or the editor(s). MDPI and/or the editor(s) disclaim responsibility for any injury to people or property resulting from any ideas, methods, instructions or products referred to in the content. | 
© 2024 by the author. Licensee MDPI, Basel, Switzerland. This article is an open access article distributed under the terms and conditions of the Creative Commons Attribution (CC BY) license (https://creativecommons.org/licenses/by/4.0/).
Share and Cite
Tamersit, K. WS2 Nanosheet-Based Ultrascaled Field-Effect Transistor for Hydrogen Gas Sensing: Addressing the Sensitivity-Downscaling Trade-Off. Sensors 2024, 24, 6730. https://doi.org/10.3390/s24206730
Tamersit K. WS2 Nanosheet-Based Ultrascaled Field-Effect Transistor for Hydrogen Gas Sensing: Addressing the Sensitivity-Downscaling Trade-Off. Sensors. 2024; 24(20):6730. https://doi.org/10.3390/s24206730
Chicago/Turabian StyleTamersit, Khalil. 2024. "WS2 Nanosheet-Based Ultrascaled Field-Effect Transistor for Hydrogen Gas Sensing: Addressing the Sensitivity-Downscaling Trade-Off" Sensors 24, no. 20: 6730. https://doi.org/10.3390/s24206730
APA StyleTamersit, K. (2024). WS2 Nanosheet-Based Ultrascaled Field-Effect Transistor for Hydrogen Gas Sensing: Addressing the Sensitivity-Downscaling Trade-Off. Sensors, 24(20), 6730. https://doi.org/10.3390/s24206730
 
        


 
       