Study on the Design Method of High-Resolution Volume-Phase Holographic Gratings
Abstract
1. Introduction
2. Fundamental Principles of VPHG
2.1. Records of VPHG
2.2. Diffraction of VPHG
3. Comparison of Kogelnik Theory and RCWA Theory
3.1. Calculation of Two Diffraction Theories
3.2. Theoretical Similarity Judgment
4. Analysis of VPHG Diffraction Performance
5. VPHG Design Method and Result
5.1. Design Method
5.2. Verification of Grating Diffraction Performance
6. Comparison of Design Methods and Tolerance Analysis
6.1. Comparison of Other VPHG Design Methods
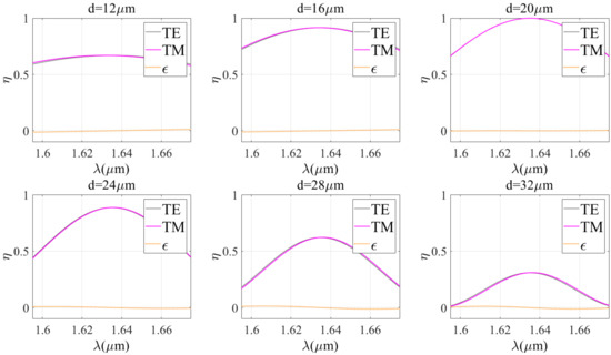
6.2. Tolerance Analysis
7. Conclusions
Author Contributions
Funding
Data Availability Statement
Conflicts of Interest
References
- Christiani, P.; Rana, P.; Räsänen, A.; Pitkänen, T.; Tolvanen, A. Detecting Spatial Patterns of Peatland Greenhouse Gas Sinks and Sources with Geospatial Environmental and Remote Sensing Data. Environ. Manag. 2024, 74, 1–18. [Google Scholar] [CrossRef] [PubMed]
- Tang, H.; Xiao, C.; Shang, K.; Wu, T.; Li, Q. Radiometric Calibration of GF5-02 Advanced Hyperspectral Imager Based on RadCalNet Baotou Site. Remote Sens. 2023, 15, 2233. [Google Scholar] [CrossRef]
- Elliott, D.; Aumann, H. Relative trends of AIRS and IASI radiometric calibrations. In Proceedings of the Earth Observing Systems XVII, San Diego, CA, USA, 13–16 August 2012. [Google Scholar]
- Wirnsberger, H.; Baur, O.; Kirchner, G. Space debris orbit prediction errors using bi-static laser observations. Case study: ENVISAT. Adv. Space Res. 2015, 52, 2607–2615. [Google Scholar] [CrossRef]
- Zheng, J.; Zhang, H.; Zhang, S. Comparison of Atmospheric Carbon Dioxide Concentrations Based on GOSAT, OCO-2 Observations and Ground-Based TCCON Data. Remote Sens. 2023, 15, 5172. [Google Scholar] [CrossRef]
- Fang, J.; Chen, B.; Zhang, H.; Dilawar, A.; Guo, M.; Liu, C.; Liu, S.A.; Gemechu, T.; Zhang, X. Global Evaluation and Inter comparison of XCO2 Retrievals from GOSAT, OCO-2, and TANSAT with TCCON. Remote Sens. 2023, 15, 5070. [Google Scholar] [CrossRef]
- Löscher, A.; Bézy, J.L.; Meijer, Y.; Sierk, B.; Caron, J. Carbonsat instrument pre- developments: Towards monitoring carbon dioxide and methane concentrations from space. In Proceedings of the International Conference on Space Optics—ICSO 2016, Biarritz, France, 18–21 October 2016; 21 October 2016. [Google Scholar]
- Foote, M.; Dennison, P.; Sullivan, P.; O’Neill, K.; Thorpe, A.; Thompson, D.; Cusworth, D.; Duren, R.; Joshi, S. Impact of scene-specific enhancement spectra on matched filter greenhouse gas retrievals from imaging spectroscopy. Remote Sens. Environ. 2021, 264, 112574. [Google Scholar] [CrossRef]
- Honniball, C.; Wright, R.; Lucey, P.; Crites, S. The Miniaturized Infrared Detector of Atmospheric Species (MIDAS) a low-mass, MWIR low-power hyperspectral imager. In Proceedings of the Infrared Technology and Applications XLII 2016, Baltimore, MD, USA, 20 May 2016. [Google Scholar]
- Bianco, A.; Pariani, G.; Aliverti, M.; Zanutta, A.; Arns, J.; Pragt, J.; Stuik, R.; Middleton, K.; Tosh, I.; Dalton, G.; et al. VPHGs for WEAVE: Design, manufacturing and characterization. In Proceedings of the Advances in Optical and Mechanical Technologies for Telescopes and Instrumentation III. SPIE2018, Austin, TX, USA, 10–15 June 2018; p. 190. [Google Scholar]
- Ebizuka, N.; Oka, K.; Yamada, A.; Ishikawa, M.; Kashiwagi, M.; Kodate, K.; Hirahara, Y.; Sato, S.; Kawabata, K.S.; Wakaki, M. Grism and immersion grating for space telescope. In Proceedings of the International Conference on Space Optics—ICSO 2004, SPIE2017, Toulouse, France, 31 March 2004; pp. 412–419. [Google Scholar]
- Ebizuka, N.; Okamoto, T.; Yamagata, Y.; Sasaki, M.; Tanaka, I.; Hattori, T.; Nakauchi, Y.; Nishimaki, M.; Yamamoto, K.; Okada, M. Novel gratings for astronomical observations II. In Proceedings of the International Conference on Space Optics—ICSO 2020, SPIE2021, Online, 30 March–2 April 2021; pp. 2479–2486. [Google Scholar]
- Wu, Z.; Liu, Q.; Lu, J.; Zhou, N.; Huang, B. Study on the immersion grating with dielectric film. In Proceedings of the Holography, Diffractive Optics, and Applications XI, SPIE2021, Nantong, China, 10–19 October 2021; pp. 203–211. [Google Scholar]
- Ebizuka, N.; Okamoto, T.; Takeda, M.; Hosobata, T.; Yamagata, Y.; Sasaki, M.; Uomoto, M.; Shimatsu, T.; Sato, S.; Hashimoto, N. Novel gratings for next-generation instruments of astronomical observations. In Proceedings of the Holography: Advances and Modern Trends V, SPIE2017, Prague, Czech Republic, 24–27 April 2017; pp. 135–142. [Google Scholar]
- Ebizuka, N.; Oka, K.; Yamada, A.; Kashiwagi, M.; Kodate, K.; Kawabata, K.S.; Uehara, M.; Nagashima, C.; Ichiyama, K.; Ichikawa, T. Novel immersion grating. In Proceedings of the VPH Grating and Quasi-Bragg Grating. In Proceedings of the Optomechanical Technologies for Astronomy, SPIE2006, San Diego, CA, USA, 13–17 August 2006; pp. 755–762. [Google Scholar]
- Kubota, T. 48 Years with Holography. Opt. Rev. 2014, 21, 883–892. [Google Scholar] [CrossRef]
- Lee, D.; Taylor, G.; Baillie, T.; Montgomery, D. Transmitted wavefront error of a volume phase holographic grating at cryogenic temperature. Opt. Lett. 2012, 37, 1995–1997. [Google Scholar] [CrossRef]
- Wang, B.; Chang, L.; Tao, S. Design optimization of volume holographic gratings for wavelength filters. In Proceedings of the Holography, Diffractive Optics, and Applications II. SPIE2005, Beijing, China, 7 February 2005; Volume 5636, p. 267. [Google Scholar] [CrossRef]
- Loukina, T.; Massenot, S.; Chevallier, R.; Heggarty, K.; Shigapova, N.M.; Skochilov, A. Volume diffraction gratings for optical telecommunications applications: Design study for a spectral equalizer. Opt. Eng. 2004, 43, 2658–2665. [Google Scholar] [CrossRef][Green Version]
- Ding, Y.; Gu, Y.; Yang, Q.; Yang, Z.; Huang, Y.; Weng, Y.; Zhang, Y.; Wu, S.-T. Breaking the in-coupling efficiency limit in waveguide-based AR displays with polarization volume gratings. Light Sci. Appl. 2024, 13, 185. [Google Scholar] [CrossRef]
- Wu, T.; Jianshe, M.; Wang, C.; Wang, H.; Su, P. Full-Color See-Through Three-Dimensional Display Method Based on Volume Holography. Sensors 2021, 21, 2698. [Google Scholar] [CrossRef] [PubMed]
- Yu, C.; Peng, Y.; Zhao, Q.; Li, H.; Liu, X. Highly efficient waveguide display with space-variant volume holographic gratings. Appl. Opt. 2017, 56, 9390. [Google Scholar] [CrossRef] [PubMed]
- Guo, J.; Tu, Y.; Yang, L.; Wang, L.; Wang, B. Holographic waveguide display with a combined-grating in-coupler. Appl. Opt. 2016, 55, 9293. [Google Scholar] [CrossRef]
- Yan, X.; Yan, X.; Dai, Y.; Yang, X.; Ma, G. Temporal diffraction characteristics of transmitted multilayer volume holographic grating illuminated by an ultrashort pulse. Opt.-Int. J. Light Electron Opt. 2014, 125, 3231–3236. [Google Scholar] [CrossRef]
- Baldry, I.K.; Bland-Hawthorn, J.; Robertson, J. Volume Phase Holographic Gratings: Polarization Properties and Diffraction Efficiency. Publ. Astron. Soc. Pac. 2004, 116, 403–414. [Google Scholar] [CrossRef]
- Barden, S.C.; Arns, J.A.; Colburn, W.S. Volume-phase holographic gratings and their potential for astronomical applications. In Proceedings of the Optical Astronomical Instrumentation, SPIE1998, Kona, HI, USA, 9 July 1998; pp. 866–876. [Google Scholar]
- Kogelnik, H. Coupled Wave Theory for Thick Hologram Grating. Bell Syst. Tech. J. 1969, 48, 2909–2947. [Google Scholar] [CrossRef]
- Moharam, M.; Gaylord, T. Rigorous coupled-wave analysis of planar-grating diffraction. J. Opt. Soc. Am. 1981, 71, 811–818. [Google Scholar] [CrossRef]
- Arns, J. Performance characteristics of advanced volume phase holographic gratings for operation in the near infrared. In Proceedings of the Advances in Optical and Mechanical Technologies for Telescopes and Instrumentation II. SPIE2016, Edinburgh, UK, 22 July 2016; p. 991232. [Google Scholar]
- Heijmans, J.; Gers, L.; Faught, B. Design and development of the high-resolution spectrograph HERMES and the unique volume phase holographic gratings. In Optical Design and Engineering IV, Proceedings of the SPIE Optical Systems Design, Marseille, France, 6–8 September 2011; SPIE: Bellingham, WA, USA, 2011; Volume 8167, p. 8167. [Google Scholar] [CrossRef]
- Blanche, P.-A.; Gailly, P.; Habraken, S.; Lemaire, P.; Jamar, C. Volume phase holographic gratings: Large size and high diffraction efficiency. Opt. Eng. 2004, 43, 2603–2612. [Google Scholar] [CrossRef]
- Liu, H.; Zhang, X.; Tang, M. Volume phase holographic grating used for beams combination of RGB primary colors. In Proceedings of the International Conference on Optical Instruments and Technology: Optoelectronic Measurement Technology and Systems. SPIE2013, Beijing, China, 19 December 2013; Volume 9046. [Google Scholar] [CrossRef]
- Zhang, X.; Mei, Q.; Tang, M. Combined volume phase holographic gratings used as a beam splitter in near-infrared waveband. In Proceedings of the Holography, Diffractive Optics, and Applications VI. SPIE2014, Beijing, China, 11 November 2014; pp. 366–373. [Google Scholar]
- Barden, S.; Arns, J.; Colburn, W.; Williams, J. Volume-Phase Holographic Gratings and the Efficiency of Three Simple VPH Gratings. Publ. Astron. Soc. Pac. 2000, 112, 809–820. [Google Scholar] [CrossRef][Green Version]
- Shen, Z.; Shang, W.; Wang, Y.; Gao, L.; Tao, Y.; Yang, J. Analysis of Optical Properties of Off-Axis Reflective Volume Holographic Grating. Opt. Photonics J. 2016, 6, 136–144. [Google Scholar] [CrossRef][Green Version]
- Mahamat, F.; Narducci, J.; Schwiegerling, J. Design and optimization of a volume-phase holographic grating for simultaneous use with red, green, and blue light using unpolarized light. Appl. Opt. 2016, 55, 1618–1624. [Google Scholar] [CrossRef]

















| Λ/μm | 0.7 | 0.9 | 1.1 | 1.3 | 1.5 | 1.7 |
| Spearman coefficient | 0.9939 | 0.9999 | 0.9999 | 0.9996 | 0.9773 | 0.9019 |
| Euclidean distance | 0.3302 | 0.0673 | 0.0391 | 0.0847 | 0.1230 | 0.1795 |
| d/μm | 12 | 16 | 20 | 24 | 28 | 32 |
| Spearman coefficient | 0.9622 | 0.9957 | 1.0000 | 0.9990 | 0.9972 | 0.9954 |
| Euclidean distance | 0.2121 | 0.1754 | 0.0308 | 0.1747 | 0.2957 | 0.2545 |
| Δn | 0.01 | 0.02 | 0.03 | 0.04 | 0.05 | 0.06 |
| Spearman coefficient | 0.9887 | 0.9936 | 0.9988 | 0.9990 | 0.9863 | 0.9518 |
| Euclidean distance | 0.0804 | 0.2018 | 0.1454 | 0.1373 | 0.3976 | 0.3182 |
| Parameter | Value |
|---|---|
| Wavelength range | 1.62 μm~1.65 μm |
| Bragg wavelength | 1.635 μm |
| Groove density | 1067 lp/mm |
| Bragg angle | 35° |
| Refractive index modulation | 0.06 |
| Average refractive index | 1.52 |
| Grating thickness | 32 μm |
| Diffraction order | −1 |
| Diffraction Performance | Collaborative Design | Kogelnik Theory | RCWA Theory |
|---|---|---|---|
| Diffraction efficiency at 1.620 μm for TE wave | 95.90% | 97.19% | 96.63% |
| Diffraction efficiency at 1.650 μm for TE wave | 94.54% | 97.45% | 97.42% |
| Diffraction efficiency at 1.620 μm for TM wave | 81.96% | 79.51% | 77.62% |
| Diffraction efficiency at 1.650 μm for TM wave | 81.70% | 79.93% | 80.46% |
| Average TE wave diffraction efficiency | 95.49% | 99.08% | 98.93% |
| Average TM wave diffraction efficiency | 93.48% | 92.76% | 92.25% |
| TE wave effective wave bandwidth | 86 nm | 70 nm | 73 nm |
| TM wave effective wave bandwidth | 32 nm | 28 nm | 29 nm |
| Maximum polarization sensitivity | 0.0697 | 0.0884 | 0.0950 |
| Parameter | Tolerance Range |
|---|---|
| Grating period | −0.42 nm~+0.5 nm |
| Bragg angle | −64″~+75″ |
| Refractive index modulation | −0.003~+0.0035 |
| Grating thickness | −1.8 μm~+1 μm |
Disclaimer/Publisher’s Note: The statements, opinions and data contained in all publications are solely those of the individual author(s) and contributor(s) and not of MDPI and/or the editor(s). MDPI and/or the editor(s) disclaim responsibility for any injury to people or property resulting from any ideas, methods, instructions or products referred to in the content. |
© 2024 by the authors. Licensee MDPI, Basel, Switzerland. This article is an open access article distributed under the terms and conditions of the Creative Commons Attribution (CC BY) license (https://creativecommons.org/licenses/by/4.0/).
Share and Cite
Wang, S.; Dai, L.; Lin, C.; Wang, L.; Ji, Z.; Fu, Y.; Gao, Q.; Zheng, Y. Study on the Design Method of High-Resolution Volume-Phase Holographic Gratings. Sensors 2024, 24, 6493. https://doi.org/10.3390/s24196493
Wang S, Dai L, Lin C, Wang L, Ji Z, Fu Y, Gao Q, Zheng Y. Study on the Design Method of High-Resolution Volume-Phase Holographic Gratings. Sensors. 2024; 24(19):6493. https://doi.org/10.3390/s24196493
Chicago/Turabian StyleWang, Shuo, Lei Dai, Chao Lin, Long Wang, Zhenhua Ji, Yang Fu, Quyouyang Gao, and Yuquan Zheng. 2024. "Study on the Design Method of High-Resolution Volume-Phase Holographic Gratings" Sensors 24, no. 19: 6493. https://doi.org/10.3390/s24196493
APA StyleWang, S., Dai, L., Lin, C., Wang, L., Ji, Z., Fu, Y., Gao, Q., & Zheng, Y. (2024). Study on the Design Method of High-Resolution Volume-Phase Holographic Gratings. Sensors, 24(19), 6493. https://doi.org/10.3390/s24196493
