Approximate Observation Weighted ℓ2/3 SAR Imaging under Compressed Sensing
Abstract
1. Introduction
2. Echo Signal Model for Stripmap Radar Imaging
3. Proposed Methods
3.1. SAR Imaging Model Based on Approximate Observation
3.2. Weighted ℓ2/3 Regularization Model
3.3. Weighted Iterative Thresholding Algorithm
| Algorithm 1 Weighted ℓ2/3 Iterative Thresholding Algorithm |
| Input: SAR raw echoes , approximated observation operator and imaging operator , weighting matrix Initial and Maximum Number of Iterations Output: The recovery image 1: for 2: Residue: 3: Matched Filter: 4: Gradient Descent: 5: Threshold Shrinkage [20]: 6: end for |
3.4. Parameter Setting
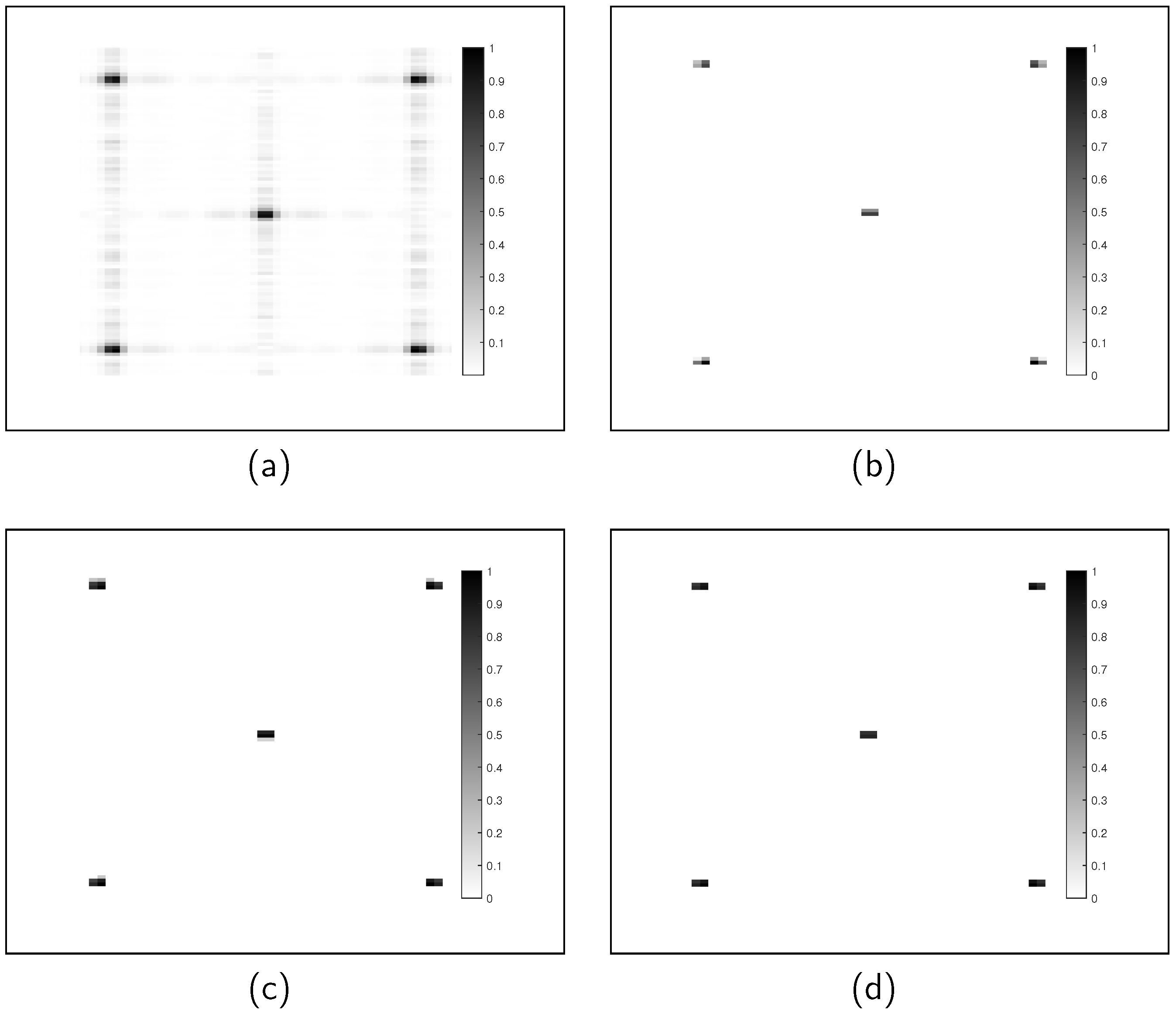
4. Simulations and Applications
- ENL: Equivalent number of looks is an indicator used to measure the smoothness of homogeneous regions in an image. Generally, a higher ENL value indicates a greater degree of speckle noise suppression by the imaging method [22].
- RaRes: Radiometric resolution can be used to evaluate the ability of an SAR imaging method to distinguish between adjacent scattering coefficients. A higher value indicates a lower ability to resolve adjacent targets [23].
- ENY: Entropy is an index of the complexity and randomness within image content. In SAR imaging, a lower entropy value denotes reduced random noise and, consequently, enhanced interpretability and clarity of the imaged information [24].
- MSE: Mean squared error measures the deviation between estimated values and actual values. A smaller MSE value implies that the reconstructed image more closely approximates the original scene [25].
4.1. Simulations
4.2. Applications
4.3. Performance Analysis
5. Conclusions
Author Contributions
Funding
Institutional Review Board Statement
Informed Consent Statement
Data Availability Statement
Conflicts of Interest
References
- Cruz, H.; Véstias, M.; Monteiro, J.; Neto, H.; Duarte, R.P. A Review of Synthetic-Aperture Radar Image Formation Algorithms and Implementations: A Computational Perspective. Remote Sens. 2022, 14, 1258. [Google Scholar] [CrossRef]
- Donoho, D. Compressed sensing. IEEE Trans. Inf. Theory 2006, 52, 1289–1306. [Google Scholar] [CrossRef]
- Qie, Y.; Hao, C.; Song, P. Wireless Transmission Method for Large Data Based on Hierarchical Compressed Sensing and Sparse Decomposition. Sensors 2020, 20, 7146. [Google Scholar] [CrossRef] [PubMed]
- Panhuber, R. Fast, Efficient, and Viable Compressed Sensing, Low-Rank, and Robust Principle Component Analysis Algorithms for Radar Signal Processing. Remote Sens. 2023, 15, 2216. [Google Scholar] [CrossRef]
- Guo, R.; Zhang, H. Compressed Sensing Image Reconstruction with Fast Convolution Filtering. Photonics 2024, 11, 323. [Google Scholar] [CrossRef]
- Alonso, M.T.; López-Dekker, P.; Mallorquí, J.J. A novel strategy for radar imaging based on compressive sensing. IEEE Trans. Geosci. Remote Sens. 2010, 48, 4285–4295. [Google Scholar] [CrossRef]
- Zeng, J.; Fang, J.; Xu, Z. Sparse SAR imaging based on L1/2 regularization. Sci. China Inf. Sci. 2012, 55, 1755–1775. [Google Scholar] [CrossRef]
- Yang, J.; Thompson, J.; Huang, X.; Jin, T.; Zhou, Z. Segmented Reconstruction for Compressed Sensing SAR Imaging. IEEE Trans. Geosci. Remote Sens. 2013, 51, 4214–4225. [Google Scholar] [CrossRef]
- Fang, J.; Xu, Z.; Zhang, B.; Hong, W.; Wu, Y. Fast Compressed Sensing SAR Imaging Based on Approximated Observation. IEEE J. Sel. Top. Appl. Earth Obs. Remote Sens. 2014, 7, 352–363. [Google Scholar] [CrossRef]
- An, H.; Wu, J.; Teh, K.C.; Sun, Z.; Yang, J. Simultaneous Moving and Stationary Target Imaging for Geosynchronous Spaceborne-Airborne Bistatic SAR Based on Sparse Separation. IEEE Trans. Geosci. Remote Sens. 2021, 59, 6722–6735. [Google Scholar] [CrossRef]
- Xu, Z.; Wu, Y.; Zhang, B.; Wang, Y. Sparse radar imaging based on L 1/2 regularization theory. Chin. Sci. Bull. 2018, 63, 1306–1319. [Google Scholar] [CrossRef]
- Browne, K.E.; Burkholder, R.J.; Volakis, J.L. Fast Optimization of Through-Wall Radar Images Via the Method of Lagrange Multipliers. IEEE Trans. Antennas Propag. 2013, 61, 320–328. [Google Scholar] [CrossRef]
- Zhao, X.; Li, W.; Zhang, M.; Tao, R.; Ma, P. Adaptive Iterated Shrinkage Thresholding-Based Lp-Norm Sparse Representation for Hyperspectral Imagery Target Detection. Remote Sens. 2020, 12, 3991. [Google Scholar] [CrossRef]
- Zhang, R.; Cheng, L.; Wang, S.; Lou, Y.; Gao, Y.; Wu, W.; Ng, D.W.K. Integrated Sensing and Communication With Massive MIMO: A Unified Tensor Approach for Channel and Target Parameter Estimation. IEEE Trans. Wirel. Commun. 2024, 23, 8571–8587. [Google Scholar] [CrossRef]
- Zhang, R.; Wu, X.; Lou, Y.; Yan, F.G.; Zhou, Z.; Wu, W.; Yuen, C. Channel Training-Aided Target Sensing for Terahertz Integrated Sensing and Massive MIMO Communications. IEEE Internet Things J. 2024; early access. [Google Scholar] [CrossRef]
- An, H.; Wu, J.; Teh, K.C.; Sun, Z.; Li, Z.; Yang, J. Joint Low-Rank and Sparse Tensors Recovery for Video Synthetic Aperture Radar Imaging. IEEE Trans. Geosci. Remote Sens. 2022, 60, 5214913. [Google Scholar] [CrossRef]
- Si, L.; Xu, W.; Yu, X.; Yin, H. An Improved Orthogonal Matching Pursuit Algorithm for CS-Based Channel Estimation. Sensors 2023, 23, 9509. [Google Scholar] [CrossRef]
- Zhang, H.; Xiao, S.; Zhou, P. A Matching Pursuit Algorithm for Backtracking Regularization Based on Energy Sorting. Symmetry 2020, 12, 231. [Google Scholar] [CrossRef]
- Chen, S.; Wang, J.; Huang, X. A Curved SAR Sparse Imaging Method Based on Approximate Observation. In Proceedings of the 2021 IEEE 6th International Conference on Signal and Image Processing (ICSIP), Nanjing, China, 22–24 October 2021; IEEE: Piscataway, NJ, USA, 2021; pp. 381–385. [Google Scholar]
- Liu, L.; Chen, D.R. Convergence of L2/3 Regularization for Sparse Signal Recovery. Asia-Pac. J. Oper. Res. 2015, 32, 1550023. [Google Scholar] [CrossRef]
- Lee, J.; Jeong, D.; Lee, S.; Lee, M.; Lee, W.; Jung, Y. FPGA Implementation of the Chirp-Scaling Algorithm for Real-Time Synthetic Aperture Radar Imaging. Sensors 2023, 23, 959. [Google Scholar] [CrossRef]
- Singh, P.; Diwakar, M.; Shankar, A.; Shree, R.; Kumar, M. A Review on SAR Image and its Despeckling. Arch. Comput. Methods Eng. 2021, 28, 4633–4653. [Google Scholar] [CrossRef]
- Marquez-Martinez, J.; Mittermayer, J.; Rodriguez-Cassola, M. Radiometric resolution optimization for future SAR systems. In Proceedings of the IGARSS 2004, 2004 IEEE International Geoscience and Remote Sensing Symposium, Anchorage, AK, USA, 20–24 September 2004; Volume 3, pp. 1738–1741. [Google Scholar] [CrossRef]
- Cassetti, J.; Delgadino, D.; Rey, A.; Frery, A.C. Entropy Estimators in SAR Image Classification. Entropy 2022, 24, 509. [Google Scholar] [CrossRef] [PubMed]
- Onhon, N.Ö.; Cetin, M. A Sparsity-Driven Approach for Joint SAR Imaging and Phase Error Correction. IEEE Trans. Image Process. 2012, 21, 2075–2088. [Google Scholar] [CrossRef] [PubMed]
- Dabboor, M.; Olthof, I.; Mahdianpari, M.; Mohammadimanesh, F.; Shokr, M.; Brisco, B.; Homayouni, S. The RADARSAT Constellation Mission Core Applications: First Results. Remote Sens. 2022, 14, 301. [Google Scholar] [CrossRef]
- Zhao, L.; Zhang, Q.; Li, Y.; Qi, Y.; Yuan, X.; Liu, J.; Li, H. China’s Gaofen-3 Satellite System and Its Application and Prospect. IEEE J. Sel. Top. Appl. Earth Obs. Remote Sens. 2021, 14, 11019–11028. [Google Scholar] [CrossRef]





| Parameter | Simulation | Applications |
|---|---|---|
| Slant range of scene center (km) | 750 | 1016.7 |
| Effective radar velocity (m/s) | 7100 | 7062 |
| Beam squint angle (rad) | 0 | 0.06 |
| Radar center frequency (MHz) | 10,000 | 5300 |
| Pulse duration (μs) | 20 | 30 |
| Range FM Rate (MHz/μs) | 1.5 | 0.72135 |
| Range Sampling Rate (MHz) | 36 | 32.317 |
| Azimuth Sampling Rate (Hz) | 2841 | 1733 |
| Method | MSE | ENL | ENY | RARES | Imaging Time |
|---|---|---|---|---|---|
| CSA | 1.01 | 0.16 | 0.54 | 5.40 | 1.20 s |
| ℓ1-ITA | 1.32 × 10−2 | 7.31 | 2.10 × 10−4 | 1.36 | 3.38 s |
| ℓ1/2-ITA | 1.18 × 10−2 | 11.77 | 2.18 × 10−4 | 1.11 | 2.39 s |
| The proposed method | 7.60 × 10−3 | 26.46 | 1.93 × 10−4 | 0.77 | 2.08 s |
| Method | ENL | ENY | RARES | Imaging Time |
|---|---|---|---|---|
| CSA | 0.98 | 2.10 | 3.02 | 3.51 s |
| ℓ1-ITA | 0.17 | 0.06 | 5.30 | 7.11 s |
| ℓ1/2-ITA | 1.13 | 0.01 | 2.87 | 6.27 s |
| ℓ2/3-ITA | 1.26 | 0.01 | 2.76 | 6.57 s |
| The proposed method | 1.81 | 8.2 × 10−3 | 2.40 | 6.03 s |
| Method | ENL | ENY | RARES | Imaging Time |
|---|---|---|---|---|
| CSA | 0.22 | 2.35 | 1.22 | 0.50 s |
| ℓ1-ITA | 0.63 | 0.71 | 3.52 | 1.53 s |
| ℓ1/2-ITA | 6.52 | 0.25 | 1.43 | 0.69 s |
| ℓ2/3-ITA | 7.65 | 0.17 | 1.33 | 0.74 s |
| The proposed method | 15.92 | 0.098 | 0.97 | 0.67 s |
Disclaimer/Publisher’s Note: The statements, opinions and data contained in all publications are solely those of the individual author(s) and contributor(s) and not of MDPI and/or the editor(s). MDPI and/or the editor(s) disclaim responsibility for any injury to people or property resulting from any ideas, methods, instructions or products referred to in the content. |
© 2024 by the authors. Licensee MDPI, Basel, Switzerland. This article is an open access article distributed under the terms and conditions of the Creative Commons Attribution (CC BY) license (https://creativecommons.org/licenses/by/4.0/).
Share and Cite
Li, G.; Xin, D.; Li, W.; Yang, L.; Wang, D.; Zhou, Y. Approximate Observation Weighted ℓ2/3 SAR Imaging under Compressed Sensing. Sensors 2024, 24, 6418. https://doi.org/10.3390/s24196418
Li G, Xin D, Li W, Yang L, Wang D, Zhou Y. Approximate Observation Weighted ℓ2/3 SAR Imaging under Compressed Sensing. Sensors. 2024; 24(19):6418. https://doi.org/10.3390/s24196418
Chicago/Turabian StyleLi, Guangtao, Dongjin Xin, Weixin Li, Lei Yang, Dong Wang, and Yongkang Zhou. 2024. "Approximate Observation Weighted ℓ2/3 SAR Imaging under Compressed Sensing" Sensors 24, no. 19: 6418. https://doi.org/10.3390/s24196418
APA StyleLi, G., Xin, D., Li, W., Yang, L., Wang, D., & Zhou, Y. (2024). Approximate Observation Weighted ℓ2/3 SAR Imaging under Compressed Sensing. Sensors, 24(19), 6418. https://doi.org/10.3390/s24196418

