An Eco-Driving Strategy at Multiple Fixed-Time Signalized Intersections Considering Traffic Flow Effects
Abstract
1. Introduction
- (I)
- Considering the effects of queuing on CAVs and the obstruction of CAVs to following vehicles in a mixed environment, a traffic flow situation estimation model is constructed that can estimate multiple signalized intersection queue lengths and obstructed fleet lengths.
- (II)
- A feasible speed set calculation method for multiple signalized intersections based on traffic flow situation estimation is proposed, which can calculate the speed range that enables vehicles to cross the multiple signalized intersections without stopping and obstructing the following vehicles.
- (III)
- Optimizing CAV speed trajectories at multiple signalized intersections based on a genetic algorithm, aiming to find the optimal speed trajectory in the feasible speed set that maximizes traffic efficiency while minimizing fuel consumption and emissions.
2. Related Work
3. Estimation of Traffic Flow Situation at Signalized Intersection
4. Eco-Driving Strategy Considering Traffic Flow Effects
4.1. System Architecture
- No overtaking or lane changing.
- The CAVs completely follow the speed trajectory of the proposed strategy under safe conditions.
- The effect of the slope on the vehicle is ignored.
4.2. Feasible Speed Set for Multiple Signalized Intersection
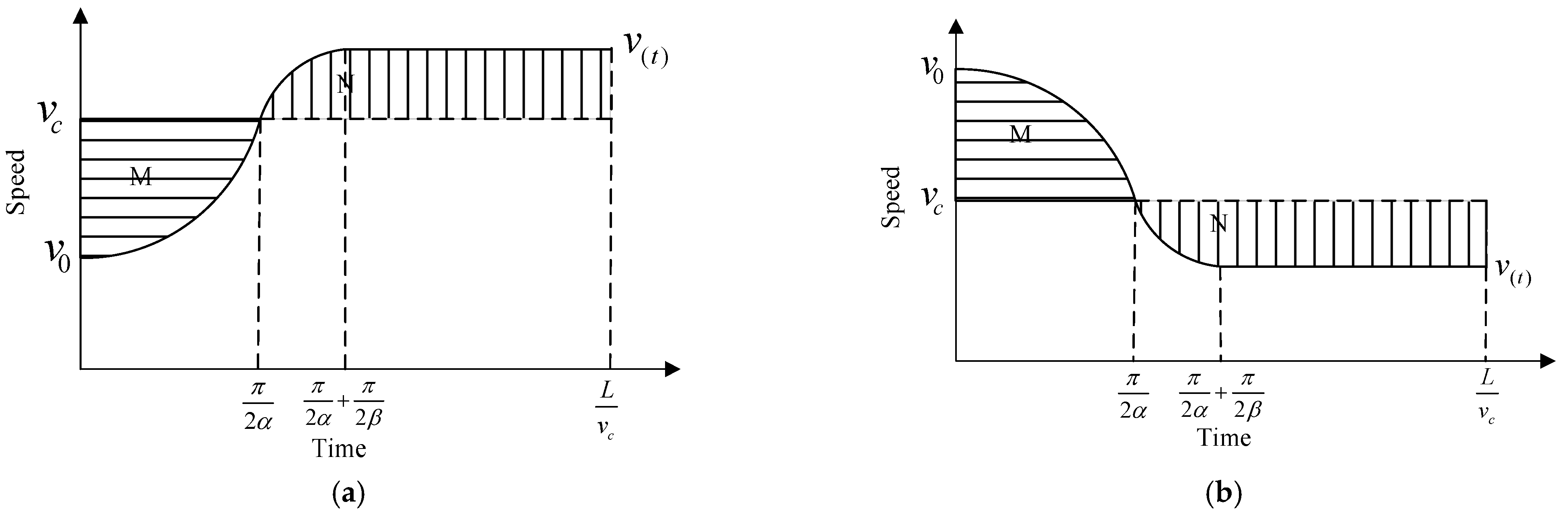
4.3. Velocity Trajectory Based on Trigonometric Profile
4.4. Fuel Consumption and Emission Calculation
4.5. Target Speed Optimization Based on Genetic Algorithm
5. Experimental Analysis
5.1. Simulation Settings
5.2. Eco-Driving Strategy Effectiveness Verification
5.3. The Effect of Eco-Driving Strategy on Fuel Consumption Rate and Emission Rate
5.4. The Effect of Eco-Driving Strategy on Traffic Performance and Fuel Consumption and Emissions
5.5. The Effect of CAV Market Penetration Rate
6. Conclusions
Author Contributions
Funding
Institutional Review Board Statement
Informed Consent Statement
Data Availability Statement
Conflicts of Interest
References
- Hamednia, A.; Sharma, N.K.; Murgovski, N.; Fredriksson, J. Computationally Efficient Algorithm for Eco-Driving Over Long Look-Ahead Horizons. IEEE Trans. Intell. Transp. Syst. 2022, 23, 6556–6570. [Google Scholar] [CrossRef]
- Naeem, H.M.Y.; Butt, Y.A.; Ahmed, Q.; Bhatti, A.L. Optimal-Control-Based Eco-Driving Solution for Connected Battery Electric Vehicle on a Signalized Route. Automot. Innov. 2023, 6, 586–596. [Google Scholar] [CrossRef]
- Chen, J.; Qian, Y.; Qu, X. Cooperative control of connected hybrid electric vehicles and traffic signals at isolated intersections. IET Intell. Transp. Syst. 2020, 14, 1903–1912. [Google Scholar] [CrossRef]
- Vahidi, A.; Sciarretta, A. Energy saving potentials of connected and automated vehicles. Transp. Res. Part C Emerg. Technol. 2021, 95, 822–843. [Google Scholar] [CrossRef]
- Ding, H.; Li, W.; Xu, N.; Zhang, J. An enhanced eco-driving strategy based on reinforcement learning for connected electric vehicles: Cooperative velocity and lane-changing control. J. Intell. Connect. Veh. 2022, 5, 316–332. [Google Scholar] [CrossRef]
- Han, X.; Ma, R.; Zhang, H.M. Energy-aware trajectory optimization of CAV platoons through a signalized intersection. Transp. Res. Part C Emerg. Technol. 2020, 118, 102652. [Google Scholar] [CrossRef]
- Shan, X.; Wan, C.; Hao, P.; Wu, G.; Zhang, X. Connected eco-driving for electric buses along signalized arterials with bus stops. IET Intell. Transp. Syst. 2020, 17, 579–591. [Google Scholar] [CrossRef]
- Nguyen, C.H.P.; Hoang, N.H.; Lee, S.; Vu, H.L. A System Optimal Speed Advisory Framework for a Network of Connected and Autonomous Vehicles. IEEE Trans. Intell. Transp. Syst. 2022, 23, 5727–5739. [Google Scholar] [CrossRef]
- Xu, N.; Li, X.; Liu, Q.; Zhao, D. An Overview of Eco-Driving Theory, Capability Evaluation, and Training Applications. Sensors 2021, 21, 6547. [Google Scholar] [CrossRef]
- Tajalli, M.; Mehrabipour, M.; Hajbabaie, A. Network-Level Coordinated Speed Optimization and Traffic Light Control for Connected and Automated Vehicles. IEEE Trans. Intell. Transp. Syst. 2021, 22, 6748–6759. [Google Scholar] [CrossRef]
- Kavas-Torris, O.; Guvenc, L. A Comprehensive Eco-Driving Strategy for CAVs with Microscopic Traffic Simulation Testing Evaluation. Sensors 2023, 23, 8416. [Google Scholar] [CrossRef] [PubMed]
- Shen, X.; Zhang, X.; Ouyang, T.; Li, Y.; Raksincharoensak, P. Cooperative Comfortable-Driving at Signalized Intersections for Connected and Automated Vehicles. IEEE Robot. Autom. Lett. 2020, 5, 6247–6254. [Google Scholar] [CrossRef]
- Altan, O.D.; Wu, G.; Barth, M.J.; Boriboonsomsin, K. GlidePath: Eco-Friendly Automated Approach and Departure at Signalized Intersections. IEEE Trans. Intell. Veh. 2017, 2, 266–277. [Google Scholar] [CrossRef]
- Jiang, H.; Hu, J.; An, S.; Wang, M.; Park, B.B. Eco approaching at an isolated signalized intersection under partially connected and automated vehicles environment. Transp. Res. Part C Emerg. Technol. 2017, 79, 290–307. [Google Scholar] [CrossRef]
- Lin, Q.; Li, S.E.; Du, X.; Zhang, X.; Peng, H.; Luo, Y.; Li, K. Minimize the Fuel Consumption of Connected Vehicles between Two Red-Signalized Intersections in Urban Traffic. IEEE Trans. Veh. Technol. 2018, 67, 9060–9072. [Google Scholar] [CrossRef]
- Sun, C.; Guanetti, J.; Borrelli, F.; Moura, S.J. Optimal Eco-Driving Control of Connected and Autonomous Vehicles through Signalized Intersections. IEEE Internet Things J. 2020, 7, 3759–3773. [Google Scholar] [CrossRef]
- Ma, F.; Yang, Y.; Wang, J.; Li, X.; Wu, G.; Zhao, Y.; Wu, L.; Aksun-Guvenc, B.; Guvrnc, L. Eco-driving-based cooperative adaptive cruise control of connected vehicles platoon at signalized intersections. Transp. Res. Part D Transp. Environ. 2021, 92, 102746. [Google Scholar] [CrossRef]
- Wang, Z.; Wu, G.; Barth, M.J. Cooperative Eco-Driving at Signalized Intersections in a Partially Connected and Automated Vehicle Environment. IEEE Trans. Intell. Transp. Syst. 2020, 21, 2029–2038. [Google Scholar] [CrossRef]
- HomChaudhuri, B.; Vahidi, A.; Pisu, P. Fast Model Predictive Control-Based Fuel Efficient Control Strategy for a Group of Connected Vehicles in Urban Road Conditions. IEEE Trans. Control. Syst. Technol. 2017, 25, 760–767. [Google Scholar] [CrossRef]
- Xin, Q.; Fu, R.; Yuan, W.; Liu, Q.; Yu, S. Predictive intelligent driver model for eco-driving using upcoming traffic signal information. Phys. A Stat. Mech. Its Appl. 2018, 508, 806–823. [Google Scholar] [CrossRef]
- Yang, H.; Almutairi, F.; Rakha, H. Eco-Driving at Signalized Intersections: A Multiple Signal Optimization Approach. IEEE Trans. Intell. Transp. Syst. 2021, 22, 2943–2955. [Google Scholar] [CrossRef]
- Guo, Q.; Angah, O.; Liu, Z.; Ban, X. Hybrid deep reinforcement learning based eco-driving for low-level connected and automated vehicles along signalized corridors. Transp. Res. Part C Emerg. Technol. 2021, 124, 102980. [Google Scholar] [CrossRef]
- Zhou, M.; Yu, L.; Xuan, L. Development of an Efficient Driving Strategy for Connected and Automated Vehicles at Signalized Intersections: A Reinforcement Learning Approach. IEEE Trans. Intell. Transp. Syst. 2020, 21, 433–443. [Google Scholar] [CrossRef]
- Wegener, M.; Koch, L.; Eisenbarth, M.; Andert, J. Automated eco-driving in urban scenarios using deep reinforcement learning. Transp. Res. Part C Emerg. Technol. 2021, 126, 102967. [Google Scholar] [CrossRef]
- Lighthill, M.J.; Whitham, G.B. On kinematic waves. II. A theory of traffic flow on long crowded roads. Proc. Roy. Lond. 1995, 229, 317–345. [Google Scholar]
- Richards, P.I. Shock waves on the highway. Oper. Res. 1956, 4, 42–51. [Google Scholar] [CrossRef]
- Li, X.; Cui, J.; An, S.; Parsafard, M. Stop-and-go traffic analysis: Theoretical properties, environmental impacts and oscillation mitigation. Transp. Res. Part B Methodol. 2014, 70, 319–339. [Google Scholar] [CrossRef]
- Rakha, H.; Ahn, K.; Trani, A. Development of VT-Micro model for estimating hot stabilized light duty vehicle and truck emissions. Transp. Res. Part D Transp. Environ. 2004, 9, 49–74. [Google Scholar] [CrossRef]















| Parameter | Value |
|---|---|
| Control section starting point location (m) | 400 |
| Location of the first intersection (m) | 700 |
| Location of the second intersection (m) | 1200 |
| Location of the third intersection (m) | 1700 |
| Location of analysis endpoint (m) | 1850 |
| Tg11 (s) | 20 |
| Tr11 (s) | 50 |
| Tg21 (s) | 30 |
| Tr21 (s) | 60 |
| Tg31 (s) | 0 |
| Tr31 (s) | 30 |
| Maximum speed limit of the road (km·h−1) | 70 |
| Minimum control speed (km·h−1) | 30 |
| Free flow speed (km·h−1) | 50 |
| Simulation duration (Simulation seconds) | 4200 |
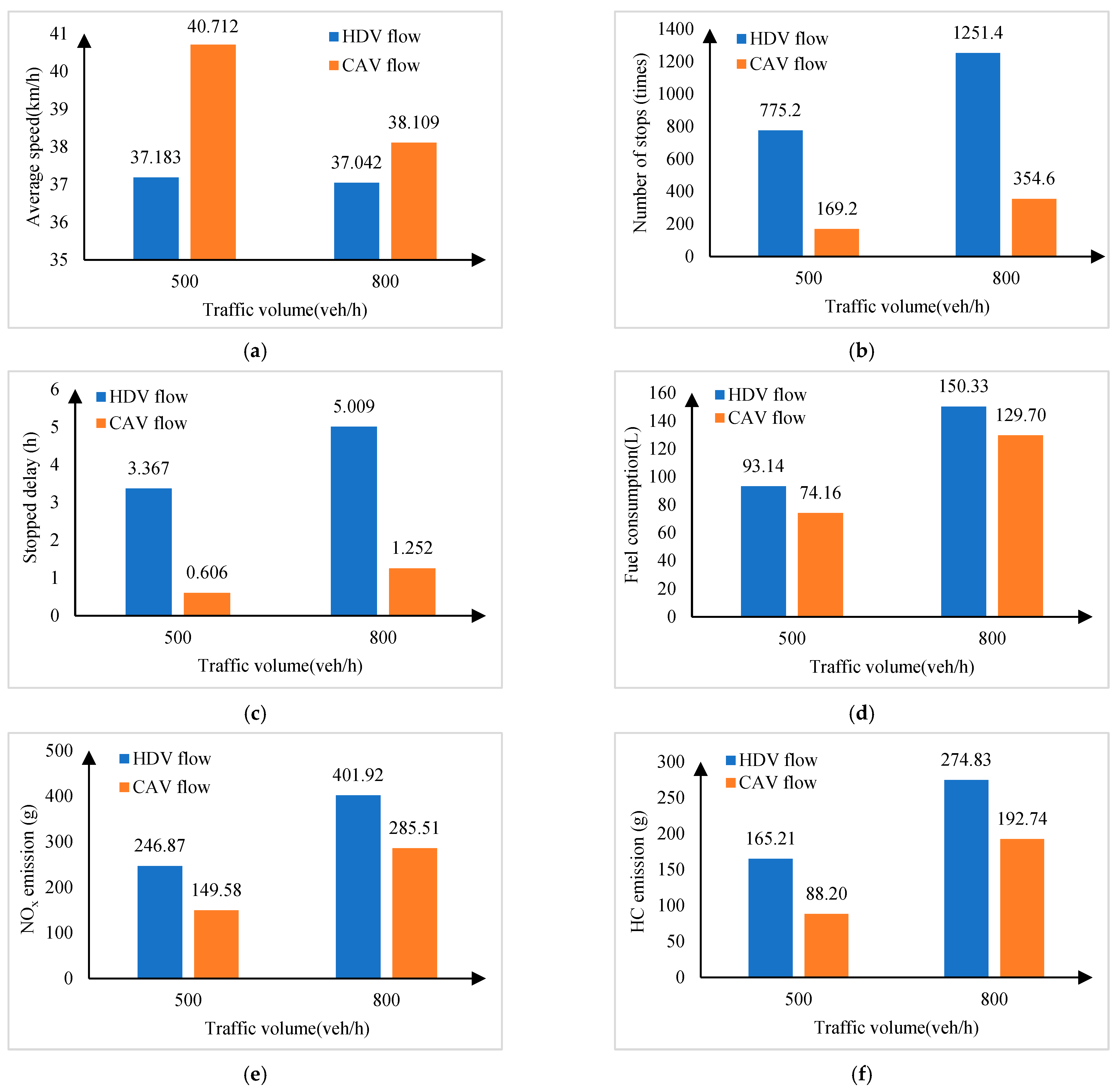
| Average Speed /(km/h) | Number of Stops /(times) | Stopped Delay /(h) | Fuel Consumption /(L) | NOx Emission /(g) | HC Emission /(g) | |
|---|---|---|---|---|---|---|
| HDV flow | 37.183 | 775.2 | 3.367 | 93.14 | 246.87 | 165.21 |
| Eco-driving strategy -so-ctfe | 38.323 | 314.4 | 1.529 | 82.80 | 194.98 | 127.33 |
| Eco-driving strategy -fco-cofv | 39.392 | 191.6 | 0.755 | 77.52 | 159.72 | 101.07 |
| Eco-driving strategy -so | 40.723 | 176.6 | 0.642 | 75.22 | 156.56 | 92.47 |
| Eco-driving strategy | 40.712 | 169.2 | 0.606 | 74.16 | 149.58 | 88.20 |
Disclaimer/Publisher’s Note: The statements, opinions and data contained in all publications are solely those of the individual author(s) and contributor(s) and not of MDPI and/or the editor(s). MDPI and/or the editor(s) disclaim responsibility for any injury to people or property resulting from any ideas, methods, instructions or products referred to in the content. |
© 2024 by the authors. Licensee MDPI, Basel, Switzerland. This article is an open access article distributed under the terms and conditions of the Creative Commons Attribution (CC BY) license (https://creativecommons.org/licenses/by/4.0/).
Share and Cite
Wang, H.; Guo, J.; Wang, J.; Guo, J. An Eco-Driving Strategy at Multiple Fixed-Time Signalized Intersections Considering Traffic Flow Effects. Sensors 2024, 24, 6356. https://doi.org/10.3390/s24196356
Wang H, Guo J, Wang J, Guo J. An Eco-Driving Strategy at Multiple Fixed-Time Signalized Intersections Considering Traffic Flow Effects. Sensors. 2024; 24(19):6356. https://doi.org/10.3390/s24196356
Chicago/Turabian StyleWang, Huinian, Junbin Guo, Jingyao Wang, and Jinghua Guo. 2024. "An Eco-Driving Strategy at Multiple Fixed-Time Signalized Intersections Considering Traffic Flow Effects" Sensors 24, no. 19: 6356. https://doi.org/10.3390/s24196356
APA StyleWang, H., Guo, J., Wang, J., & Guo, J. (2024). An Eco-Driving Strategy at Multiple Fixed-Time Signalized Intersections Considering Traffic Flow Effects. Sensors, 24(19), 6356. https://doi.org/10.3390/s24196356

