Damping Characteristics of a Novel Bellows Viscous Damper
Abstract
1. Introduction
2. System Structure
3. Modeling and Characterization of Bellows-Type Viscous Dampers
3.1. Model Based on Hydraulic Fluid Dynamics
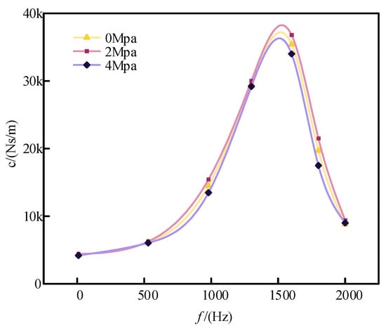
3.2. Effect of Different Parameters on Damping Characteristics
4. Experiments and Discussion
4.1. Experimental System Construction and Process
4.2. Analysis of Experimental Results
5. Conclusions
Author Contributions
Funding
Institutional Review Board Statement
Informed Consent Statement
Data Availability Statement
Acknowledgments
Conflicts of Interest
References
- Jiao, X.; Zhang, J.; Li, W.; Wang, Y.; Ma, W.; Zhao, Y. Advances in Spacecraft Micro-Vibration Suppression Methods. Prog. Aerosp. Sci. 2023, 138, 100898. [Google Scholar] [CrossRef]
- Luo, H.; Fan, C.; Li, Y.; Liu, G.; Yu, C. Design and Experiment of Micro-Vibration Isolation System for Optical Satellite. Eur. J. Mech. A/Solids 2023, 97, 104833. [Google Scholar] [CrossRef]
- Shi, H.T.; Abubakar, M.; Bai, X.T.; Luo, Z. Vibration Isolation Methods in Spacecraft: A Review of Current Techniques. Adv. Space Res. 2024, 73, 3993–4023. [Google Scholar] [CrossRef]
- Han, Q.; Gao, S.; Chu, F. Micro-Vibration Analysis, Suppression, and Isolation of Spacecraft Flywheel Rotor Systems: A Review. Vibration 2024, 7, 229–263. [Google Scholar] [CrossRef]
- Li, L.; Wang, L.; Yuan, L.; Zheng, R.; Wu, Y.P.; Sui, J.; Zhong, J. Micro-Vibration Suppression Methods and Key Technologies for High-Precision Space Optical Instruments. Acta Astronaut. 2021, 180, 417–428. [Google Scholar] [CrossRef]
- Lian, X.; Deng, H.; Han, G.; Jiang, F.; Zhu, L.; Shao, M.; Liu, X.; Hu, R.; Gao, Y.; Ma, M. A Low-Frequency Micro-Vibration Absorber Based on a Designable Quasi-Zero Stiffness Beam. Aerosp. Sci. Technol. 2023, 132, 108044. [Google Scholar] [CrossRef]
- Zhao, Y.; Cui, J.; Cui, R.; Jin, M.; Zhao, J. Laminated Permanent Magnet Array Eddy Current Damper for Large-Scale Precision Micro-Vibration Isolation. J. Vib. Control 2024, 10775463241257573. [Google Scholar] [CrossRef]
- Yin, X.; Xu, Y.; Sheng, X.; Wan, S.; Wang, Y. Study on the Micro-Vibration Suppression of a MnCu Spring Isolation Platform with Low Stiffness and High Damping. Int. J. Aeronaut. Space Sci. 2023, 24, 753–765. [Google Scholar] [CrossRef]
- Su, L.; Zhang, W.; Chen, Y.; Zhang, C. Seismic Design and Shaking Table Test of Continuous Girder Bridges with Winding Rope Fluid Viscous Dampers. Eng. Struct. 2023, 277, 115408. [Google Scholar] [CrossRef]
- Fakhraei, J.; Khanlo, H.M.; Dehghani, R. Nonlinear Dynamic Behavior of a Heavy Articulated Vehicle With Magnetorheological Dampers. J. Comput. Nonlinear Dyn. 2017, 12, 041017. [Google Scholar] [CrossRef]
- Qiu, C.; Liu, J.; Du, X. Cyclic Behavior of SMA Slip Friction Damper. Eng. Struct. 2022, 250, 113407. [Google Scholar] [CrossRef]
- Chen, Y.; Chen, C.; Jiang, H.; Liu, T.; Wan, Z. Study of an Innovative Graded Yield Metal Damper. J. Constr. Steel Res. 2019, 160, 240–254. [Google Scholar] [CrossRef]
- Koutsoloukas, L.; Nikitas, N.; Aristidou, P. Passive, Semi-Active, Active and Hybrid Mass Dampers: A Literature Review with Associated Applications on Building-like Structures. Dev. Built Environ. 2022, 12, 100094. [Google Scholar] [CrossRef]
- Bhowmik, K.; Debnath, N. Semi-Active Vibration Control of Soft-Storey Building with Magnetorheological Damper Under Seismic Excitation. J. Vib. Eng. Technol. 2024, 12, 6943–6961. [Google Scholar] [CrossRef]
- Li, M.; Cheng, W.; Xie, R.L. A Quasi-Zero-Stiffness Vibration Isolator Using a Cam Mechanism with User-Defined Profile. Int. J. Mech. Sci. 2021, 189, 105938. [Google Scholar] [CrossRef]
- Yang, J.; Ning, D.; Sun, S.S.; Zheng, J.; Lu, H.; Nakano, M.; Zhang, S.; Du, H.; Li, W.H. A Semi-Active Suspension Using a Magnetorheological Damper with Nonlinear Negative-Stiffness Component. Mech. Syst. Signal Process. 2021, 147, 107071. [Google Scholar] [CrossRef]
- Zhu, G.N.; Liu, J.Y.; Cao, Q.J.; Cheng, Y.F.; Lu, Z.C.; Zhu, Z.B. A Two Degree of Freedom Stable Quasi-Zero Stiffness Prototype and Its Applications in Aseismic Engineering. Sci. China-Technol. Sci. 2020, 63, 496–505. [Google Scholar] [CrossRef]
- Hao, R.B.; Lu, Z.Q.; Ding, H.; Chen, L.Q. A Nonlinear Vibration Isolator Supported on a Flexible Plate: Analysis and Experiment. Nonlinear Dyn. 2022, 108, 941–958. [Google Scholar] [CrossRef]
- Zhao, J.; Zhou, G.; Zhang, D.; Kovacic, I.; Zhu, R.; Hu, H. Integrated Design of a Lightweight Metastructure for Broadband Vibration Isolation. Int. J. Mech. Sci. 2023, 244, 108069. [Google Scholar] [CrossRef]
- Wen, G.; Lin, Y.; He, J. A Quasi-Zero-Stiffness Isolator with a Shear-Thinning Viscous Damper. Appl. Math. Mech.-Engl. Ed. 2022, 43, 311–326. [Google Scholar] [CrossRef]
- Hu, H.; Chen, L.; Qian, J. Random Vibration Analysis of Nonlinear Structure with Viscoelastic Nonlinear Energy Sink. J. Vib. Control 2024, 30, 2605–2618. [Google Scholar] [CrossRef]
- Rui-jia, D. Optimizing the Performance of Nonlinear Impact Damper Connected to Beam in Forced Vibrations with Hybrid Metaheuristic Method. Multiscale Multidiscip. Model. Exp. Des. 2024, 7, 165–172. [Google Scholar] [CrossRef]
- Zhou, P.; Liu, M.; Li, H. A Passive Negative Stiffness Damper in Series with a Flexible Support: Theoretical and Experimental Study. J. Vib. Control. 2024, 10775463241257573. [Google Scholar] [CrossRef]
- Zhao, L.; Chang, Z.; Zheng, Z. The Vibration Mitigation of Jacket Offshore Platform Based on Inerter Nonlinear Energy Sink. Ocean Eng. 2023, 280, 114943. [Google Scholar] [CrossRef]
- Yi, J.; Zhou, J.; Ye, X. Seismic Control of Cable-Stayed Bridge Using Negative Stiffness Device and Fluid Viscous Damper under Near-Field Ground Motions. J. Earthq. Eng. 2022, 26, 2642–2659. [Google Scholar] [CrossRef]
- Elwardany, H.; Jankowski, R.; Seleemah, A. Mitigating the Seismic Pounding of Multi-Story Buildings in Series Using Linear and Nonlinear Fluid Viscous Dampers. Archiv. Civ. Mech. Eng. 2021, 21, 137. [Google Scholar] [CrossRef]
- Zhou, Y.; Sebaq, M.S.; Xiao, Y. Energy Dissipation Demand and Distribution for Multi-Story Buildings with Fluid Viscous Dampers. Eng. Struct. 2022, 253, 113813. [Google Scholar] [CrossRef]
- Lin, K.; Zhou, A.; Liu, H.; Liu, Y.; Huang, C. Shear Thickening Fluid Damper and Its Application to Vibration Mitigation of Stay Cable. Structures 2020, 26, 214–223. [Google Scholar] [CrossRef]
- Jung, T.; Lee, S.; Kwon, S. Dynamic Characteristics of a Bellows-Type Mixture-Ratio Stabilizer for a Liquid Rocket Engine. J. Spacecr. Rocket. 2010, 47, 849–856. [Google Scholar] [CrossRef]
- Fernández, A.; Hernández, I.; Castro, N.; Bilbao, A.; Mosqueda, G.; Sepulveda, C.; Bustamante, R.; Bigelow, B.C.; Arriagada, G.; Villar, E.; et al. GMT Telescope Seismic Isolation System Design and Validation. In Ground-Based and Airborne Telescopes X; SPIE: Pamiers, France, 2024; Volume 13094, pp. 723–745. [Google Scholar]
- Greco, R.; Marano, G.C. Identification of Parameters of Maxwell and Kelvin–Voigt Generalized Models for Fluid Viscous Dampers. J. Vib. Control 2015, 21, 260–274. [Google Scholar] [CrossRef]
- Vasile, O.; Bugaru, M. A New Modeling Approach for Viscous Dampers Using an Extended Kelvin–Voigt Rheological Model Based on the Identification of the Constitutive Law’s Parameters. Computation 2023, 11, 3. [Google Scholar] [CrossRef]
- Chmielowiec, A.; Michajłyszyn, A.; Homik, W. Behaviour of a Torsional Vibration Viscous Damper in the Event of a Damper Fluid Shortage. Pol. Marit. Res. 2023, 30, 105–113. [Google Scholar] [CrossRef]
- Hu, S.; Yang, M.; Meng, D.; Hu, R. Damping Performance of the Degraded Fluid Viscous Damper Due to Oil Leakage. Structures 2023, 48, 1609–1619. [Google Scholar] [CrossRef]
- Lak, H.; Zahrai, S.M. Self-Heating of Viscous Dampers under Short- & Long-Duration Loads: Experimental Observations and Numerical Simulations. Structures 2023, 48, 275–287. [Google Scholar] [CrossRef]
- Ma, R.; Bi, K.; Hao, H. A Novel Rotational Inertia Damper for Amplifying Fluid Resistance: Experiment and Mechanical Model. Mech. Syst. Signal Process. 2021, 149, 107313. [Google Scholar] [CrossRef]
- Liu, C.; Jing, X.; Daley, S.; Li, F. Recent Advances in Micro-Vibration Isolation. Mech. Syst. Signal Process. 2015, 56–57, 55–80. [Google Scholar] [CrossRef]
- Steier, F.; Runte, T.; Monsky, A.; Klock, T.; Laduree, G. Managing the Microvibration Impact on Satellite Performances. Acta Astronaut. 2019, 162, 461–468. [Google Scholar] [CrossRef]
- Jiao, X.; Zhang, J.; Yan, Y.; Zhao, H. Research on Nonlinear Stiffness and Damping of Bellows-Type Fluid Viscous Damper. Nonlinear Dyn 2021, 103, 215–237. [Google Scholar] [CrossRef]
- Teng, H.; Gao, X. The Dynamic Properties and Performance of the Bellows-Type Hydraulic Inerter-Based Dynamic Anti-Resonance Vibration Isolator. J. Vib. Control 2024, 10775463241228647. [Google Scholar] [CrossRef]
- Oh, H.-U.; Izawa, K.; Taniwaki, S. Development of Variable-Damping Isolator Using Bio-Metal Fiber for Reaction Wheel Vibration Isolation. Smart Mater. Struct. 2005, 14, 928. [Google Scholar] [CrossRef]
- Jiao, X.; Zhang, J.; Li, W.; Mu, J. A Reduced-Order Model of the Three-Parameter Fluid Viscous Damper with Consideration of Fluid Compressibility and Bellows Volume Deformation. Nonlinear Dyn. 2023, 111, 7027–7053. [Google Scholar] [CrossRef]











| Cavity Pressure Mpa | Experimentally Obtained Damping Peaks c (/Ns/m) | Theoretically Calculated Damping Peaks c (/Ns/m) |
| 0 | 35,048 | 36,411 |
| 2 | 36,475 | 36,734 |
| 4 | 37,846 | 36,989 |
Disclaimer/Publisher’s Note: The statements, opinions and data contained in all publications are solely those of the individual author(s) and contributor(s) and not of MDPI and/or the editor(s). MDPI and/or the editor(s) disclaim responsibility for any injury to people or property resulting from any ideas, methods, instructions or products referred to in the content. |
© 2024 by the authors. Licensee MDPI, Basel, Switzerland. This article is an open access article distributed under the terms and conditions of the Creative Commons Attribution (CC BY) license (https://creativecommons.org/licenses/by/4.0/).
Share and Cite
Chen, Y.; Qin, C.; Zhou, H.; Xu, Z.; Xu, A.; Li, H. Damping Characteristics of a Novel Bellows Viscous Damper. Sensors 2024, 24, 6265. https://doi.org/10.3390/s24196265
Chen Y, Qin C, Zhou H, Xu Z, Xu A, Li H. Damping Characteristics of a Novel Bellows Viscous Damper. Sensors. 2024; 24(19):6265. https://doi.org/10.3390/s24196265
Chicago/Turabian StyleChen, Yang, Chao Qin, Honghai Zhou, Zhenbang Xu, Anpeng Xu, and Hang Li. 2024. "Damping Characteristics of a Novel Bellows Viscous Damper" Sensors 24, no. 19: 6265. https://doi.org/10.3390/s24196265
APA StyleChen, Y., Qin, C., Zhou, H., Xu, Z., Xu, A., & Li, H. (2024). Damping Characteristics of a Novel Bellows Viscous Damper. Sensors, 24(19), 6265. https://doi.org/10.3390/s24196265

