Manganese Sulfanyl Porphyrazine–MWCNT Nanohybrid Electrode Material as a Catalyst for H2O2 and Glucose Biosensors
Abstract
1. Introduction
2. Materials and Methods
2.1. General Procedures
2.2. Synthetic Procedures and Characterization
2.3. Reagents and Materials for Electrochemical Analysis
2.4. Electrochemical Measurments
2.5. Fabrication of GC/MWCNT, GC/MWCNT/Pz3, and GC/MWCNT/Pz3/GOx Modified Electrodes
3. Results and Discussion
3.1. Synthesis and Characterization
3.2. Optical Properties
3.3. Electrochemical Study of Pz3 in Organic Electrolyte
3.4. SEM and AFM Study of MWCNT and MWCNT/Pz3 Material
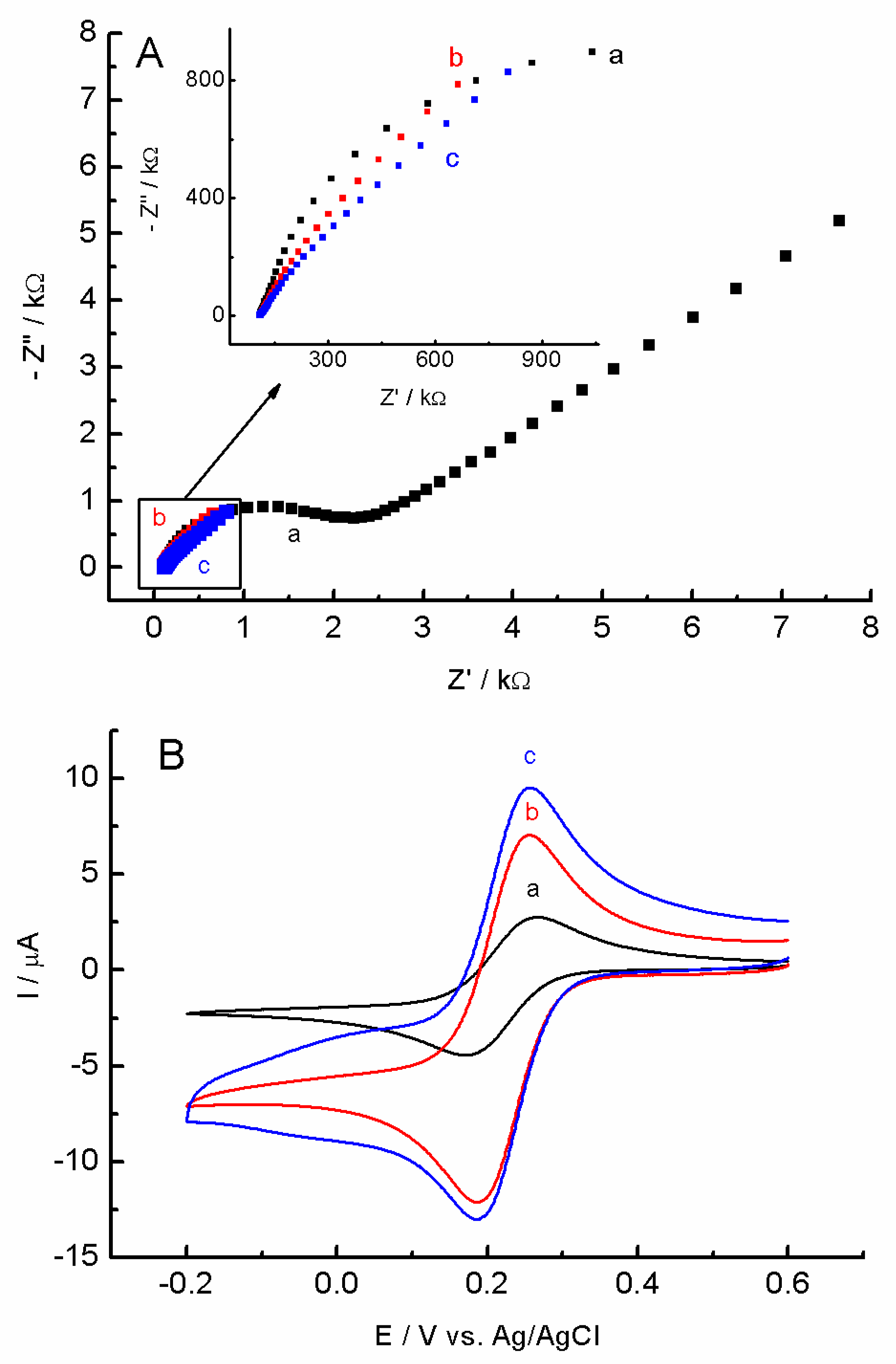
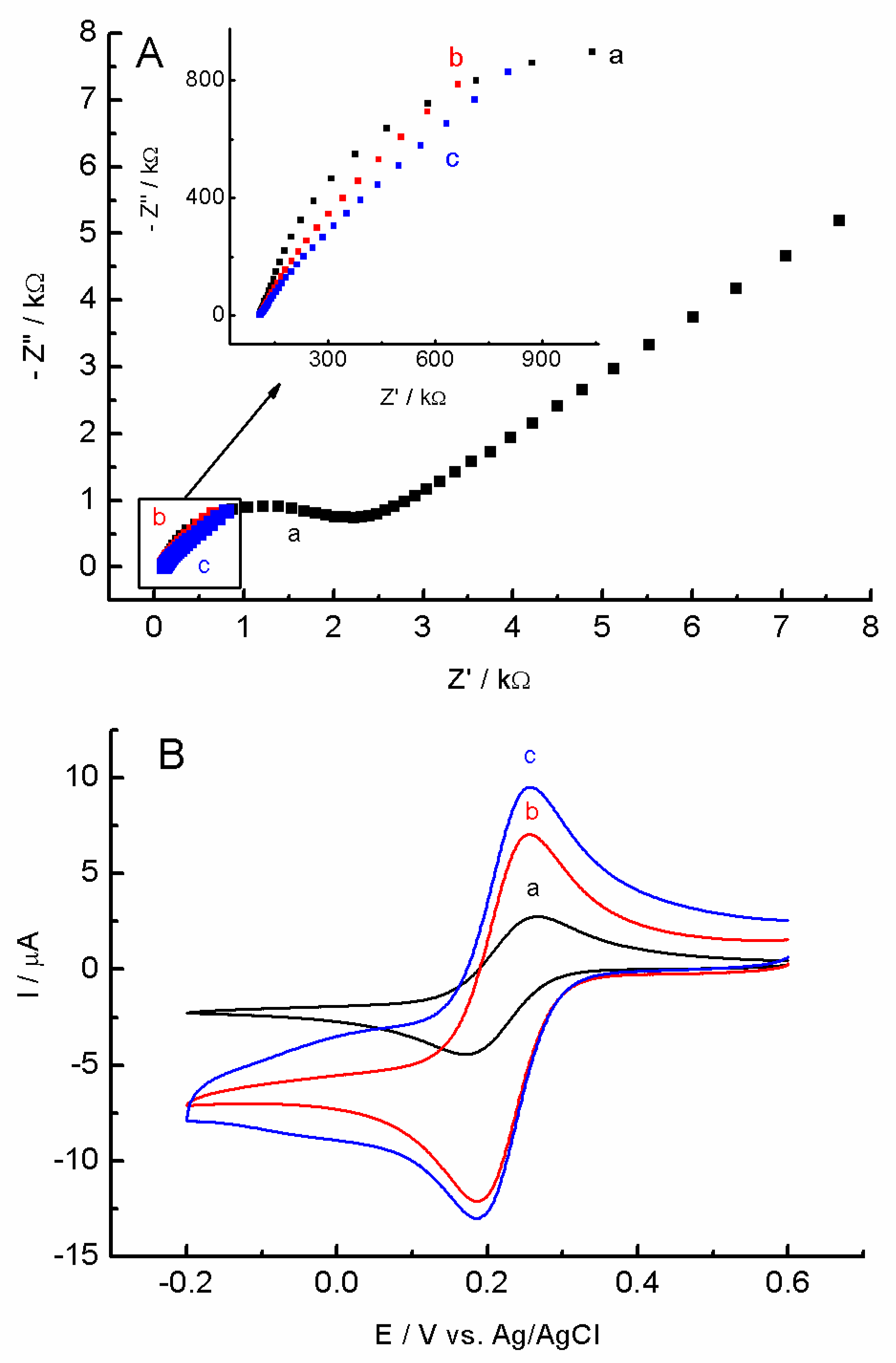
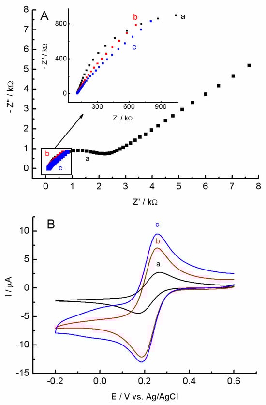
3.5. Electrochemical Characterization of Pz3 Deposited on MWCNT (GC/MWCNT/Pz3) in Phosphate Buffer (PB)
3.6. Electrochemical Measurements of the GC/MWCNT/Pz3 Electrode in the Presence of Hydrogen Peroxide
3.7. Glucose Biosensing at GC/MWCNT/Pz3/GOx
4. Conclusions
Supplementary Materials
Author Contributions
Funding
Institutional Review Board Statement
Informed Consent Statement
Data Availability Statement
Acknowledgments
Conflicts of Interest
References
- Baranwal, J.; Barse, B.; Gatto, G.; Broncova, G.; Kumar, A. Electrochemical Sensors and Their Applications: A Review. Chemosensors 2022, 10, 363. [Google Scholar] [CrossRef]
- Yoo, E.-H.; Lee, S.-Y. Glucose Biosensors: An Overview of Use in Clinical Practice. Sensors 2010, 10, 4558–4576. [Google Scholar] [CrossRef] [PubMed]
- Mohamad Nor, N.; Ridhuan, N.S.; Abdul Razak, K. Progress of Enzymatic and Non-Enzymatic Electrochemical Glucose Biosensor Based on Nanomaterial-Modified Electrode. Biosensors 2022, 12, 1136. [Google Scholar] [CrossRef]
- Hassan, M.H.; Vyas, C.; Grieve, B.; Bartolo, P. Recent Advances in Enzymatic and Non-Enzymatic Electrochemical Glucose Sensing. Sensors 2021, 21, 4672. [Google Scholar] [CrossRef]
- Magna, G.; Mandoj, F.; Stefanelli, M.; Pomarico, G.; Monti, D.; Di Natale, C.; Paolesse, R.; Nardis, S. Recent Advances in Chemical Sensors Using Porphyrin-Carbon Nanostructure Hybrid Materials. Nanomaterials 2021, 11, 997. [Google Scholar] [CrossRef] [PubMed]
- Cruz-Navarro, J.A.; Hernández-García, F.; Mendoza-Huizar, L.H.; Salazar-Pereda, V.; Cobos-Murcia, J.Á.; Colorado-Peralta, R.; Álvarez-Romero, G.A. Recent Advances in the Use of Transition-Metal Porphyrin and Phthalocyanine Complexes as Electro-Catalyst Materials on Modified Electrodes for Electroanalytical Sensing Applications. Solids 2021, 2, 212–231. [Google Scholar] [CrossRef]
- Novakova, V.; Donzello, M.P.; Ercolani, C.; Zimcik, P.; Stuzhin, P.A. Tetrapyrazinoporphyrazines and Their Metal Derivatives. Part II: Electronic Structure, Electrochemical, Spectral, Photophysical and Other Application Related Properties. Coord. Chem. Rev. 2018, 361, 1–73. [Google Scholar] [CrossRef]
- Donzello, M.P.; Dini, D.; D’Arcangelo, G.; Ercolani, C.; Zhan, R.; Ou, Z.; Stuzhin, P.A.; Kadish, K.M. Porphyrazines with Annulated Diazepine Rings. 2. Alternative Synthetic Route to Tetrakis-2,3-(5,7-Diphenyl-1,4-Diazepino)Porphyrazines: New Metal Complexes, General Physicochemical Data, Ultraviolet−Visible Linear and Optical Limiting Behavior, and Electrochemical and Spectroelectrochemical Properties. J. Am. Chem. Soc. 2003, 125, 14190–14204. [Google Scholar] [CrossRef]
- Fitzgerald, J.P.; Haggerty, B.S.; Rheingold, A.L.; May, L.; Brewer, G.A. Iron Octaethyltetraazaporphyrins: Synthesis, Characterization, Coordination Chemistry, and Comparisons to Related Iron Porphyrins and Phthalocyanines. Inorg. Chem. 1992, 31, 2006–2013. [Google Scholar] [CrossRef]
- Rodríguez-Morgade, M.S.; Stuzhin, P.A. The Chemistry of Porphyrazines: An Overview. J. Porphyr. Phthalocyanines 2004, 8, 1129–1165. [Google Scholar] [CrossRef]
- Mlynarczyk, D.T.; Piskorz, J.; Popenda, L.; Stolarska, M.; Szczolko, W.; Konopka, K.; Jurga, S.; Sobotta, L.; Mielcarek, J.; Düzgüneş, N.; et al. S-Seco-Porphyrazine as a New Member of the Seco-Porphyrazine Family—Synthesis, Characterization and Photocytotoxicity against Cancer Cells. Bioorganic Chem. 2020, 96, 103634. [Google Scholar] [CrossRef] [PubMed]
- Koza, P.; Koczorowski, T.; Mlynarczyk, D.T.; Goslinski, T. Zinc(II) Sulfanyltribenzoporphyrazines with Bulky Peripheral Substituents—Synthesis, Photophysical Characterization, and Potential Photocytotoxicity. Appl. Sci. 2022, 12, 6825. [Google Scholar] [CrossRef]
- Mlynarczyk, D.T.; Dlugaszewska, J.; Falkowski, M.; Popenda, L.; Kryjewski, M.; Szczolko, W.; Jurga, S.; Mielcarek, J.; Goslinski, T. Tribenzoporphyrazines with Dendrimeric Peripheral Substituents and Their Promising Photocytotoxic Activity against Staphylococcus Aureus. J. Photochem. Photobiol. B Biol. 2020, 204, 111803. [Google Scholar] [CrossRef] [PubMed]
- Koczorowski, T.; Szczolko, W.; Teubert, A.; Goslinski, T. Sulfanyl Porphyrazines with Morpholinylethyl Periphery—Synthesis, Electrochemistry, and Photocatalytic Studies after Deposition on Titanium(IV) Oxide P25 Nanoparticles. Molecules 2021, 26, 2280. [Google Scholar] [CrossRef] [PubMed]
- Bonosi, F.; Ricciardi, G.; Lelj, F.; Martini, G. Monolayers and Langmuir-Blodgett Films of a Newly Synthesized Asymmetric Tetraazaporphyrin Derivative. J. Phys. Chem. 1994, 98, 10613–10620. [Google Scholar] [CrossRef]
- Falkowski, M.; Kucinska, M.; Piskorz, J.; Wieczorek-Szweda, E.; Popenda, L.; Jurga, S.; Sikora, A.; Mlynarczyk, D.T.; Murias, M.; Marszall, M.P.; et al. Synthesis of Sulfanyl Porphyrazines with Bulky Peripheral Substituents—Evaluation of Their Photochemical Properties and Biological Activity. J. Photochem. Photobiol. A Chem. 2021, 405, 112964. [Google Scholar] [CrossRef]
- Falkowski, M.; Leda, A.; Rebis, T.; Piskorz, J.; Popenda, L.; Hassani, M.; Mlynarczyk, D.T.; Marszall, M.P.; Milczarek, G. A Synergistic Effect of Phthalimide-Substituted Sulfanyl Porphyrazines and Carbon Nanotubes to Improve the Electrocatalytic Detection of Hydrogen Peroxide. Molecules 2022, 27, 4409. [Google Scholar] [CrossRef]
- Krasnov, P.; Ivanova, V.; Klyamer, D.; Fedorov, A.; Basova, T. Phthalocyanine-Carbon Nanotube Hybrid Materials: Mechanism of Sensor Response to Ammonia from Quantum-Chemical Point of View. Chemosensors 2022, 10, 479. [Google Scholar] [CrossRef]
- Wang, Y.; Hu, N.; Zhou, Z.; Xu, D.; Wang, Z.; Yang, Z.; Wei, H.; Kong, E.S.-W.; Zhang, Y. Single-Walled Carbon Nanotube/Cobalt Phthalocyanine Derivative Hybrid Material: Preparation, Characterization and Its Gas Sensing Properties. J. Mater. Chem. 2011, 21, 3779. [Google Scholar] [CrossRef]
- Zou, N.; Wei, X.; Zong, Z.; Li, X.; Wang, Z.; Wang, X. A Novel Enzymatic Biosensor for Detection of Intracellular Hydrogen Peroxide Based on 1-Aminopyrene and Reduced Graphene Oxides. J. Chem. Sci. 2019, 131, 28. [Google Scholar] [CrossRef]
- Gross, A.J.; Tanaka, S.; Colomies, C.; Giroud, F.; Nishina, Y.; Cosnier, S.; Tsujimura, S.; Holzinger, M. Diazonium Electrografting vs. Physical Adsorption of Azure A at Carbon Nanotubes for Mediated Glucose Oxidation with FAD-GDH. ChemElectroChem 2020, 7, 4543–4549. [Google Scholar] [CrossRef]
- Obirai, J.; Nyokong, T. Synthesis, Spectral and Electrochemical Characterization of Mercaptopyrimidine-Substituted Cobalt, Manganese and Zn (II) Phthalocyanine Complexes. Electrochim. Acta 2005, 50, 3296–3304. [Google Scholar] [CrossRef]
- Agboola, B.; Nyokong, T. Comparative Electrooxidation of Nitrite by Electrodeposited Co(II), Fe(II) and Mn(III) Tetrakis (Benzylmercapto) and Tetrakis (Dodecylmercapto) Phthalocyanines on Gold Electrodes. Anal. Chim. Acta 2007, 587, 116–123. [Google Scholar] [CrossRef]
- Leda, A.; Hassani, M.; Rebis, T.; Falkowski, M.; Piskorz, J.; Mlynarczyk, D.T.; McNeice, P.; Milczarek, G. Improved Electrochemical Hydrogen Peroxide Detection Using a Nickel(II) Phthalimide-Substituted Porphyrazine Combined with Various Carbon Nanomaterials. Nanomaterials 2023, 13, 862. [Google Scholar] [CrossRef]
- Wu, C.; Sun, H.; Li, Y.; Liu, X.; Du, X.; Wang, X.; Xu, P. Biosensor Based on Glucose Oxidase-Nanoporous Gold Co-Catalysis for Glucose Detection. Biosens. Bioelectron. 2015, 66, 350–355. [Google Scholar] [CrossRef]
- Bhagavathi Kandy, S.; Simon, G.P.; Cheng, W.; Zank, J.; Saito, K.; Bhattacharyya, A.R. Effect of Organic Modification on Multiwalled Carbon Nanotube Dispersions in Highly Concentrated Emulsions. ACS Omega 2019, 4, 6647–6659. [Google Scholar] [CrossRef] [PubMed]
- Płócienniczak, P.; Rębiś, T.; Leda, A.; Milczarek, G. Lignosulfonate-Assisted Synthesis of Platinum Nanoparticles Deposited on Multi-Walled Carbon Nanotubes for Biosensing of Glucose. Colloids Surf. B Biointerfaces 2022, 210, 112222. [Google Scholar] [CrossRef]
- Bard, A.J.; Faulkner, L.R.; White, H.S. Electrochemical Methods: Fundamentals and Applications; John Wiley & Sons: Hoboken, NJ, USA, 2022; ISBN 978-1-119-33406-4. [Google Scholar]
- Nandini, S.; Nalini, S.; Manjunatha, R.; Shanmugam, S.; Melo, J.S.; Suresh, G.S. Electrochemical Biosensor for the Selective Determination of Hydrogen Peroxide Based on the Co-Deposition of Palladium, Horseradish Peroxidase on Functionalized-Graphene Modified Graphite Electrode as Composite. J. Electroanal. Chem. 2013, 689, 233–242. [Google Scholar] [CrossRef]
- Bo, X.; Bai, J.; Ju, J.; Guo, L. A Sensitive Amperometric Sensor for Hydrazine and Hydrogen Peroxide Based on Palladium Nanoparticles/Onion-like Mesoporous Carbon Vesicle. Anal. Chim. Acta 2010, 675, 29–35. [Google Scholar] [CrossRef]
- Liu, M.; Zhao, G.; Zhao, K.; Tong, X.; Tang, Y. Direct Electrochemistry of Hemoglobin at Vertically-Aligned Self-Doping TiO2 Nanotubes: A Mediator-Free and Biomolecule-Substantive Electrochemical Interface. Electrochem. Commun. 2009, 11, 1397–1400. [Google Scholar] [CrossRef]
- Bian, X.; Lu, X.; Jin, E.; Kong, L.; Zhang, W.; Wang, C. Fabrication of Pt/Polypyrrole Hybrid Hollow Microspheres and Their Application in Electrochemical Biosensing towards Hydrogen Peroxide. Talanta 2010, 81, 813–818. [Google Scholar] [CrossRef] [PubMed]
- Płócienniczak, P.; Rębiś, T.; Nowicki, M.; Milczarek, G. A Green Approach for Hybrid Material Preparation Based on Carbon Nanotubes/Lignosulfonate Decorated with Silver Nanostructures for Electrocatalytic Sensing of H2O2. J. Electroanal. Chem. 2021, 880, 114896. [Google Scholar] [CrossRef]
- Zhu, L.; Zhai, J.; Guo, Y.; Tian, C.; Yang, R. Amperometric Glucose Biosensors Based on Integration of Glucose Oxidase onto Prussian Blue/Carbon Nanotubes Nanocomposite Electrodes. Electroanalysis 2006, 18, 1842–1846. [Google Scholar] [CrossRef]
- Lim, S.H.; Wei, J.; Lin, J.; Li, Q.; Kuayou, J. A Glucose Biosensor Based on Electrodeposition of Palladium Nanoparticles and Glucose Oxidase onto Nafion-Solubilized Carbon Nanotube Electrode. Biosens. Bioelectron. 2005, 20, 2341–2346. [Google Scholar] [CrossRef] [PubMed]
- Zang, J.; Li, C.; Cui, X.; Wang, J.; Sun, X.; Dong, H. Tailoring Zinc Oxide Nanowires for High Performance Amperometric Glucose Sensor. Electroanalysis 2007, 19, 1008–1014. [Google Scholar] [CrossRef]
- Lan, T.; Fallatah, A.; Suiter, E.; Padalkar, S. Size Controlled Copper (I) Oxide Nanoparticles Influence Sensitivity of Glucose Biosensor. Sensors 2017, 17, 1944. [Google Scholar] [CrossRef]
- Wang, L.; Lu, X.; Wen, C.; Xie, Y.; Miao, L.; Chen, S.; Li, H.; Li, P.; Song, Y. One-Step Synthesis of Pt–NiO Nanoplate Array/Reduced Graphene Oxide Nanocomposites for Nonenzymatic Glucose Sensing. J. Mater. Chem. A 2014, 3, 608–616. [Google Scholar] [CrossRef]
- Shrestha, B.K.; Ahmad, R.; Shrestha, S.; Park, C.H.; Kim, C.S. Globular Shaped Polypyrrole Doped Well-Dispersed Functionalized Multiwall Carbon Nanotubes/Nafion Composite for Enzymatic Glucose Biosensor Application. Sci. Rep. 2017, 7, 16191. [Google Scholar] [CrossRef]
- Mei, H.; Wu, W.; Yu, B.; Li, Y.; Wu, H.; Wang, S.; Xia, Q. Non-Enzymatic Sensing of Glucose at Neutral pH Values Using a Glassy Carbon Electrode Modified with Carbon Supported Co@Pt Core-Shell Nanoparticles. Microchim. Acta 2015, 182, 1869–1875. [Google Scholar] [CrossRef]
- Lović, J. Glucose Sensing Using Glucose Oxidase-Glutaraldehyde-Cysteine Modified Gold Electrode. Int. J. Electrochem. Sci. 2017, 12, 5806–5817. [Google Scholar] [CrossRef]
- Vukojević, V.; Djurdjić, S.; Ognjanović, M.; Fabián, M.; Samphao, A.; Kalcher, K.; Stanković, D.M. Enzymatic Glucose Biosensor Based on Manganese Dioxide Nanoparticles Decorated on Graphene Nanoribbons. J. Electroanal. Chem. 2018, 823, 610–616. [Google Scholar] [CrossRef]
- Wang, L.; Gao, X.; Jin, L.; Wu, Q.; Chen, Z.; Lin, X. Amperometric Glucose Biosensor Based on Silver Nanowires and Glucose Oxidase. Sens. Actuators B Chem. 2013, 176, 9–14. [Google Scholar] [CrossRef]
- Murugan, P.; Annamalai, J.; Atchudan, R.; Govindasamy, M.; Nallaswamy, D.; Ganapathy, D.; Resthetilov, A.; Sundramoorthy, A.K. Electrochemical sensing of glucose using glucose oxidase/PEDOT:4-sulfocalix [4]arene/MXene composite modified electrode. Micromachines 2022, 13, 304. [Google Scholar] [CrossRef] [PubMed]
- Tan, B.; Baycan, F. Fabricating a new immobilization matrix based on a conjugated polymer and application as a glucose biosensor. J. Appl. Polym. Sci. 2023, 140, 53268. [Google Scholar] [CrossRef]
- Wang, Y.; Guo, H.; Yuan, M.; Yu, J.; Wang, Z.; Chen, X. One-step laser synthesis platinum nanostructures 3D porous graphene: A flexible dual-functional electrochemical biosensor for glucose and pH detection in humanperspiration. Talanta 2023, 257, 124362. [Google Scholar] [CrossRef]
- Zhang, C.; Wei, C.; Chen, D.; Xu, Z.; Huang, X. Construction of inorganic-organic cascade enzymes biosensor based on gradient polysulfone hollow fiber membrane for glucose detection. Sens. Actuators B Chem. 2023, 385, 133630. [Google Scholar] [CrossRef]
- Kim, K.W.; Kim, D.; Kim, B.C.; Hwang, E.T. Development of cross-linked glucose oxidase integrated Cu-nanoflower electrode for reusable and stable glucose sensing. Int. J. Biol. Macromol. 2024, 275, 133605. [Google Scholar] [CrossRef]















| Pz3 | Solvent | |||
|---|---|---|---|---|
| λ4Abs (log ε) | λ3Abs (log ε) | λ2Abs (log ε) | λ1Abs (log ε) | |
| 717 (4.50) | 516 (4.39) | 335 (4.46) | 290 (4.62) | Dichloromethane |
| — | 592 (4.35) | 338 (4.43) | 293 (4.58) | N,N-Dimethylformamide |
| 712 (4.36) | 588 (4.40) | 383 (4.48) | 344 (4.47) | Dimethyl sulfoxide |
| Electrode | Peak Separation/mV | Electroactive Surface Area/cm2 |
|---|---|---|
| GC | 94 | 0.045 |
| GC/MWCNT | 67 | 0.187 |
| GC/MWCNT/Pz3 | 68 | 0.208 |
| Electrode | LOD/µM | LOQ/µM | Sensitivity/ µA mM−1 cm−2 | Linear Range/µM | Ref. |
|---|---|---|---|---|---|
| HRP-Pd/f-GE | 0.05 | – | 92.82 | 0.025–3.5 | [29] |
| Pd/MCV/Nafion/GC | 0.079 | – | 228.5 | 0.1–6100 | [30] |
| Ti(III)–TNTs/Hb | 1.5 | – | 31.8 | 4.9–1100 | [31] |
| Pt/PPY/GC | 1.2 | – | 84 | 1000–8000 | [32] |
| MWCNTs/LS/NAg | 1.17 | 3.54 | 252 | 6–486 | [33] |
| GC/MWCNTs/FePz | 0.20 | – | 636 | 1–90 | [17] |
| GC/MWCNTs/CoPz | 0.18 | – | 640 | 1–90 | [17] |
| GC/MWCNTs/NiPz | 18.57 | 56.27 | 14.18 | 20–1200 | [24] |
| GC/MWCNT/Pz3 1 | 10.4 | 31.6 | 14.96 | 38.5–6081 | This work |
| GC/MWCNT/Pz3 2 | 2.9 | 8.7 | 52.4 | 9.9–4930 |
| Electrode | LOD/mM | LOQ/mM | Sensitivity/ µA mM−1 cm−2 | Linear Range/mM | Ref. |
|---|---|---|---|---|---|
| GOx/Cu2O | 0.0002 | – | 55.32 | 0.2–3.5 | [37] |
| Ni-Co | 0.016 | – | 139.07 | 0.048–4 | [38] |
| Nf-GOx-fMWCNTs-PPy/Pt | 0.005 | – | 54.2 | 0.05–4.1 | [39] |
| Co@Pt NPs | 0.3 | – | 2.26 | 1–30 | [40] |
| Au-Cys-GA-GOx | 0.94 | – | 2.65 | 1.5–7.0 | [41] |
| GOx/Naf/MnO2-GNR/SPCE | 0.05 | – | 56.32 | 0.1–1.4 | [42] |
| GOD-CS/AgNWs/GCE | 0.0028 | – | – | 0.01–0.8 | [43] |
| MWCNT/LS/NPt/PEI/GOx | 0.016 | – | 4.77 | 0.05–1.4 | [27] |
| PEDOT:SCX/MXene/GOx | 0.0225 | – | – | 0.5–8 | [44] |
| GPE/PThBN/AuNPs/GOx | 0.034 | 0.1015 | 0.1326 | 0.00297–2.087 | [45] |
| GOx/Pt-HEC/LSG | 0.00023 | – | 69.64 | 0.005–3 | [46] |
| PB-GOm@HFM | 0.029 | – | – | 0.1–10 | [47] |
| GOx@Cu-NF | 0.1854 | – | 1.75 | 0.35–1.25 | [48] |
| GC/MWCNT/Pz3/GOx 1 | 0.05 | 0.15 | 2.73 | 0.2–3.7 | This work |
| GC/MWCNT/Pz3/GOx 2 | 0.14 | 0.41 | 1.29 | 0.47–3.24 |
Disclaimer/Publisher’s Note: The statements, opinions and data contained in all publications are solely those of the individual author(s) and contributor(s) and not of MDPI and/or the editor(s). MDPI and/or the editor(s) disclaim responsibility for any injury to people or property resulting from any ideas, methods, instructions or products referred to in the content. |
© 2024 by the authors. Licensee MDPI, Basel, Switzerland. This article is an open access article distributed under the terms and conditions of the Creative Commons Attribution (CC BY) license (https://creativecommons.org/licenses/by/4.0/).
Share and Cite
Falkowski, M.; Leda, A.; Hassani, M.; Wicinski, M.; Mlynarczyk, D.T.; Düzgüneş, N.; Marszall, M.P.; Milczarek, G.; Piskorz, J.; Rębiś, T. Manganese Sulfanyl Porphyrazine–MWCNT Nanohybrid Electrode Material as a Catalyst for H2O2 and Glucose Biosensors. Sensors 2024, 24, 6257. https://doi.org/10.3390/s24196257
Falkowski M, Leda A, Hassani M, Wicinski M, Mlynarczyk DT, Düzgüneş N, Marszall MP, Milczarek G, Piskorz J, Rębiś T. Manganese Sulfanyl Porphyrazine–MWCNT Nanohybrid Electrode Material as a Catalyst for H2O2 and Glucose Biosensors. Sensors. 2024; 24(19):6257. https://doi.org/10.3390/s24196257
Chicago/Turabian StyleFalkowski, Michal, Amanda Leda, Mina Hassani, Michal Wicinski, Dariusz T. Mlynarczyk, Nejat Düzgüneş, Michal P. Marszall, Grzegorz Milczarek, Jaroslaw Piskorz, and Tomasz Rębiś. 2024. "Manganese Sulfanyl Porphyrazine–MWCNT Nanohybrid Electrode Material as a Catalyst for H2O2 and Glucose Biosensors" Sensors 24, no. 19: 6257. https://doi.org/10.3390/s24196257
APA StyleFalkowski, M., Leda, A., Hassani, M., Wicinski, M., Mlynarczyk, D. T., Düzgüneş, N., Marszall, M. P., Milczarek, G., Piskorz, J., & Rębiś, T. (2024). Manganese Sulfanyl Porphyrazine–MWCNT Nanohybrid Electrode Material as a Catalyst for H2O2 and Glucose Biosensors. Sensors, 24(19), 6257. https://doi.org/10.3390/s24196257

