Longitudinal–Torsional Frequency Coupling Design of Novel Ultrasonic Horns for Giant Magnetostrictive Transducers
Abstract
1. Introduction
2. Materials and Methods
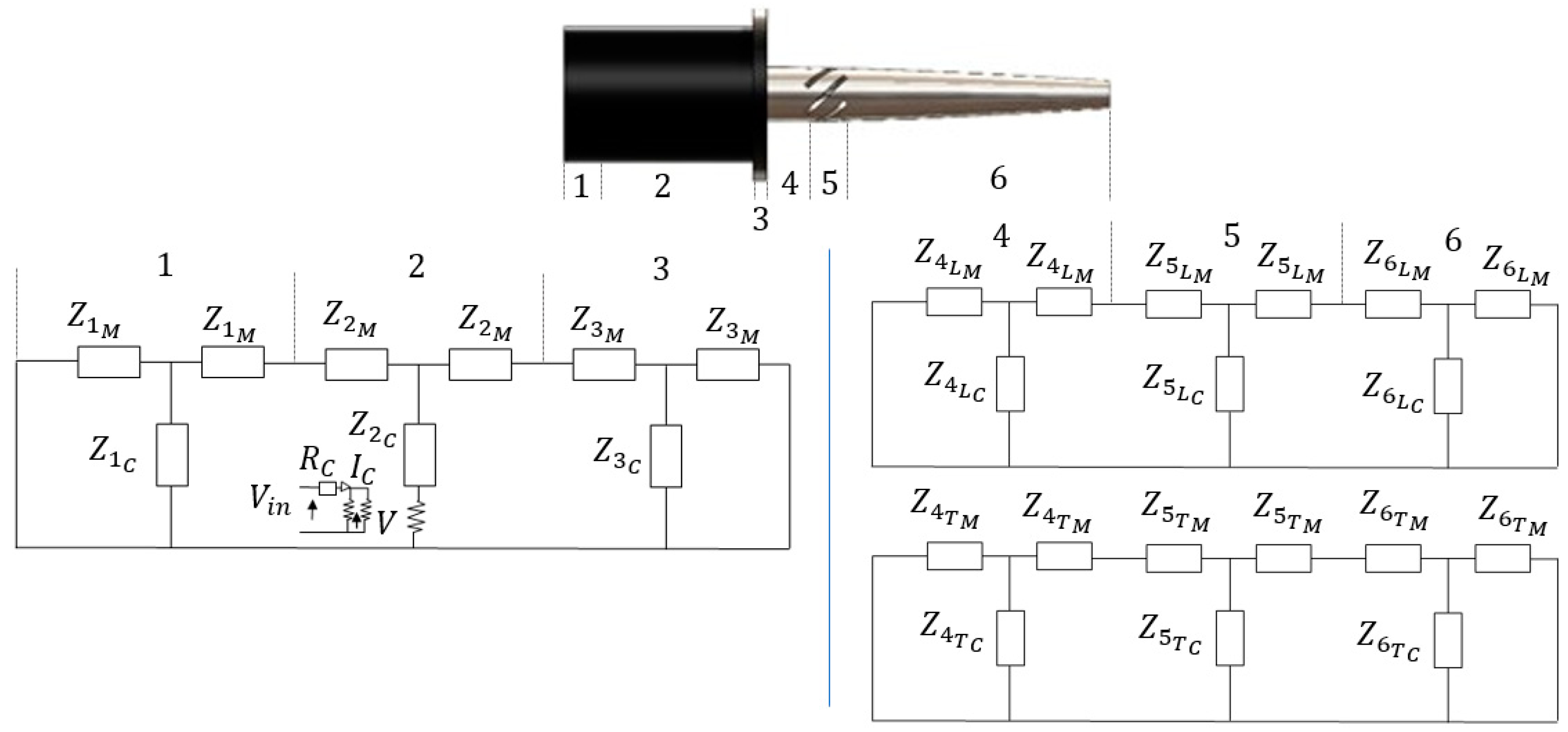
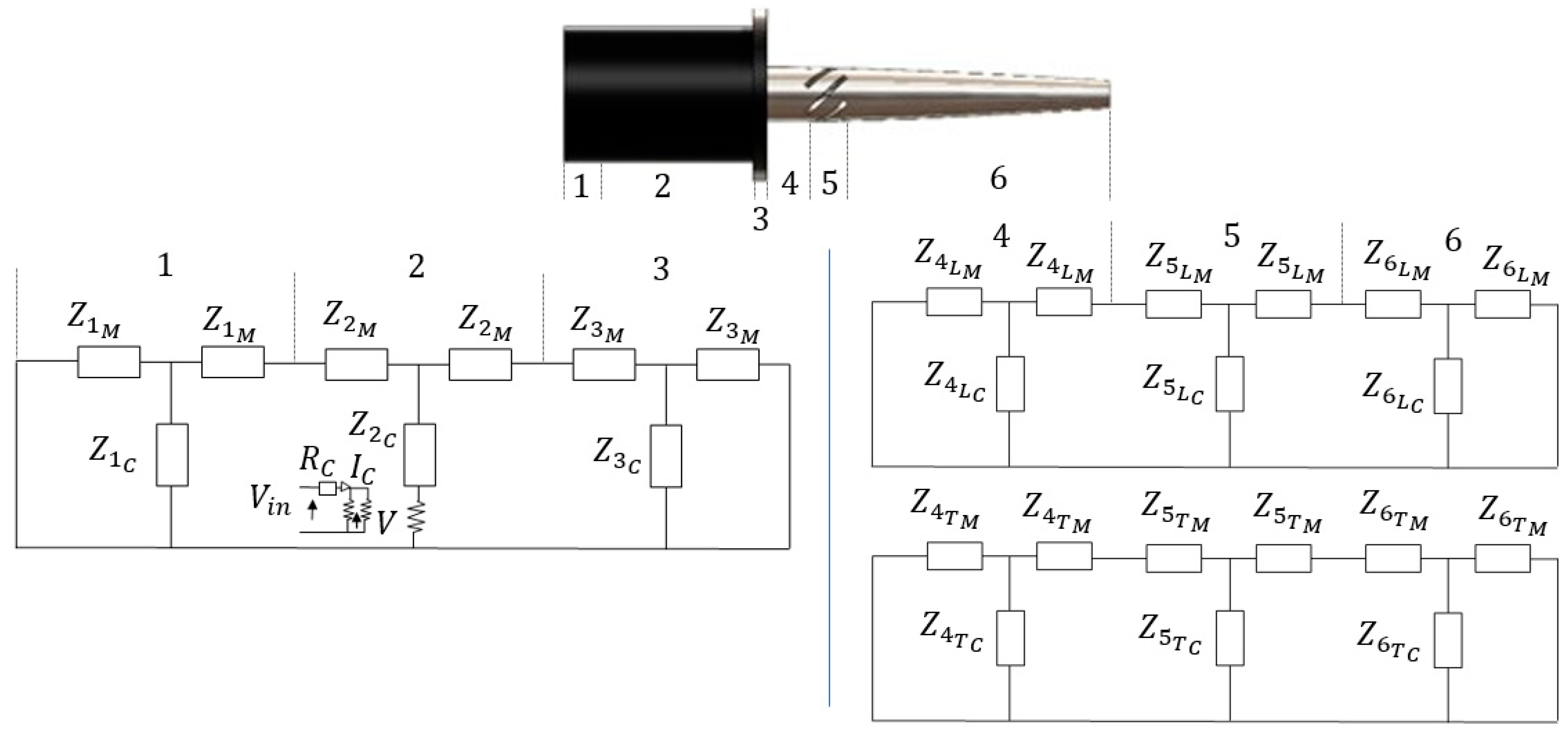
2.1. Analytical Model of LTC Ultrasonic Horn for Giant Magnetostrictive Transducer
2.2. Design of Experiments
2.3. LTC Ultrasonic Horn Designs for Giant Magnetostrictive Transducer
2.4. Finite Element Analysis
2.5. Boundary Conditions and Material Properties for Novel LTC Horns
2.6. Validation
3. Results and Discussion
3.1. Effect of Position of Helical Slots on Novel Ultrasonic LTC Horns
3.2. Effect of Position of Helical Slots on Amplitude Ratio and Stresses
3.3. Effect of Depth of Helical Slots on Novel LTC Ultrasonic Horns
3.4. Effect of Angle of Helical Slots on Novel Ultrasonic LTC Horns
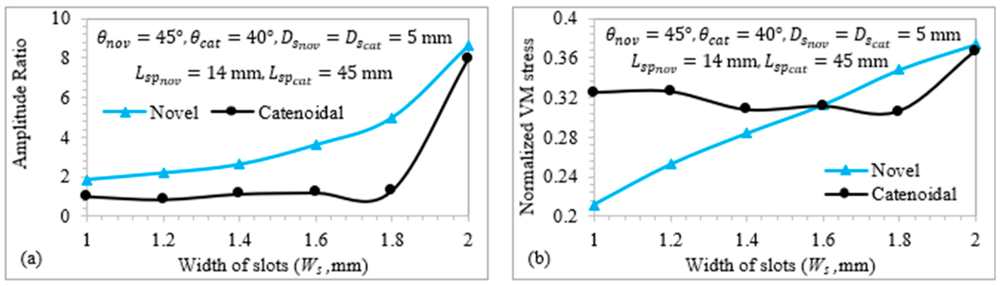
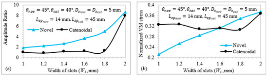
3.5. Effect of Width of Helical Slots on Novel LTC Ultrasonic Horns
3.6. Harmonic Excitation Response of Optimal LTC Ultrasonic Horns
3.7. Significance Analysis for Novel LTC Ultrasonic Horns
3.8. Performance Assessment of Optimal LTC Horn Designs
4. Conclusions and Future Aspects
Author Contributions
Funding
Institutional Review Board Statement
Informed Consent Statement
Data Availability Statement
Acknowledgments
Conflicts of Interest
References
- Zha, H.; Feng, P.; Zhang, J.; Yu, D.; Wu, Z. Material removal mechanism in rotary ultrasonic machining of high-volume fraction SiCp/Al composites. Int. J. Adv. Manuf. Technol. 2018, 97, 2099–2109. [Google Scholar] [CrossRef]
- Wan, Z.P.; Tang, Y. Brittle–ductile mode cutting of glass based on controlling cracks initiation and propagation. Int. J. Adv. Manuf. Technol. 2009, 43, 1051–1059. [Google Scholar] [CrossRef]
- Wang, J.; Zhang, C.; Feng, P.; Zhang, J. A model for prediction of subsurface damage in rotary ultrasonic face milling of optical K9 glass. Int. J. Adv. Manuf. Technol. 2016, 83, 347–355. [Google Scholar] [CrossRef]
- Pei, Z.J.; Ferreira, P.M. An experimental investigation of rotary ultrasonic face milling. Int. J. Mach. Tools Manuf. 1999, 39, 1327–1344. [Google Scholar] [CrossRef]
- Xu, S.; Shimada, K.; Mizutani, M.; Kuriyagawa, T. Fabrication of hybrid micro/nano-textured surfaces using rotary ultrasonic machining with one-point diamond tool. Int. J. Mach. Tools Manuf. 2014, 86, 12–17. [Google Scholar] [CrossRef]
- Thoe, T.B.; Aspinwall, D.K.; Wise, M.L.H. Review on ultrasonic machining. Int. J. Mach. Tools Manuf. 1998, 38, 239–255. [Google Scholar] [CrossRef]
- Liu, Y.; Chen, H.; Wang, S.; Wang, K.; Li, M.; Peng, T. Micro electrochemical milling of micro metal parts with rotating ultrasonic electrode. Sensors 2020, 20, 6617. [Google Scholar] [CrossRef]
- Mughal, K.H.; Jamil, M.F.; Qureshi, M.A.M.; Qaiser, A.A.; Khalid, F.A.; Maqbool, A.; Raza, S.F.; Ahmad, S.; Zhang, J.; Abbas, S.Z. Investigation of rotary ultrasonic vibration assisted machining of Nomex honeycomb composite structures. Int. J. Adv. Manuf. Technol. 2023, 129, 5541–5560. [Google Scholar] [CrossRef]
- Mughal, K.H.; Qureshi, M.A.M.; Jamil, M.F.; Ahmad, S.; Khalid, F.A.; Qaiser, A.A.; Maqbool, A.; Raza, S.F.; Zhang, J. Investigation of hybrid ultrasonic machining process of Nomex honeycomb composite using a toothed disc cutter. Ultrasonics 2024, 141, 107343. [Google Scholar] [CrossRef]
- Lu, K.; Tian, Y.; Liu, C.; Zhou, C.; Guo, Z.; Wang, F.; Shirinzadeh, B. Design of a novel 3D ultrasonic vibration platform with tunable characteristics. Int. J. Mech. Sci. 2020, 186, 105895. [Google Scholar] [CrossRef]
- Lu, K.; Tian, Y.; Liu, C.; Guo, Z.; Wang, F.; Zhang, D.; Shirinzadeh, B. Experimental investigation of the effects of vibration parameters on ultrasonic vibration-assisted tip-based nanofabrication. Int. J. Mech. Sci. 2021, 198, 106387. [Google Scholar] [CrossRef]
- Zhao, J.; Wang, L.; Jiang, B.; Pei, Y.; Lu, H. Surface Quality Improvement for Ultrasonic-Assisted Inner Diameter Sawing with Six-Axis Force Sensors. Sensors 2023, 23, 6444. [Google Scholar] [CrossRef] [PubMed]
- Baraya, M.; El-Asfoury, M.S.; Fadel, O.O.; Abass, A. Experimental Analyses and Predictive Modelling of Ultrasonic Welding Parameters for Enhancing Smart Textile Fabrication. Sensors 2024, 24, 1488. [Google Scholar] [CrossRef] [PubMed]
- Wang, D.A.; Chuang, W.Y.; Hsu, K.; Pham, H.T. Design of a Bézier-profile horn for high displacement amplification. Ultrasonics 2011, 51, 148–156. [Google Scholar] [CrossRef]
- Mughal, K.H.; Qureshi, M.A.M.; Raza, S.F. Novel ultrasonic horn design for machining advanced brittle composites: A step forward towards green and sustainable manufacturing. Environ. Technol. Innov. 2021, 23, 101652. [Google Scholar] [CrossRef]
- Li, P.; Liu, Q.; Li, S.; Wang, Q.; Zhang, D.; Li, Y. Design and numerical simulation of novel giant magnetostrictive ultrasonic transducer. Results Phys. 2017, 7, 3946–3954. [Google Scholar] [CrossRef]
- Zhou, H.; Zhang, J.; Feng, P.; Yu, D.; Wu, Z. An amplitude prediction model for a giant magnetostrictive ultrasonic transducer. Ultrasonics 2020, 108, 106017. [Google Scholar] [CrossRef]
- Wei, Y.; Yang, X.; Chen, Y.; Zhang, Z.; Zheng, H. Modeling of high-power Tonpilz Terfenol-D transducer using complex material parameters. Sensors 2022, 22, 3781. [Google Scholar] [CrossRef]
- Yang, L.; Wang, W.; Zhao, X.; Li, H.; Xiang, Y. Design and Optimization of High-Power and Low-Frequency Broadband Transducer with Giant Magnetostrictive Material. Sensors 2022, 23, 108. [Google Scholar] [CrossRef]
- Lin, S. Study on the longitudinal-torsional composite mode exponential ultrasonic horns. Ultrasonics 1996, 34, 757–762. [Google Scholar] [CrossRef]
- Wang, X.B.; Jiao, F.; Zhao, C.Y. Optimization of the longitudinal-torsional ultrasonic step-like horn design for milling tool applications via the tool load account. J. Vibroeng. 2019, 21, 2250–2259. [Google Scholar] [CrossRef]
- Chen, T.; Liu, S.; Liu, W.; Wu, C. Study on a longitudinal–torsional ultrasonic vibration system with diagonal slits. Adv. Mech. Eng. 2017, 9, 1687814017706341. [Google Scholar] [CrossRef]
- Al-Budairi, H.; Lucas, M.; Harkness, P. A design approach for longitudinal–torsional ultrasonic transducers. Sens. Actuators A Phys. 2013, 198, 99–106. [Google Scholar] [CrossRef]
- Shahid, M.B.; Jung, J.Y.; Park, D.S. Finite element analysis coupled artificial neural network approach to design the longitudinal-torsional mode ultrasonic welding horn. Int. J. Adv. Manuf. Technol. 2020, 107, 2731–2743. [Google Scholar] [CrossRef]
- Pang, Y.; Feng, P.; Zhang, J.; Ma, Y.; Zhang, Q. Frequency coupling design of ultrasonic horn with spiral slots and performance analysis of longitudinal-torsional machining characteristics. Int. J. Adv. Manuf. Technol. 2020, 106, 4093–4103. [Google Scholar] [CrossRef]
- Li, C.; Jiao, F.; Ma, X.; Tong, J.; Niu, Y. Modeling and optimization of longitudinal-torsional vibration horn with the large tool head. Appl. Acoust. 2022, 197, 108902. [Google Scholar] [CrossRef]
- Munir, M.M.; Mughal, K.H.; Qureshi, M.A.M.; Qaiser, A.A.; Khalid, F.A. Design of Novel Longitudinally–Torsionally Coupled Ultrasonic Bezier Horns for Machining Advanced Hard and Brittle Materials. J. Vib. Eng. Technol. 2024, 12, 4881–4898. [Google Scholar] [CrossRef]
- Mughal, K.H.; Ahmad, N.; Hayat, N.; Qureshi, M.A.M.; Bugvi, S.A.; Jamil, M.F.; Khan, M.A. Design and performance evaluation of a novel ultrasonic welding sonotrode for Langevin transducer using finite element approach. Int. J. Ind. Eng. Theory Appl. Pract. 2023, 30, 971–985. [Google Scholar]
- Ghafarian, M.; Shirinzadeh, B.; Wei, W. Vibration analysis of a rotating cantilever double-tapered AFGM nanobeam. Microsyst. Technol. 2020, 26, 3657–3676. [Google Scholar] [CrossRef]
- Teng, D.; Li, Y. Finite element solutions for magnetic field problems in Terfenol-D transducers. Sensors 2020, 20, 2808. [Google Scholar] [CrossRef]
- Ammar, M.M.; Shirinzadeh, B.; Elgamal, H.; Nasr, M.N. On the role of damage evolution in finite element modeling of the cutting process and sensing residual stresses. Sensors 2022, 22, 8547. [Google Scholar] [CrossRef] [PubMed]
- Wang, C.; Li, P.; Li, S.; Qiu, X.; Niu, Q.; Li, C.; Ko, T.J. Influence of longitudinal-torsional ultrasonic vibration on drilling carbon fiber-reinforced polymer composite. Int. J. Adv. Manuf. Technol. 2022, 119, 6849–6862. [Google Scholar] [CrossRef]
- Shirinzadeh, B.; Wei Foong, C.; Hui Tan, B. Robotic fibre placement process planning and control. Assem. Autom. 2000, 20, 313–320. [Google Scholar] [CrossRef]
- Ammar, M.M.; Shirinzadeh, B. Evaluation of robotic fiber placement effect on process-induced residual stresses using incremental hole-drilling method. Polym. Compos. 2022, 43, 4417–4436. [Google Scholar] [CrossRef]


















| Parameter Name | Values | Constant Parameters | |
|---|---|---|---|
| LTC Catenoidal Horn | Novel LTC Horn | ||
| Position of helical slots | , , | , , | |
| Depth of helical slots | , , | , , | |
| Angle of helical slots | , , | , , | |
| Width of helical slots | , , | , , | |
| Level | mm | mm/min | degree | mm |
|---|---|---|---|---|
| LTC Horn | Geometry | Mathematical Model |
|---|---|---|
Cubic polynomial [15,28]![]() | ![]() | |
Catenoidal [14,15]![]() | ![]() | |
Stepped [15,25]![]() | ![]() | |
| Material | Properties | Value | |
|---|---|---|---|
| Terfenol-D | Piezomagnetism | ||
| Magnetic permeability | |||
| Elastic compliance | |||
| Density | |||
| Elastic modulus | 55 | ||
| Compressive strength | 700 | ||
| Poisson’s ratio | |||
| Titanium | Elastic modulus | ||
| Poisson’s ratio | |||
| Density | |||
| Yield strength | () | ||
| Aluminum | Elastic modulus | ||
| Poisson’s ratio | |||
| Density | |||
| Yield strength | () | ||
| Steel | Elastic modulus | ||
| Poisson’s ratio | |||
| Density | |||
| Yield strength | () | 310 | |
| Ultrasonic Horn | (μm) | (μm) | ||||
|---|---|---|---|---|---|---|
| Ti | Al | St | Ti | Al | St | |
| Novel LTC | 74.46 | 27.78 | 23.32 | 08.66 | 37.01 | 35.95 |
| LTC catenoidal | 62.48 | 54.80 | 34.51 | 11.67 | 73.20 | 40.65 |
| LTC stepped [25] | 9.6817 | 198.34 | 38.60 | 25.12 | 19.81 | 19.30 |
| LTC cubic Bezier [27] | 63.460 | 28.49 | 25.92 | 32.58 | 32.58 | 32.36 |
| Horn Type | (mm) | (mm) | (degree) | (mm) | () | Normalized VM Stress |
|---|---|---|---|---|---|---|
| Novel LTC | 14 | 5.0 | 45 | 2.0 | 8.60 | 0.374 |
| LTC catenoidal | 45 | 5.0 | 40 | 2.0 | 7.93 | 0.367 |
| LTC stepped [25] | 20 | 6.0 | 52 | 2.0 | 2.00 | 1.076 |
| LTC cubic Bezier [27] | 44 | 5.5 | 40 | 2.0 | 5.18 | 0.335 |
| Experiment | Geometric Parameters of Helical Slots | Amplitude Ratio | Normalized VM Stress | |||||
|---|---|---|---|---|---|---|---|---|
| (mm) | (mm) | (mm) | Novel | Catenoidal | Novel | Catenoidal | ||
| 1 | 14 | 5 | 40 | 1.4 | 4.879 | 0.316 | 0.324 | 0.082 |
| 2 | 14 | 5.5 | 45 | 1.6 | 10.052 | 0.319 | 0.870 | 0.079 |
| 3 | 14 | 6 | 50 | 1.8 | 3.163 | 0.319 | 0.785 | 0.074 |
| 4 | 14 | 6.5 | 55 | 2 | 1.911 | 0.316 | 0.232 | 0.066 |
| 5 | 26 | 5 | 45 | 1.8 | 3.979 | 2.011 | 0.252 | 0.118 |
| 6 | 26 | 5.5 | 40 | 2 | 16.987 | 0.779 | 0.406 | 0.124 |
| 7 | 26 | 6 | 55 | 1.4 | 21.455 | 0.933 | 0.409 | 0.164 |
| 8 | 26 | 6.5 | 50 | 1.6 | 22.884 | 0.917 | 0.619 | 0.141 |
| 9 | 38 | 5 | 50 | 2 | 1.305 | 6.165 | 0.217 | 0.299 |
| 10 | 38 | 5.5 | 55 | 1.8 | 1.526 | 1.772 | 0.225 | 0.412 |
| 11 | 38 | 6 | 40 | 1.6 | 1.893 | 2.909 | 0.225 | 0.344 |
| 12 | 38 | 6.5 | 45 | 1.4 | 2.283 | 3.105 | 0.235 | 0.717 |
| 13 | 50 | 5 | 55 | 1.6 | 0.627 | 2.299 | 0.304 | 0.429 |
| 14 | 50 | 5.5 | 50 | 1.4 | 0.813 | 2.673 | 0.334 | 0.341 |
| 15 | 50 | 6 | 45 | 2 | 0.927 | 2.907 | 0.291 | 0.283 |
| 16 | 50 | 6.5 | 40 | 1.8 | 0.930 | 2.703 | 0.226 | 0.250 |
| Level | ||||||||
|---|---|---|---|---|---|---|---|---|
| Novel | Catenoidal | Novel | Catenoidal | Novel | Catenoidal | Novel | Catenoidal | |
| 1 | 5.00 | 0.32 | 2.70 | 2.70 | 6.17 | 1.68 | 7.36 | 1.76 |
| 2 | 16.33 | 1.16 | 7.34 | 1.39 | 4.31 | 2.09 | 8.86 | 1.61 |
| 3 | 1.75 | 3.49 | 6.86 | 1.77 | 7.04 | 2.52 | 2.40 | 1.70 |
| 4 | 0.82 | 2.65 | 7.00 | 1.76 | 6.38 | 1.33 | 5.28 | 2.54 |
| Range () | 15.50 | 3.17 | 4.65 | 1.31 | 2.73 | 1.19 | 6.46 | 0.93 |
| Level | ||||||||
|---|---|---|---|---|---|---|---|---|
| Novel | Catenoidal | Novel | Catenoidal | Novel | Catenoidal | Novel | Catenoidal | |
| 1 | 0.55 | 0.08 | 0.27 | 0.23 | 0.30 | 0.20 | 0.33 | 0.33 |
| 2 | 0.42 | 0.14 | 0.46 | 0.24 | 0.41 | 0.30 | 0.50 | 0.25 |
| 3 | 0.23 | 0.44 | 0.43 | 0.22 | 0.49 | 0.21 | 0.37 | 0.21 |
| 4 | 0.29 | 0.33 | 0.33 | 0.29 | 0.29 | 0.27 | 0.29 | 0.19 |
| Range () | 0.33 | 0.37 | 0.18 | 0.08 | 0.20 | 0.10 | 0.22 | 0.13 |
| LTC Horn Type | Diameter Ratio | Normalized VM Stress | Normalized Axial Stress | Normalized Shear Stress | Normalized Radial Stress | Normalized Tangential Stress | |
|---|---|---|---|---|---|---|---|
| Cubic polynomial | 2:1 | 8.60 | 0.374 | 0.245 | 0.167 | 0.134 | 0.127 |
| Catenoidal | 2:1 | 7.93 | 0.367 | 0.322 | 0.163 | 0.143 | 0.117 |
| Cubic Bezier [27] | 2:1 | 5.18 | 0.402 | 0.330 | 0.423 | 0.169 | 0.181 |
| Stepped [25] | 2:1 | 2.00 | 0.675 | 0.661 | 0.684 | 0.213 | 0.261 |
Disclaimer/Publisher’s Note: The statements, opinions and data contained in all publications are solely those of the individual author(s) and contributor(s) and not of MDPI and/or the editor(s). MDPI and/or the editor(s) disclaim responsibility for any injury to people or property resulting from any ideas, methods, instructions or products referred to in the content. |
© 2024 by the authors. Licensee MDPI, Basel, Switzerland. This article is an open access article distributed under the terms and conditions of the Creative Commons Attribution (CC BY) license (https://creativecommons.org/licenses/by/4.0/).
Share and Cite
Mughal, K.H.; Shirinzadeh, B.; Qureshi, M.A.M.; Munir, M.M.; Rehman, M.S.U. Longitudinal–Torsional Frequency Coupling Design of Novel Ultrasonic Horns for Giant Magnetostrictive Transducers. Sensors 2024, 24, 6027. https://doi.org/10.3390/s24186027
Mughal KH, Shirinzadeh B, Qureshi MAM, Munir MM, Rehman MSU. Longitudinal–Torsional Frequency Coupling Design of Novel Ultrasonic Horns for Giant Magnetostrictive Transducers. Sensors. 2024; 24(18):6027. https://doi.org/10.3390/s24186027
Chicago/Turabian StyleMughal, Khurram Hameed, Bijan Shirinzadeh, Muhammad Asif Mahmood Qureshi, Muhammad Mubashir Munir, and Muhammad Shoaib Ur Rehman. 2024. "Longitudinal–Torsional Frequency Coupling Design of Novel Ultrasonic Horns for Giant Magnetostrictive Transducers" Sensors 24, no. 18: 6027. https://doi.org/10.3390/s24186027
APA StyleMughal, K. H., Shirinzadeh, B., Qureshi, M. A. M., Munir, M. M., & Rehman, M. S. U. (2024). Longitudinal–Torsional Frequency Coupling Design of Novel Ultrasonic Horns for Giant Magnetostrictive Transducers. Sensors, 24(18), 6027. https://doi.org/10.3390/s24186027






