Designing of Airspeed Measurement Method for UAVs Based on MEMS Pressure Sensors
Abstract
1. Introduction
2. Mathematical Model of the Airspeed Measurement System
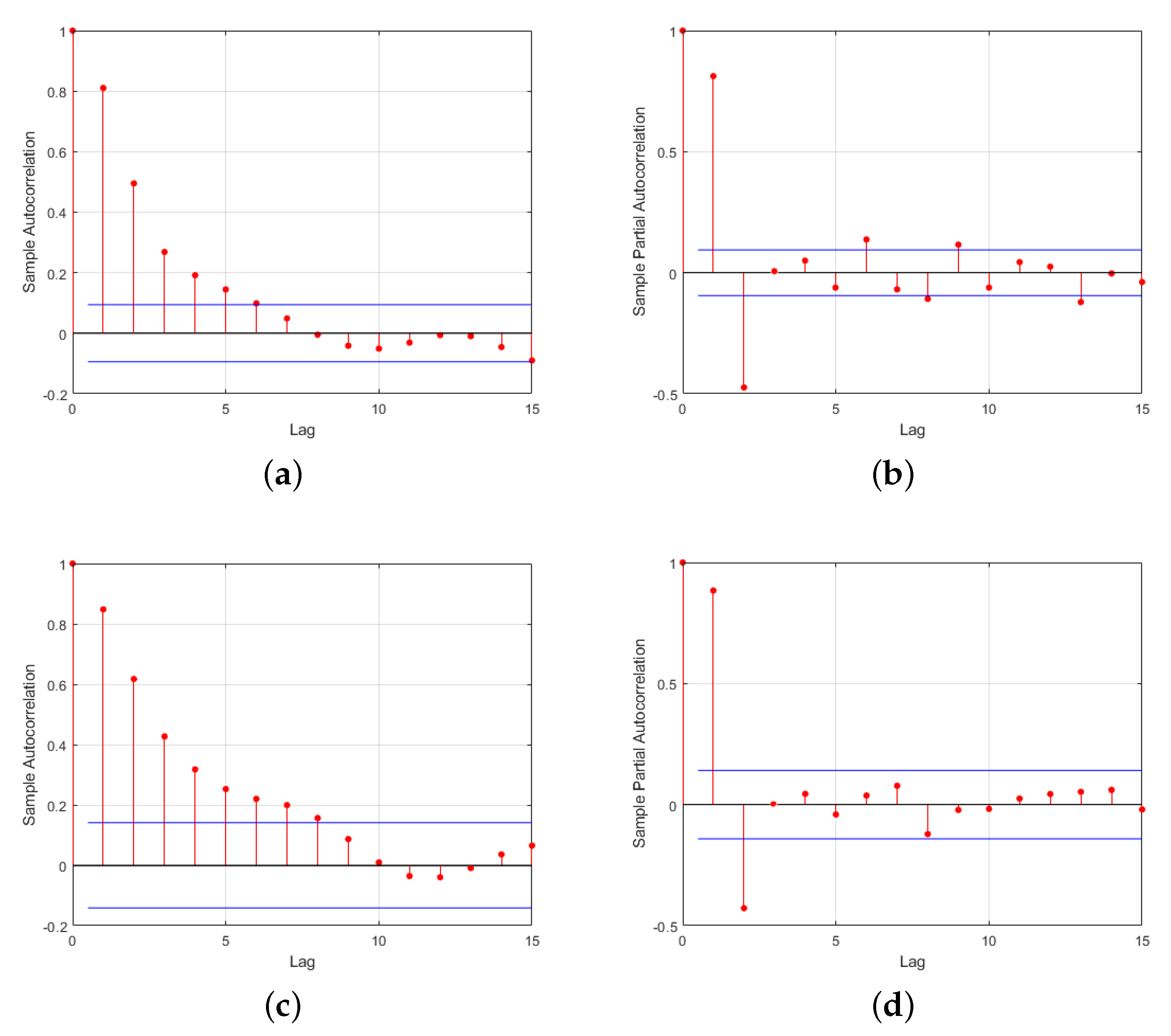
Modeling Sensor Noise Based on Time Series Models
3. Airspeed Measurement Device Structure
4. Adaptive Kalman Filter
4.1. Simplified SHKF
| Algorithm 1: Sage–Husa Kalman filter |
Parameter initialization: , , , , , , b, Main loop: 1. Calculate weighted coefficients: 2. Predictive error equation for the state: 3. Predictive mean square error equation: 4. New information sequence equation: 5. Measurement noise estimation: 6. Filter gain: 7. State estimation: 8. Estimation mean square error equation: 9. Model error: |
4.2. Improved Sage–Husa Adaptive Kalman Filter
4.2.1. Impact of Initial Noise Values
4.2.2. Impact of Data Outliers
| Algorithm 2: Improved AR-SHAKF filter |
Input: Sensor static data, sensor measurement data 1. Sensor static data stationary test 2. Data preprocessing 3. AR model order selection: examine ACF, PACF, and AIC 4. Parameter estimation: Yule–Walker approach 5. Determine and 6. Given initial value of , , , , and b 7. Calculated weighted coefficient: 8. Predicted state: , Predicted mean square error equation: 9. New information sequence equation: , 10. Measurement noise estimation: Measurement noise correction: 11. Filtering gain: State estimation algorithm: Mean square error of estimation: 12. Model error: , Output: filter output |
4.2.3. Algorithm Complexity Analysis
5. Experimental Analysis
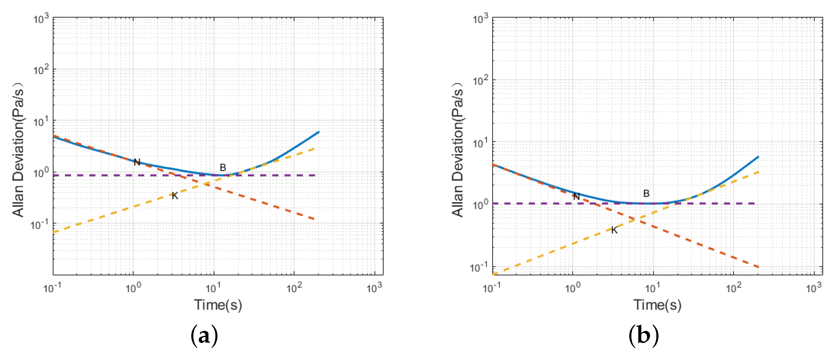
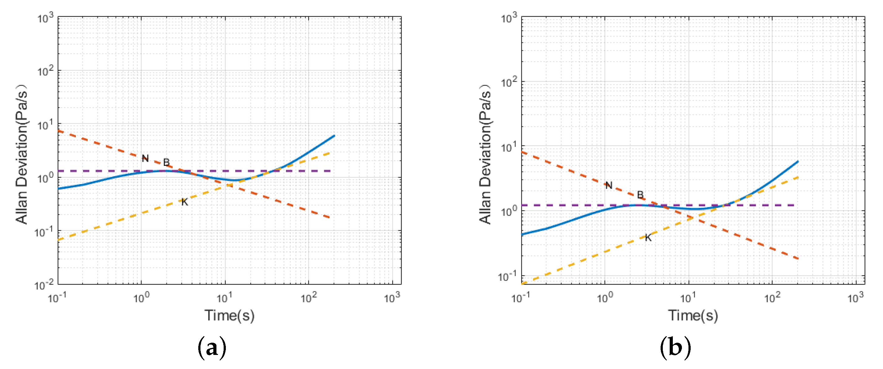
5.1. Allan Variance Analysis Method
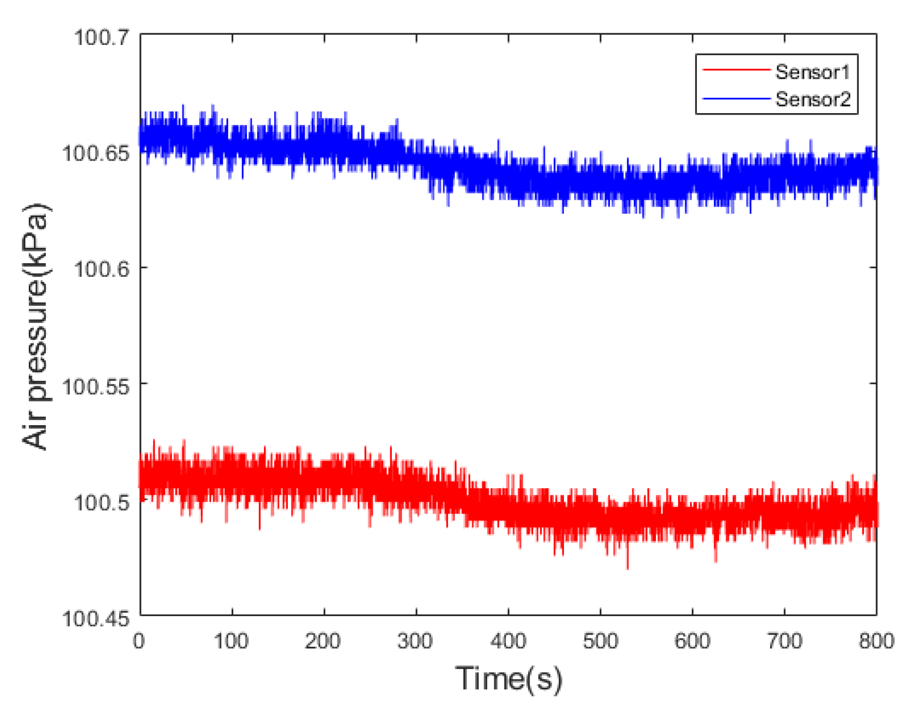
5.2. Static Experiments
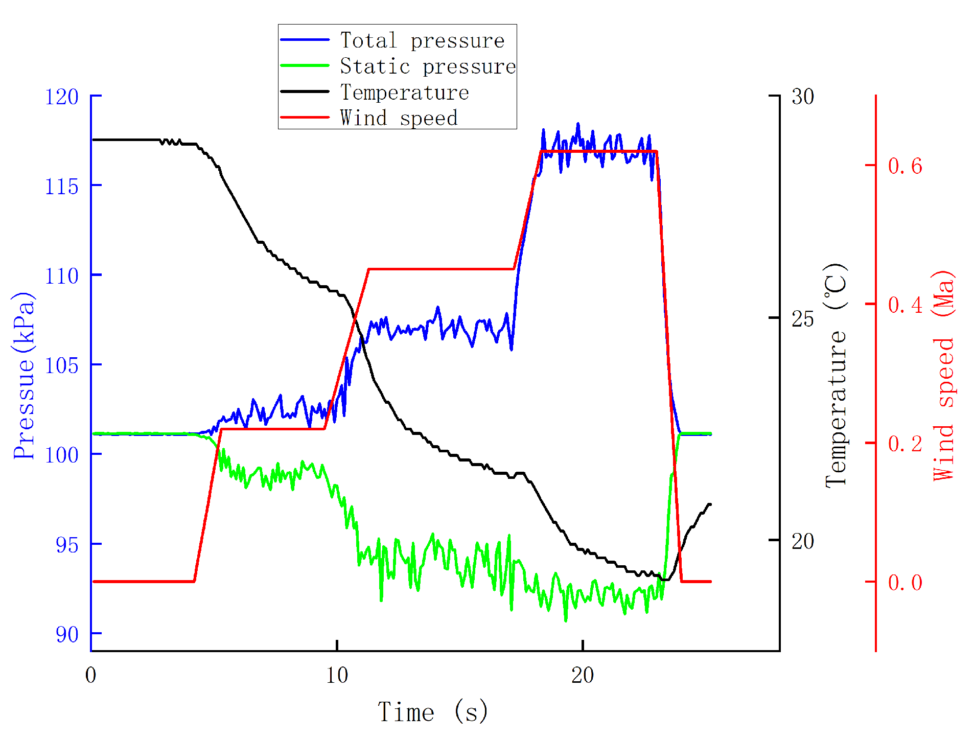
5.3. Dynamic Experiments
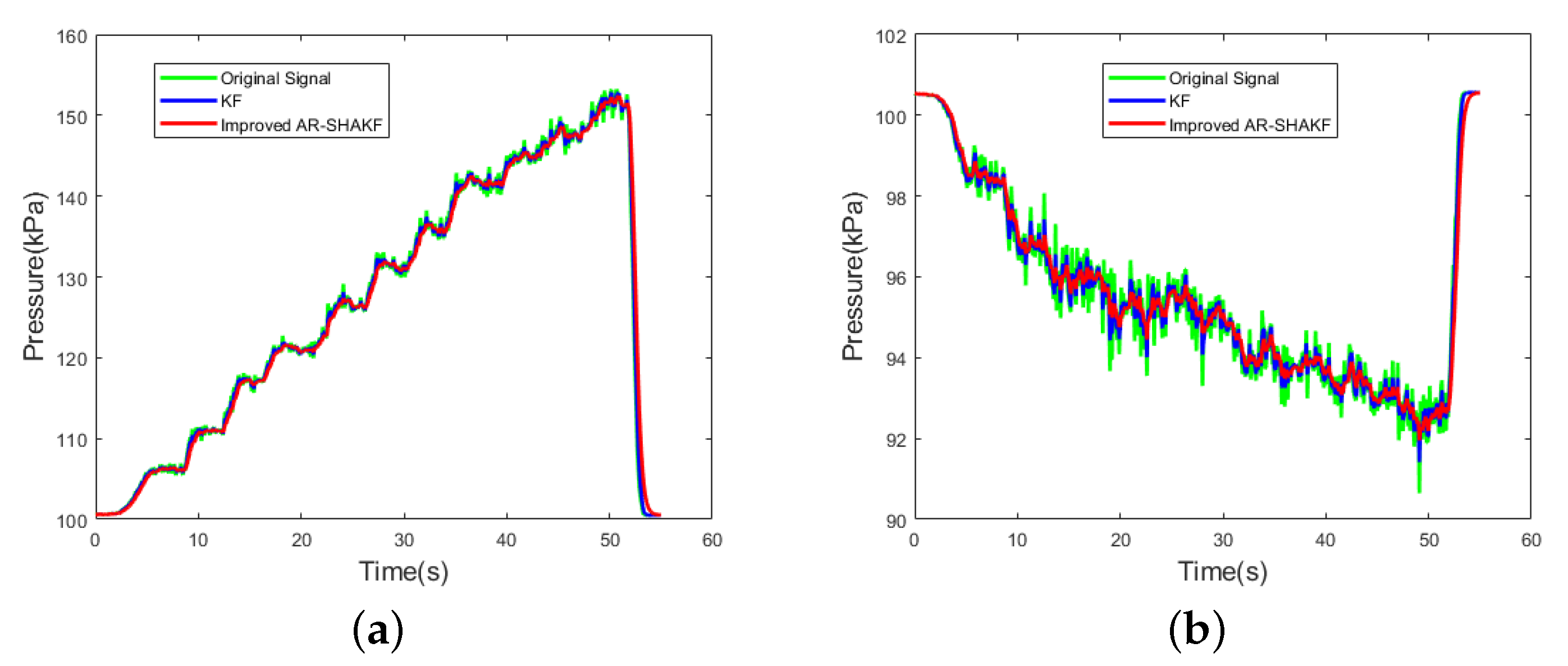
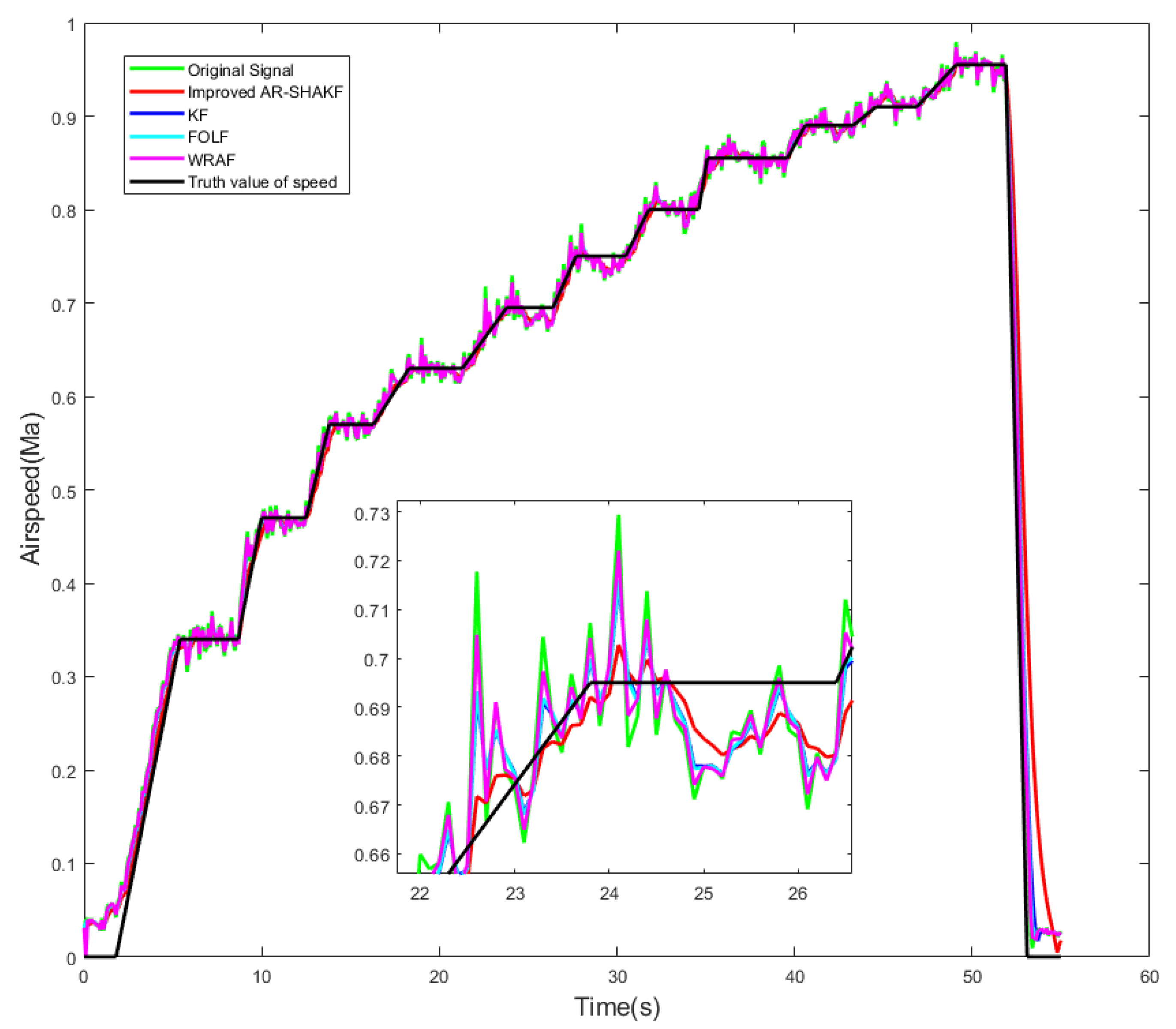
5.3.1. Experiment 1: Verification of the AR-SHAKF Algorithm Filtering Effect
5.3.2. Experiment 2: Mechanical Filtering Effect Validation
6. Summary
Author Contributions
Funding
Institutional Review Board Statement
Informed Consent Statement
Data Availability Statement
Conflicts of Interest
References
- Zhang, Q.; Xu, Y.; Wang, X.; Yu, Z.; Deng, T. Real-time wind field estimation and pitot tube calibration using an extended Kalman filter. Mathematics 2021, 9, 646. [Google Scholar] [CrossRef]
- Yang, Z.; Gu, Z.; Zhang, W. Pitot tube velocity measurement technology for the compressible airflow and its application in wind tunnel. In Proceedings of the 2021 3rd International Conference on Intelligent Control, Measurement and Signal Processing and Intelligent Oil Field (ICMSP), Xi’an, China, 23–25 July 2021; IEEE: Piscataway, NJ, USA, 2021; pp. 465–468. [Google Scholar]
- Pevec, S.; Donlagic, D. Miniature fiber-optic Pitot tube sensor. IEEE Sens. J. 2020, 20, 4732–4739. [Google Scholar] [CrossRef]
- Klopfenstein, R., Jr. Air velocity and flow measurement using a Pitot tube. ISA Trans. 1998, 37, 257–263. [Google Scholar] [CrossRef]
- Nemra, A.; Aouf, N. Robust INS/GPS sensor fusion for UAV localization using SDRE nonlinear filtering. IEEE Sens. J. 2010, 10, 789–798. [Google Scholar] [CrossRef]
- Gross, J.N.; Gu, Y.; Rhudy, M.B.; Gururajan, S.; Napolitano, M.R. Flight-test evaluation of sensor fusion algorithms for attitude estimation. IEEE Trans. Aerosp. Electron. Syst. 2012, 48, 2128–2139. [Google Scholar] [CrossRef]
- Borup, K.T.; Stovner, B.N.; Fossen, T.I.; Johansen, T.A. Kalman filters for air data system bias correction for a fixed-wing UAV. IEEE Trans. Control Syst. Technol. 2019, 28, 2164–2176. [Google Scholar] [CrossRef]
- Youn, W.; Choi, H.S.; Ryu, H.; Kim, S.; Rhudy, M.B. Model-aided state estimation of HALE UAV with synthetic AOA/SSA for analytical redundancy. IEEE Sens. J. 2020, 20, 7929–7940. [Google Scholar] [CrossRef]
- Rhudy, M.B.; Fravolini, M.L.; Gu, Y.; Napolitano, M.R.; Gururajan, S.; Chao, H. Aircraft model-independent airspeed estimation without pitot tube measurements. IEEE Trans. Aerosp. Electron. Syst. 2015, 51, 1980–1995. [Google Scholar] [CrossRef]
- Guo, D.; Zhong, M.; Zhou, D. Multisensor data-fusion-based approach to airspeed measurement fault detection for unmanned aerial vehicles. IEEE Trans. Instrum. Meas. 2017, 67, 317–327. [Google Scholar] [CrossRef]
- Singh, K.; Joyce, R.; Varghese, S.; Akhtar, J. Fabrication of electron beam physical vapor deposited polysilicon piezoresistive MEMS pressure sensor. Sens. Actuators Phys. 2015, 223, 151–158. [Google Scholar] [CrossRef]
- Ganev, B.; Nikolov, D.; Marinov, M.B. Performance evaluation of MEMS pressure sensors. In Proceedings of the 2020 XI National Conference with International Participation (ELECTRONICA), Sofia, Bulgaria, 23–24 July 2020; IEEE: Piscataway, NJ, USA, 2020; pp. 1–4. [Google Scholar]
- Marinov, M.B.; Ganev, B.; Djermanova, N.; Tashev, T.D. Analysis of sensors noise performance using Allan deviation. In Proceedings of the 2019 IEEE XXVIII International Scientific Conference Electronics (ET), Sozopol, Bulgaria, 12–14 September 2019; IEEE: Piscataway, NJ, USA, 2019; pp. 1–4. [Google Scholar]
- Sushchenko, O.; Golitsyn, V. Data processing system for altitude navigation sensor. In Proceedings of the 2016 4th International Conference on Methods and Systems of Navigation and Motion Control (MSNMC), Kiev, Ukraine, 18–20 October 2016; IEEE: Piscataway, NJ, USA, 2016; pp. 84–87. [Google Scholar]
- Wang, X.; Yan, S.; Ren, L.; Zhang, J.; Zheng, X.; Cao, L. Data Processing And Experiment Of Barometric Altimeter Based On Recursive Least Squares Filtering. In Proceedings of the 2017 2nd Joint International Information Technology, Mechanical and Electronic Engineering Conference (JIMEC 2017), Chongqing, China, 4–5 October 2017; Atlantis Press: Amsterdam, The Netherlands, 2017; pp. 299–302. [Google Scholar]
- Sabatini, A.M.; Genovese, V. A stochastic approach to noise modeling for barometric altimeters. Sensors 2013, 13, 15692–15707. [Google Scholar] [CrossRef]
- Liang, J.; Lu, Y.; Wang, F.; Yin, G.; Zhu, X.; Li, Y. A robust dynamic game-based control framework for integrated torque vectoring and active front-wheel steering system. IEEE Trans. Intell. Transp. Syst. 2023, 24, 7328–7341. [Google Scholar] [CrossRef]
- Liang, J.; Feng, J.; Fang, Z.; Lu, Y.; Yin, G.; Mao, X.; Wu, J.; Wang, F. An energy-oriented torque-vector control framework for distributed drive electric vehicles. IEEE Trans. Transp. Electrif. 2023, 9, 4014–4031. [Google Scholar] [CrossRef]
- Sun, J.; Xu, X.; Liu, Y.; Zhang, T.; Li, Y. FOG random drift signal denoising based on the improved AR model and modified Sage-Husa adaptive Kalman filter. Sensors 2016, 16, 1073. [Google Scholar] [CrossRef] [PubMed]
- Huang, L. Auto regressive moving average (ARMA) modeling method for Gyro random noise using a robust Kalman filter. Sensors 2015, 15, 25277–25286. [Google Scholar] [CrossRef]
- Narasimhappa, M.; Nayak, J.; Terra, M.H.; Sabat, S.L. ARMA model based adaptive unscented fading Kalman filter for reducing drift of fiber optic gyroscope. Sens. Actuators Phys. 2016, 251, 42–51. [Google Scholar] [CrossRef]
- Wang, S.; Yang, Y. Quadrotor aircraft attitude estimation and control based on kalman filter. In Proceedings of the 31st Chinese Control Conference, Hefei, China, 25–27 July 2012; IEEE: Piscataway, NJ, USA, 2012; pp. 5634–5639. [Google Scholar]
- Zhao, C.; He, J.; Zhao, L.; Huang, L. Denoising the signal of the quartz flexural gravitational sensor by adaptive Kalman filtering. In Proceedings of the 2011 International Conference on Electric Information and Control Engineering, Wuhan, China, 15–17 April 2011; IEEE: Piscataway, NJ, USA, 2011; pp. 3792–3795. [Google Scholar]
- Han, X.; Hu, Y.; Xie, A.; Yan, X.; Wang, X.; Pei, C.; Zhang, D. Quadratic-Kalman-filter-based sensor fault detection approach for unmanned aerial vehicles. IEEE Sens. J. 2022, 22, 18669–18683. [Google Scholar] [CrossRef]
- Zhao, L.; Wang, X.; Sun, M.; Ding, J.; Yan, C. Adaptive UKF filtering algorithm based on maximum a posterior estimation and exponential weighting. Acta Autom. Sin. 2010, 36, 1007–1019. [Google Scholar] [CrossRef]
- Liang, H.; Chen, H.; Guo, J.; Zuo, X. Error correction method of sensor based on fuzzy-kf for measurement of drilling cuttings. IEEE Sens. J. 2022, 22, 8001–8010. [Google Scholar] [CrossRef]
- Wang, X.; Wang, A.; Wang, D.; Xiong, Y.; Liang, B.; Qi, Y. A modified Sage-Husa adaptive Kalman filter for state estimation of electric vehicle servo control system. Energy Rep. 2022, 8, 20–27. [Google Scholar] [CrossRef]
- Wang, T.; Huang, S.; Gao, M.; Wang, Z. Adaptive extended Kalman filter based dynamic equivalent method of PMSG wind farm cluster. IEEE Trans. Ind. Appl. 2021, 57, 2908–2917. [Google Scholar] [CrossRef]
- Yan, W.; Ding, Q.; Chen, J.; Liu, Y.; Cheng, S.S. Needle tip tracking in 2D ultrasound based on improved compressive tracking and adaptive Kalman filter. IEEE Robot. Autom. Lett. 2021, 6, 3224–3231. [Google Scholar] [CrossRef]
- Xu, B.; Hu, J.; Guo, Y. An acoustic ranging measurement aided SINS/DVL integrated navigation algorithm based on multivehicle cooperative correction. IEEE Trans. Instrum. Meas. 2022, 71, 8504615. [Google Scholar] [CrossRef]
- Tseng, C.H.; Wu, J.Y. SHAKF-PU: Sage–Husa Adaptive Kalman Filtering-Based Pedestrian Characteristic Parameter Update Mechanism for Enhancing Step Length Estimation in Pedestrian Dead Reckoning. Appl. Bionics Biomech. 2024, 2024, 1150076. [Google Scholar] [CrossRef]
- Ma, X.; Bi, W.; Zhu, X.; Yu, Z. Research on improving SHAKF algorithm to eliminate random error of IMU. J. Electron. Meas. Instrum. 2023, 35, 59–67. [Google Scholar]
- Picard, A.; Davis, R.; Gläser, M.; Fujii, K. Revised formula for the density of moist air (CIPM-2007). Metrologia 2008, 45, 149. [Google Scholar] [CrossRef]
- Cao, H.; Lv, H.; Sun, Q. Model design based on MEMS gyroscope random error. In Proceedings of the 2015 IEEE International Conference on Information and Automation, Lijiang, China, 8–10 August 2015; IEEE: Piscataway, NJ, USA, 2015; pp. 2176–2181. [Google Scholar]
- Yanning, G.; Fei, H.; Shaohe, D.; Guangfu, M.; Liangkuan, Z. Performance analysis of MEMS gyro and improvement using Kalman filter. In Proceedings of the 2015 34th Chinese Control Conference (CCC), Hangzhou, China, 28–30 July 2015; IEEE: Piscataway, NJ, USA, 2015; pp. 4789–4794. [Google Scholar]
- Liu, Y.; Guo, Z.; Zhang, Q. Modeling of mems gyroscope random error based on Kalman filter. In Proceedings of the 2019 IEEE Symposium Series on Computational Intelligence (SSCI), Xiamen, China, 6–9 December 2019; IEEE: Piscataway, NJ, USA, 2019; pp. 2999–3003. [Google Scholar]
- Narasimhappa, M.; Rangababu, P.; Sabat, S.L.; Nayak, J. A modified Sage-Husa adaptive Kalman filter for denoising Fiber Optic Gyroscope signal. In Proceedings of the 2012 Annual IEEE India Conference (INDICON), Kochi, India, 7–9 December 2012; IEEE: Piscataway, NJ, USA, 2012; pp. 1266–1271. [Google Scholar]
- Aniskin, V.; Timofeev, I.; Maslov, N.; Tsibulskaya, E. Effect of the Pitot microtube diameter on pressure measurement in plane supersonic microjets. Flow Meas. Instrum. 2019, 70, 101655. [Google Scholar] [CrossRef]
- Ellingson, J.; Shepard, T.; Li, Y.C. A combined experimental and numerical analysis of UAV Pitot-static system error at low Reynolds number. In Proceedings of the 2014 IEEE Metrology for Aerospace (MetroAeroSpace), Benevento, Italy, 29–30 May 2014; IEEE: Piscataway, NJ, USA, 2014; pp. 122–126. [Google Scholar]
- Fries, F.; Win, S.K.H.; Tang, E.; Low, J.E.; Win, L.S.T.; y Alvarado, P.V.; Foong, S. Design and implementation of a compact rotational speed and air flow sensor for unmanned aerial vehicles. IEEE Sens. J. 2019, 19, 10298–10307. [Google Scholar] [CrossRef]
- Sage, A.P.; Husa, G.W. Adaptive filtering with unknown prior statistics. In Proceedings of the Joint Automatic Control Conference, Boulder, CO, USA, 5–7 August 1969; Number 7. pp. 760–769. [Google Scholar]
- Narasimhappa, M.; Mahindrakar, A.D.; Guizilini, V.C.; Terra, M.H.; Sabat, S.L. MEMS-based IMU drift minimization: Sage Husa adaptive robust Kalman filtering. IEEE Sens. J. 2019, 20, 250–260. [Google Scholar] [CrossRef]
- Zhang, X.; Li, Y.; Mumford, P.; Rizos, C. Allan variance analysis on error characters of MEMS inertial sensors for an FPGA-based GPS/INS system. In Proceedings of the International Symposium on GPS/GNNS, Tokyo, Japan, 11–14 November 2008; University of New South Wales Sydney: Sydney, NSW, Australia, 2008; pp. 127–133. [Google Scholar]
- Huang, B.; Feng, P.; Zhang, J.; Yu, D.; Wu, Z. A novel positioning module and fusion algorithm for unmanned aerial vehicle monitoring. IEEE Sens. J. 2021, 21, 23006–23023. [Google Scholar] [CrossRef]
- Ariante, G.; Papa, U.; Ponte, S.; Del Core, G. Velocity and attitude estimation of a small unmanned aircraft with micro Pitot tube and Inertial Measurement Unit (IMU). In Proceedings of the 2020 IEEE 7th International Workshop on Metrology for AeroSpace (MetroAeroSpace), Pisa, Italy, 22–24 June 2020; IEEE: Piscataway, NJ, USA, 2020; pp. 314–318. [Google Scholar]
- Wang, J.-C.; Wang, F.-P.; Hou, R.F.; Wang, C. Design of a portable altitude measurement system based on BMP085. Transducer Microsyst. Technol. 2011, 30, 123–125. [Google Scholar]
- Wang, X.-L.; Yan, S.-J.; Zhang, J.-T. Design and Realization of the Barometric Altitude Measurement System. Process Autom. Instrum. 2017, 38, 59–63. [Google Scholar]

















| Bmp180 | Circuit Board | Metallic Conduit | |
|---|---|---|---|
| Size (mm) | 3.6 × 3.6 × 0.93 | 30 × 25 × 1 | 4 × 4 × 30 |
| Weight (g) | 1 | 3 | 15 |
| AR(1) | AR(2) | AR(3) | AR(4) | AR(5) | |
|---|---|---|---|---|---|
| 0.8286 | 1.2538 | 1.4045 | 1.3892 | 1.3971 | |
| −0.5131 | −0.8815 | −0.8353 | −0.8020 | ||
| 0.2938 | 0.2203 | 0.0940 | |||
| 0.0523 | 0.2623 | ||||
| −0.1512 | |||||
| AIC Values | 1.0813 | 0.7719 | 0.6770 | 0.6756 | 0.6527 |
| AR(1) | AR(2) | AR(3) | AR(4) | AR(5) | |
|---|---|---|---|---|---|
| 0.8395 | 1.2690 | 1.3997 | 1.3712 | 1.3843 | |
| −0.5116 | −0.8359 | −0.7426 | −0.7309 | ||
| 0.2556 | 0.0992 | 0.0119 | |||
| 0.1117 | 0.2731 | ||||
| −0.1177 | |||||
| AIC Values | 1.1919 | 0.8892 | 0.8223 | 0.8105 | 0.7975 |
| Criterion for Judgment | Original Signal | KF | Improved AR-SHAKF | |
|---|---|---|---|---|
| Sensor1 | ME | 29.93 | 15.76 | 15.6 |
| MAE | 7.40 | 6.88 | 6.86 | |
| RMSE | 8.75 | 7.52 | 7.46 | |
| Sensor2 | ME | 26.32 | 19.42 | 18.82 |
| MAE | 7.09 | 6.61 | 6.57 | |
| RMSE | 8.53 | 7.51 | 7.43 |
| Before Filtering | After Filtering | |||
|---|---|---|---|---|
| Sensor 1 | Sensor 2 | Sensor 1 | Sensor 2 | |
| N | 2.35 | 2.57 | 1.62 | 1.38 |
| K | 0.37 | 0.40 | 0.36 | 0.40 |
| B | 1.96 | 1.83 | 1.29 | 1.53 |
| Criterion for Judgment | Original Signal | KF | Improved AR-SHAKF | |
|---|---|---|---|---|
| Sensor1 | ME | 26.71 | 26.33 | 25.98 |
| MAE | 14.46 | 14.43 | 14.36 | |
| RMSE | 16.54 | 16.52 | 16.43 | |
| Sensor2 | ME | 4.97 | 4.96 | 4.95 |
| MAE | 1.94 | 1.90 | 1.88 | |
| RMSE | 2.40 | 2.37 | 2.34 |
| Original Signal | Improved AR-SHAKF | KF | FOLF | WRAF | |||||
|---|---|---|---|---|---|---|---|---|---|
| 0.0623 | 0.0461 | 0.0477 | 0.0491 | 0.0562 | 26.00% | 23.43% | 21.19% | 9.79% | |
| 0.0118 | 0.0060 | 0.0082 | 0.0084 | 0.0099 | 49.15% | 30.51% | 28.81% | 16.1% | |
| 0.0159 | 0.0081 | 0.0117 | 0.0119 | 0.0136 | 49.06% | 26.42% | 25.16% | 14.47% |
| Experiment 2 Signal | Error Rate (%) | |
|---|---|---|
| 0.0729 | 14.5 | |
| 0.0181 | 34.8 | |
| 0.0237 | 32.9 |
Disclaimer/Publisher’s Note: The statements, opinions and data contained in all publications are solely those of the individual author(s) and contributor(s) and not of MDPI and/or the editor(s). MDPI and/or the editor(s) disclaim responsibility for any injury to people or property resulting from any ideas, methods, instructions or products referred to in the content. |
© 2024 by the authors. Licensee MDPI, Basel, Switzerland. This article is an open access article distributed under the terms and conditions of the Creative Commons Attribution (CC BY) license (https://creativecommons.org/licenses/by/4.0/).
Share and Cite
Chen, Z.; Li, H.; Yu, H.; Zhao, Y.; Ma, J.; Zhang, C.; Zhang, H. Designing of Airspeed Measurement Method for UAVs Based on MEMS Pressure Sensors. Sensors 2024, 24, 5853. https://doi.org/10.3390/s24175853
Chen Z, Li H, Yu H, Zhao Y, Ma J, Zhang C, Zhang H. Designing of Airspeed Measurement Method for UAVs Based on MEMS Pressure Sensors. Sensors. 2024; 24(17):5853. https://doi.org/10.3390/s24175853
Chicago/Turabian StyleChen, Zhipeng, Haojie Li, Hang Yu, Yuan Zhao, Jing Ma, Chuanhao Zhang, and He Zhang. 2024. "Designing of Airspeed Measurement Method for UAVs Based on MEMS Pressure Sensors" Sensors 24, no. 17: 5853. https://doi.org/10.3390/s24175853
APA StyleChen, Z., Li, H., Yu, H., Zhao, Y., Ma, J., Zhang, C., & Zhang, H. (2024). Designing of Airspeed Measurement Method for UAVs Based on MEMS Pressure Sensors. Sensors, 24(17), 5853. https://doi.org/10.3390/s24175853

