Cervical Sensorimotor Function Tests Using a VR Headset—An Evaluation of Concurrent Validity
Abstract
1. Introduction
2. Materials and Methods
2.1. Participants
2.2. Measurement Devices
2.3. Procedure
2.4. Outcome Measures
2.4.1. Joint Position Sense (JPS) Test
2.4.2. Cervical Reaction Acuity (CRA) Test
2.5. Calculation of Outcome Variables
2.5.1. JPS Test
2.5.2. CRA Test
2.6. Statistics
3. Results
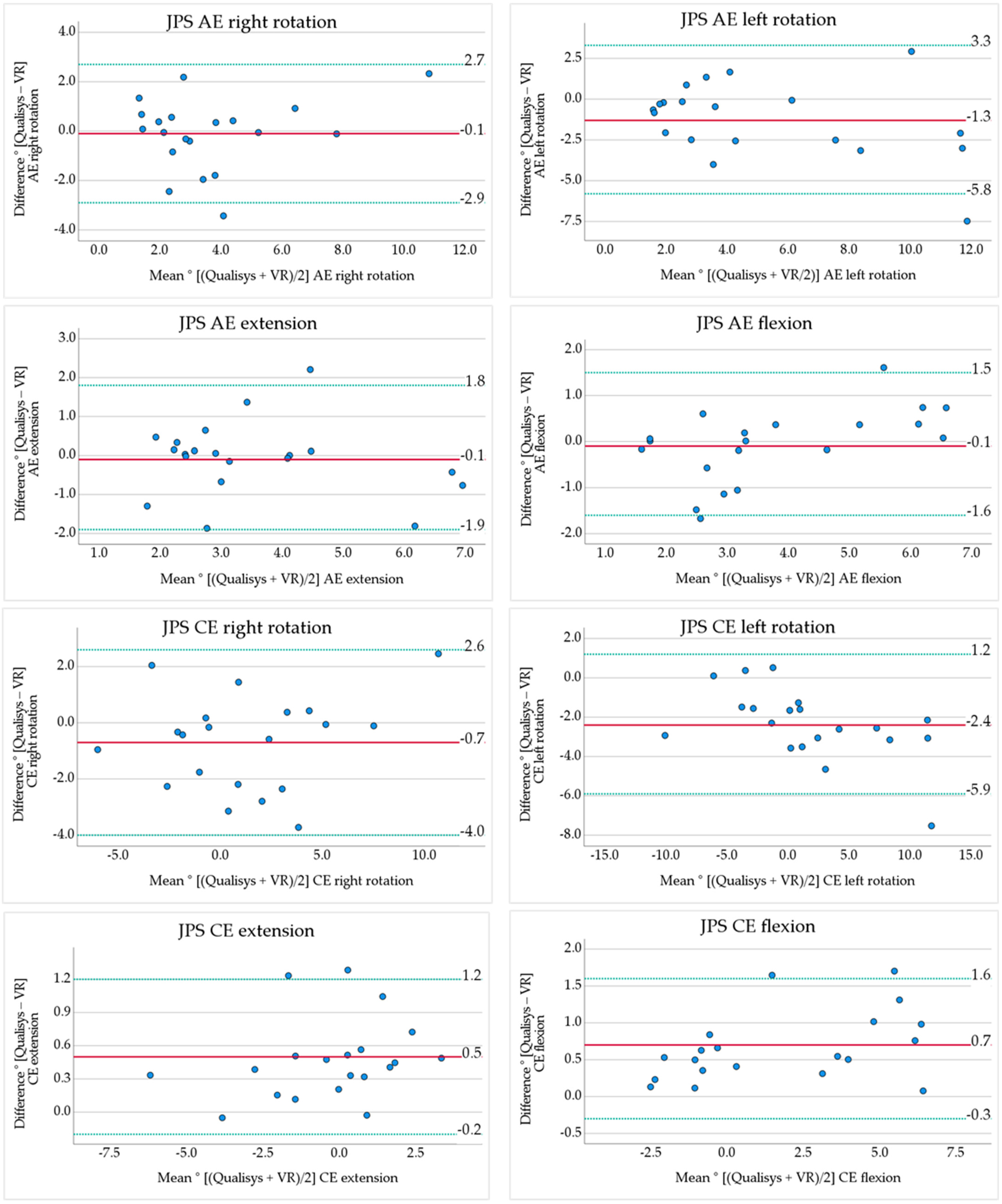
3.1. Joint Position Sense Test
3.2. Cervical Reaction Acuity Test
4. Discussion
Clinical Implications
5. Conclusions
Author Contributions
Funding
Institutional Review Board Statement
Informed Consent Statement
Data Availability Statement
Conflicts of Interest
References
- Hogg-Johnson, S.; van der Velde, G.; Carroll, L.J.; Holm, L.W.; Cassidy, J.D.; Guzman, J.; Côté, P.; Haldeman, S.; Ammendolia, C.; Carragee, E.; et al. The burden and determinants of neck pain in the general population: Results of the Bone and Joint Decade 2000–2010 Task Force on Neck Pain and Its Associated Disorders. Spine 2008, 33, S39–S51. [Google Scholar] [CrossRef]
- Vos, T.; Abajobir, A.A.; Abbafati, C.; Abbas, K.M.; Abate, K.H.; Abd-Allah, F.; Abdulle, A.M.; Abebo, T.A.; Abera, S.F.; Aboyans, V.; et al. Global, regional, and national incidence, prevalence, and years lived with disability for 328 diseases and injuries for 195 countries, 1990–2016: A systematic analysis for the Global Burden of Disease Study 2016. Lancet 2017, 390, 1211–1259. [Google Scholar] [CrossRef] [PubMed]
- Safiri, S.; Kolahi, A.A.; Hoy, D.; Buchbinder, R.; Mansournia, M.A.; Bettampadi, D.; Ashrafi-Asgarabad, A.; Almasi-Hashiani, A.; Smith, E.; Sepidarkish, M.; et al. Global, regional, and national burden of neck pain in the general population, 1990–2017: Systematic analysis of the Global Burden of Disease Study 2017. Br. Med. J. 2020, 368, m791. [Google Scholar] [CrossRef] [PubMed]
- Artner, J.; Cakir, B.; Spiekermann, J.A.; Kurz, S.; Leucht, F.; Reichel, H.; Lattig, F. Prevalence of sleep deprivation in patients with chronic neck and back pain: A retrospective evaluation of 1016 patients. J. Pain Res. 2013, 6, 1–6. [Google Scholar] [CrossRef]
- Gunay Ucurum, S. The relationship between pain severity, kinesiophobia, and quality of life in patients with non-specific chronic neck pain. J. Back Musculoskelet. Rehabil. 2019, 32, 677–683. [Google Scholar] [CrossRef]
- Dieleman, J.L.; Cao, J.; Chapin, A.; Chen, C.; Li, Z.; Liu, A.; Horst, C.; Kaldjian, A.; Matyasz, T.; Scott, K.W.; et al. US Health Care Spending by Payer and Health Condition, 1996–2016. JAMA 2020, 323, 863–884. [Google Scholar] [CrossRef]
- Holtermann, A.; Hansen, J.V.; Burr, H.; Søgaard, K. Prognostic factors for long-term sickness absence among employees with neck–shoulder and low-back pain. Scand. J. Work. Environ. Health 2010, 36, 34–41. [Google Scholar] [CrossRef]
- Carroll, L.J.; Holm, L.W.; Hogg-Johnson, S.; Côté, P.; Cassidy, J.D.; Haldeman, S.; Nordin, M.; Hurwitz, E.L.; Carragee, E.J.; van der Velde, G.; et al. Course and prognostic factors for neck pain in whiplash-associated disorders (WAD): Results of the bone and joint decade 2000–2010 task force on neck pain and its associated disorders. Eur. Spine J. 2008, 17, S83–S92. [Google Scholar] [CrossRef]
- Sterling, M. Physiotherapy management of whiplash-associated disorders (WAD). J. Physiother. 2014, 60, 5–12. [Google Scholar] [CrossRef]
- Genebra, C.; Maciel, N.M.; Bento, T.P.F.; Simeão, S.; Vitta, A. Prevalence and factors associated with neck pain: A population-based study. Braz. J. Phys. Ther. 2017, 21, 274–280. [Google Scholar] [CrossRef]
- Yue, P.; Liu, F.; Li, L. Neck/shoulder pain and low back pain among school teachers in China, prevalence and risk factors. BMC Public Health 2012, 12, 789. [Google Scholar] [CrossRef] [PubMed]
- Jun, D.; Zoe, M.; Johnston, V.; O’Leary, S. Physical risk factors for developing non-specific neck pain in office workers: A systematic review and meta-analysis. Int. Arch. Occup. Environ. Health 2017, 90, 373–410. [Google Scholar] [CrossRef]
- Chrcanovic, B.; Larsson, J.; Malmström, E.M.; Westergren, H.; Häggman-Henrikson, B. Exercise therapy for whiplash-associated disorders: A systematic review and meta-analysis. Scand. J. Pain 2022, 22, 232–261. [Google Scholar] [CrossRef] [PubMed]
- Jull, G.; Kenardy, J.; Hendrikz, J.; Cohen, M.; Sterling, M. Management of acute whiplash: A randomized controlled trial of multidisciplinary stratified treatments. Pain 2013, 154, 1798–1806. [Google Scholar] [CrossRef] [PubMed]
- Röijezon, U.; Djupsjöbacka, M.; Björklund, M.; Häger-Ross, C.; Grip, H.; Liebermann, D.G. Kinematics of fast cervical rotations in persons with chronic neck pain: A cross-sectional and reliability study. BMC Musculoskelet. Disord. 2010, 11, 222. [Google Scholar] [CrossRef]
- Kristjansson, E.; Treleaven, J. Sensorimotor function and dizziness in neck pain: Implications for assessment and management. J. Orthop. Sports Phys. Ther. 2009, 39, 364–377. [Google Scholar] [CrossRef]
- Treleaven, J. Sensorimotor disturbances in neck disorders affecting postural stability, head and eye movement control. Man. Ther. 2008, 13, 2–11. [Google Scholar] [CrossRef]
- Qu, N.; Tian, H.C.; De Martino, E.; Zhang, B. Neck Pain: Do We Know Enough About the Sensorimotor Control System? Front. Comput. Neurosci. 2022, 16, 10. [Google Scholar] [CrossRef]
- Röijezon, U.; Clark, N.C.; Treleaven, J. Proprioception in musculoskeletal rehabilitation. Part 1: Basic science and principles of assessment and clinical interventions. Man. Ther. 2015, 20, 368–377. [Google Scholar] [CrossRef]
- de Vries, J.; Ischebeck, B.K.; Voogt, L.P.; van der Geest, J.N.; Janssen, M.; Frens, M.A.; Kleinrensink, G.J. Joint position sense error in people with neck pain: A systematic review. Man. Ther. 2015, 20, 736–744. [Google Scholar] [CrossRef]
- De Pauw, R.; Van Looveren, E.; Lenoir, D.; Danneels, L.; Cagnie, B. Reliability and discriminative validity of a screening tool for the assessment of neuromuscular control and movement control in patients with neck pain and healthy individuals. Disabil. Rehabil. 2022, 44, 139–147. [Google Scholar] [CrossRef]
- Ernst, M.J.; Williams, L.; Werner, I.M.; Crawford, R.J.; Treleaven, J. Clinical assessment of cervical movement sense in those with neck pain compared to asymptomatic individuals. Musculoskelet. Sci. Pract. 2019, 43, 64–69. [Google Scholar] [CrossRef] [PubMed]
- Kristjansson, E.; Björnsdottir, S.V.; Oddsdottir, G.L. The long-term course of deficient cervical kinaesthesia following a whiplash injury has a tendency to seek a physiological homeostasis. A prospective study. Man. Ther. 2016, 22, 196–201. [Google Scholar] [CrossRef] [PubMed]
- Sarig Bahat, H.; Croft, K.; Carter, C.; Hoddinott, A.; Sprecher, E.; Treleaven, J. Remote kinematic training for patients with chronic neck pain: A randomised controlled trial. Eur. Spine J. 2018, 27, 1309–1323. [Google Scholar] [CrossRef] [PubMed]
- Riemann, B.L.; Lephart, S.M. The sensorimotor system, part I: The physiologic basis of functional joint stability. J. Athl. Train. 2002, 37, 71–79. [Google Scholar]
- Treleaven, J. Dizziness, Unsteadiness, Visual Disturbances, and Sensorimotor Control in Traumatic Neck Pain. J. Orthop. Sports Phys. Ther. 2017, 47, 492–502. [Google Scholar] [CrossRef]
- English, D.J.; Zacharias, A.; Green, R.A.; Weerakkody, N. Reliability of Cervicocephalic Proprioception Assessment: A Systematic Review. J. Manip. Physiol. Ther. 2022, 45, 346–357. [Google Scholar] [CrossRef]
- Stanton, T.R.; Leake, H.B.; Chalmers, K.J.; Moseley, G.L. Evidence of Impaired Proprioception in Chronic, Idiopathic Neck Pain: Systematic Review and Meta-Analysis. Phys. Ther. 2016, 96, 876–887. [Google Scholar] [CrossRef]
- de Zoete, R.M.J.; Osmotherly, P.G.; Rivett, D.A.; Farrell, S.F.; Snodgrass, S.J. Sensorimotor Control in Individuals With Idiopathic Neck Pain and Healthy Individuals: A Systematic Review and Meta-Analysis. Arch. Phys. Med. Rehabil. 2017, 98, 1257–1271. [Google Scholar] [CrossRef]
- Roren, A.; Mayoux-Benhamou, M.-A.; Fayad, F.; Poiraudeau, S.; Lantz, D.; Revel, M. Comparison of visual and ultrasound based techniques to measure head repositioning in healthy and neck-pain subjects. Man. Ther. 2009, 14, 270–277. [Google Scholar] [CrossRef]
- Chen, X.; Treleaven, J. The effect of neck torsion on joint position error in subjects with chronic neck pain. Man. Ther. 2013, 18, 562–567. [Google Scholar] [CrossRef] [PubMed]
- Sjölander, P.; Michaelson, P.; Jaric, S.; Djupsjöbacka, M. Sensorimotor disturbances in chronic neck pain—Range of motion, peak velocity, smoothness of movement, and repositioning acuity. Man. Ther. 2008, 13, 122–131. [Google Scholar] [CrossRef] [PubMed]
- Röijezon, U.; Jull, G.; Blandford, C.; Daniels, A.; Michaelson, P.; Karvelis, P.; Treleaven, J. Proprioceptive Disturbance in Chronic Neck Pain: Discriminate Validity and Reliability of Performance of the Clinical Cervical Movement Sense Test. Front. Pain Res. 2022, 3, 908414. [Google Scholar] [CrossRef]
- Sarig Bahat, H.; Watt, P.; Rhodes, M.; Hadar, D.; Treleaven, J. High-vs. low-tech cervical movement sense measurement in individuals with neck pain. Musculoskelet. Sci. Pract. 2020, 45, 102097. [Google Scholar] [CrossRef]
- Sarig Bahat, H.; Chen, X.; Reznik, D.; Kodesh, E.; Treleaven, J. Interactive cervical motion kinematics: Sensitivity, specificity and clinically significant values for identifying kinematic impairments in patients with chronic neck pain. Man. Ther. 2015, 20, 295–302. [Google Scholar] [CrossRef]
- Li, D.E.; David, K.E.B.; O’Leary, S.; Treleaven, J. Higher variability in cervical force perception in people with neck pain. Musculoskelet. Sci. Pract. 2019, 42, 6–12. [Google Scholar] [CrossRef]
- Muceli, S.; Farina, D.; Kirkesola, G.; Katch, F.; Falla, D. Reduced force steadiness in women with neck pain and the effect of short term vibration. J. Electromyogr. Kinesiol. 2011, 21, 283–290. [Google Scholar] [CrossRef]
- Franov, E.; Straub, M.; Bauer, C.M.; Ernst, M.J. Head kinematics in patients with neck pain compared to asymptomatic controls: A systematic review. BMC Musculoskelet. Disord. 2022, 23, 156. [Google Scholar] [CrossRef]
- Ohberg, F.; Grip, H.; Wiklund, U.; Sterner, Y.; Karlsson, J.S.; Gerdle, B. Chronic whiplash associated disorders and neck movement measurements: An instantaneous helical axis approach. IEEE Trans. Inf. Technol. Biomed. 2003, 7, 274–282. [Google Scholar] [CrossRef]
- Gadotti, I.; Hernandez, L.; Manguson, J.; Sanchez, L.; Cevallos, F. A pilot study on the evaluation of eye, head, and trunk coordination in subjects with chronic whiplash during a target-tracking task—A driving context approach. Musculoskelet. Sci. Pract. 2020, 46, 102124. [Google Scholar] [CrossRef]
- Salehi, R.; Rasouli, O.; Saadat, M.; Mehravar, M.; Negahban, H.; Yazdi, M.J.S. Cervical movement kinematic analysis in patients with chronic neck pain: A comparative study with healthy subjects. Musculoskelet. Sci. Pract. 2021, 53, 102377. [Google Scholar] [CrossRef]
- Clark, N.C.; Röijezon, U.; Treleaven, J. Proprioception in musculoskeletal rehabilitation. Part 2: Clinical assessment and intervention. Man. Ther. 2015, 20, 378–387. [Google Scholar] [CrossRef]
- Asadzadeh, A.; Samad-Soltani, T.; Salahzadeh, Z.; Rezaei-Hachesu, P. Effectiveness of virtual reality-based exercise therapy in rehabilitation: A scoping review. Inform. Med. Unlocked 2021, 24, 100562. [Google Scholar] [CrossRef]
- Qian, J.; McDonough, D.J.; Gao, Z. The Effectiveness of Virtual Reality Exercise on Individual’s Physiological, Psychological and Rehabilitative Outcomes: A Systematic Review. Int. J. Environ. Res. Public Health 2020, 17, 4133. [Google Scholar] [CrossRef]
- Forsberg, K.; Jirlen, J.; Jacobson, I.; Roeijezon, U.; Baddour, N.; Lemaire, E. Concurrent Validity of Cervical Movement Tests Using VR Technology-Taking the Lab to the Clinic. Sensors 2023, 23, 9864. [Google Scholar] [CrossRef]
- Sarig-Bahat, H.; Laufer, Y.; Weiss, P.L. Cervical motion assessment using virtual reality. Spine 2009, 34, 1018–1024. [Google Scholar] [CrossRef]
- Sarig Bahat, H.; Sprecher, E.; Sela, I.; Treleaven, J. Neck motion kinematics: An inter-tester reliability study using an interactive neck VR assessment in asymptomatic individuals. Eur. Spine J. 2016, 25, 2139–2148. [Google Scholar] [CrossRef]
- Sarig Bahat, H.; Weiss, P.L.; Laufer, Y. The effect of neck pain on cervical kinematics, as assessed in a virtual environment. Arch. Phys. Med. Rehabil. 2010, 91, 1884–1890. [Google Scholar] [CrossRef]
- Lubetzky, A.V.; Wang, Z.; Krasovsky, T. Head mounted displays for capturing head kinematics in postural tasks. J. Biomech. 2019, 86, 175–182. [Google Scholar] [CrossRef]
- Donegan, T.; Ryan, B.; Świdrak, J.; Sanchez-Vives, M. Immersive Virtual Reality for Clinical Pain: Considerations for Effective Therapy. Front. Virtual Real. 2020, 1, 9. [Google Scholar] [CrossRef]
- Topley, M.; Richards, J.G. A comparison of currently available optoelectronic motion capture systems. J. Biomech. 2020, 106, 109820. [Google Scholar] [CrossRef]
- Richards, J.G. The measurement of human motion: A comparison of commercially available systems. Hum. Mov. Sci. 1999, 18, 589–602. [Google Scholar] [CrossRef]
- Vox, J.P.; Weber, A.; Wolf, K.I.; Izdebski, K.; Schüler, T.; König, P.; Wallhoff, F.; Friemert, D. An Evaluation of Motion Trackers with Virtual Reality Sensor Technology in Comparison to a Marker-Based Motion Capture System Based on Joint Angles for Ergonomic Risk Assessment. Sensors 2021, 21, 3145. [Google Scholar] [CrossRef] [PubMed]
- Dworkin, R.H.; Turk, D.C.; Farrar, J.T.; Haythornthwaite, J.A.; Jensen, M.P.; Katz, N.P.; Kerns, R.D.; Stucki, G.; Allen, R.R.; Bellamy, N.; et al. Core outcome measures for chronic pain clinical trials: IMMPACT recommendations. Pain 2005, 113, 9–19. [Google Scholar] [CrossRef] [PubMed]
- Giavarina, D. Understanding Bland Altman Analysis; Biochemia Medica: Zagreb, Croatia, 2015; Volume 25, pp. 141–151. ISSN 1330-0962. [Google Scholar]
- Altman, D.G.; Bland, J.M. Measurement in Medicine: The Analysis of Method Comparison Studies. J. R. Stat. Society Ser. D (Stat.) 1983, 32, 307–317. [Google Scholar] [CrossRef]
- Koo, T.K.; Li, M.Y. A Guideline of Selecting and Reporting Intraclass Correlation Coefficients for Reliability Research. J. Chiropr. Med. 2016, 15, 155–163. [Google Scholar] [CrossRef]
- Sommer, B.B.; Ernst, M.J.; Meichtry, A.; Rast, F.M.; Bauer, C.M.; Weisenhorn, M.; Kleger, D.; Schmid, P.; Lünenburger, L. Concurrent validity and reliability of a mobile tracking technology to measure angular and linear movements of the neck. J. Biomech. 2019, 96, 109340. [Google Scholar] [CrossRef]
- Revel, M.; Andredeshays, C.; Minguet, M. Cervicocephalic Kinesthetic Sensibility in Patients with Cervical Pain. Arch. Phys. Med. Rehabil. 1991, 72, 288–291. [Google Scholar]
- Christensen, S.W.M.; Palsson, T.S.; Djurtoft, C.; Simonsen, M.B. Agreement between a 3D camera system and an inertial measurement unit for assessing the range of motion, head repositioning accuracy and quality of movement during neck and head movements. Eur. J. Physiother. 2023, 26, 103–110. [Google Scholar] [CrossRef]
- Palmieri, M.; Donno, L.; Cimolin, V.; Galli, M. Cervical Range of Motion Assessment through Inertial Technology: A Validity and Reliability Study. Sensors 2023, 23, 6013. [Google Scholar] [CrossRef]
- Xu, X.; Chen, K.B.; Lin, J.H.; Radwin, R.G. The accuracy of the Oculus Rift virtual reality head-mounted display during cervical spine mobility measurement. J. Biomech. 2015, 48, 721–724. [Google Scholar] [CrossRef]
- Treleaven, J.; Jull, G.; Sterling, M. Dizziness and unsteadiness following whiplash injury: Characteristic features and relationship with cervical joint position error. J. Rehabil. Med. 2003, 35, 36–43. [Google Scholar] [CrossRef]






| Mean ± SD | |
|---|---|
| Age (years) | 45 ± 12 |
| Weight (kg) | 82 ± 17 |
| Height (cm) | 174 ± 10 |
| JPS Variables | Qualisys Mean (SD)° | VR Mean (SD)° | Mean Difference (SD)° | Std. Error Mean° | 95% Confidence Interval of the Difference | t | Two-Sided p | |
|---|---|---|---|---|---|---|---|---|
| Lower | Upper | |||||||
| AE right | 3.6 (2.6) | 3.7 (2.3) | −0.1 (1.4) | 0.3 | −0.8 | 0.6 | −0.3 | 0.741 |
| AE left | 4.5 (3.4) | 5.8 (4.3) | −1.3 (2.3) | 0.5 | −2.3 | −0.2 | −2.4 | 0.025 |
| AE extension | 3.5 (1.5) | 3.6 (1.7) | −0.1 (0.9) | 0.2 | −0.5 | 0.4 | −0.4 | 0.714 |
| AE flexion | 3.8 (1.9) | 3.8 (1.5) | −0.1 (0.8) | 0.2 | −0.4 | 0.3 | −0.4 | 0.719 |
| CE right | 1.0 (4.2) | 1.7 (3.9) | −0.7 (1.7) | 0.4 | −1.5 | 0.1 | −1.8 | 0.082 |
| CE left | 0.6 (5.5) | 2.9 (6.5) | −2.4 (1.8) | 0.4 | −3.2 | −1.5 | −5.9 | <0.001 |
| CE extension | −0.1 (2.3) | −0.5 (2.2) | 0.5 (0.4) | 0.1 | 0.3 | 0.6 | 5.8 | <0.001 |
| CE flexion | 2.1 (3.4) | 1.5 (3.2) | 0.7 (0.5) | 0.1 | 0.4 | 0.9 | 6.3 | <0.001 |
| VE right | 1.3 (0.7) | 1.3 (0.6) | 0.0 (0.5) | 0.1 | −0.3 | 0.2 | −0.3 | 0.805 |
| VE left | 1.6 (1.0) | 2.1 (1.0) | −0.4 (0.6) | 0.1 | −0.7 | −0.1 | −3.1 | 0.006 |
| VE extension | 1.4 (0.6) | 1.4 (0.5) | 0.0 (0.1) | 0.0 | 0.0 | 0.1 | 0.7 | 0.522 |
| VE flexion | 1.5 (0.7) | 1.5 (0.7) | 0.0 (0.1) | 0.0 | 0.0 | 0.0 | 0.5 | 0.643 |
| JPS Variables | Mean Bias° (Qualisys − VR) | 95% LOA° | Mean Bias % | ICC2.k | ICC 95% CI | ||
|---|---|---|---|---|---|---|---|
| Lower | Upper | Lower | Upper | ||||
| AE right | −0.1 | −2.9 | 2.7 | −2.7 | 0.911 *** | 0.775 | 0.965 |
| AE left | −1.3 | −5.8 | 3.3 | −25.2 | 0.879 *** | 0.655 | 0.954 |
| AE extension | −0.1 | −1.9 | 1.8 | −2.8 | 0.911 *** | 0.774 | 0.965 |
| AE flexion | −0.1 | −1.6 | 1.5 | −2.6 | 0.945 *** | 0.862 | 0.978 |
| CE right | −0.7 | −4.0 | 2.6 | −51.9 | 0.948 *** | 0.864 | 0.980 |
| CE left | −2.4 | −5.9 | 1.2 | −137.1 | 0.940 *** | 0.266 | 0.985 |
| CE extension | 0.5 | −0.2 | 1.2 | −166.7 | 0.983 *** | 0.688 | 0.996 |
| CE flexion | 0.7 | −0.3 | 1.6 | 38.9 | 0.985 *** | 0.645 | 0.996 |
| VE right | 0.0 | −1.0 | 0.9 | 0.0 | 0.835 *** | 0.580 | 0.935 |
| VE left | −0.4 | −1.7 | 0.8 | −21.6 | 0.846 *** | 0.480 | 0.945 |
| VE extension | 0.0 | −0.2 | 0.2 | 0.0 | 0.993 *** | 0.982 | 0.997 |
| VE flexion | 0.0 | −0.1 | 0.1 | 0.0 | 0.998 *** | 0.995 | 0.999 |
| Cervical Reaction Acuity Test Variables | Qualisys Mean (SD) | VR Mean (SD) | Mean Difference (SD) | Std. Error Mean | 95% Confidence Interval of the Difference | t | Two-Sided p | |
|---|---|---|---|---|---|---|---|---|
| Lower | Upper | |||||||
| Reaction time (ms) | 372.5 (39.4) | 392.3 (40.9) | −19.9 (8.6) | 1.9 | −23.9 | −15.8 | −10 | <0.001 |
| Max velocity (°/s) | 71.7 (15.3) | 78.2 (18.2) | −6.5 (3.3) | 0.7 | −8.1 | −5.0 | −9 | <0.001 |
| Cervical Reaction Acuity Test Variables | Mean Bias (Mean Difference Qualisys − VR) | 95% LOA | Mean Bias % | ICC2.k | ICC 95% CI | ||
|---|---|---|---|---|---|---|---|
| Lower | Upper | Lower | Upper | ||||
| Reaction time (ms) | −19.9 | −36.8 | −2.9 | −5.2 | 0.931 *** | −0.069 | 0.986 |
| Max velocity (°/s) | −6.5 | −12.9 | −0.2 | −8.7 | 0.954 *** | 0.014 | 0.991 |
Disclaimer/Publisher’s Note: The statements, opinions and data contained in all publications are solely those of the individual author(s) and contributor(s) and not of MDPI and/or the editor(s). MDPI and/or the editor(s) disclaim responsibility for any injury to people or property resulting from any ideas, methods, instructions or products referred to in the content. |
© 2024 by the authors. Licensee MDPI, Basel, Switzerland. This article is an open access article distributed under the terms and conditions of the Creative Commons Attribution (CC BY) license (https://creativecommons.org/licenses/by/4.0/).
Share and Cite
Forsberg, K.; Jirlén, J.; Jacobson, I.; Röijezon, U. Cervical Sensorimotor Function Tests Using a VR Headset—An Evaluation of Concurrent Validity. Sensors 2024, 24, 5811. https://doi.org/10.3390/s24175811
Forsberg K, Jirlén J, Jacobson I, Röijezon U. Cervical Sensorimotor Function Tests Using a VR Headset—An Evaluation of Concurrent Validity. Sensors. 2024; 24(17):5811. https://doi.org/10.3390/s24175811
Chicago/Turabian StyleForsberg, Karin, Johan Jirlén, Inger Jacobson, and Ulrik Röijezon. 2024. "Cervical Sensorimotor Function Tests Using a VR Headset—An Evaluation of Concurrent Validity" Sensors 24, no. 17: 5811. https://doi.org/10.3390/s24175811
APA StyleForsberg, K., Jirlén, J., Jacobson, I., & Röijezon, U. (2024). Cervical Sensorimotor Function Tests Using a VR Headset—An Evaluation of Concurrent Validity. Sensors, 24(17), 5811. https://doi.org/10.3390/s24175811

