Measuring Transverse Relaxation with a Single-Beam 894 nm VCSEL for Cs-Xe NMR Gyroscope Miniaturization
Abstract
1. Introduction
2. Principle and Methods
2.1. Parametric Resonance Magnetometer
2.2. VCSEL Frequency Stabilization
3. Experiment
3.1. Composition of Experimental System
3.1.1. Cs-Xe NMRG
3.1.2. VCSEL
3.2. Experimental Setup
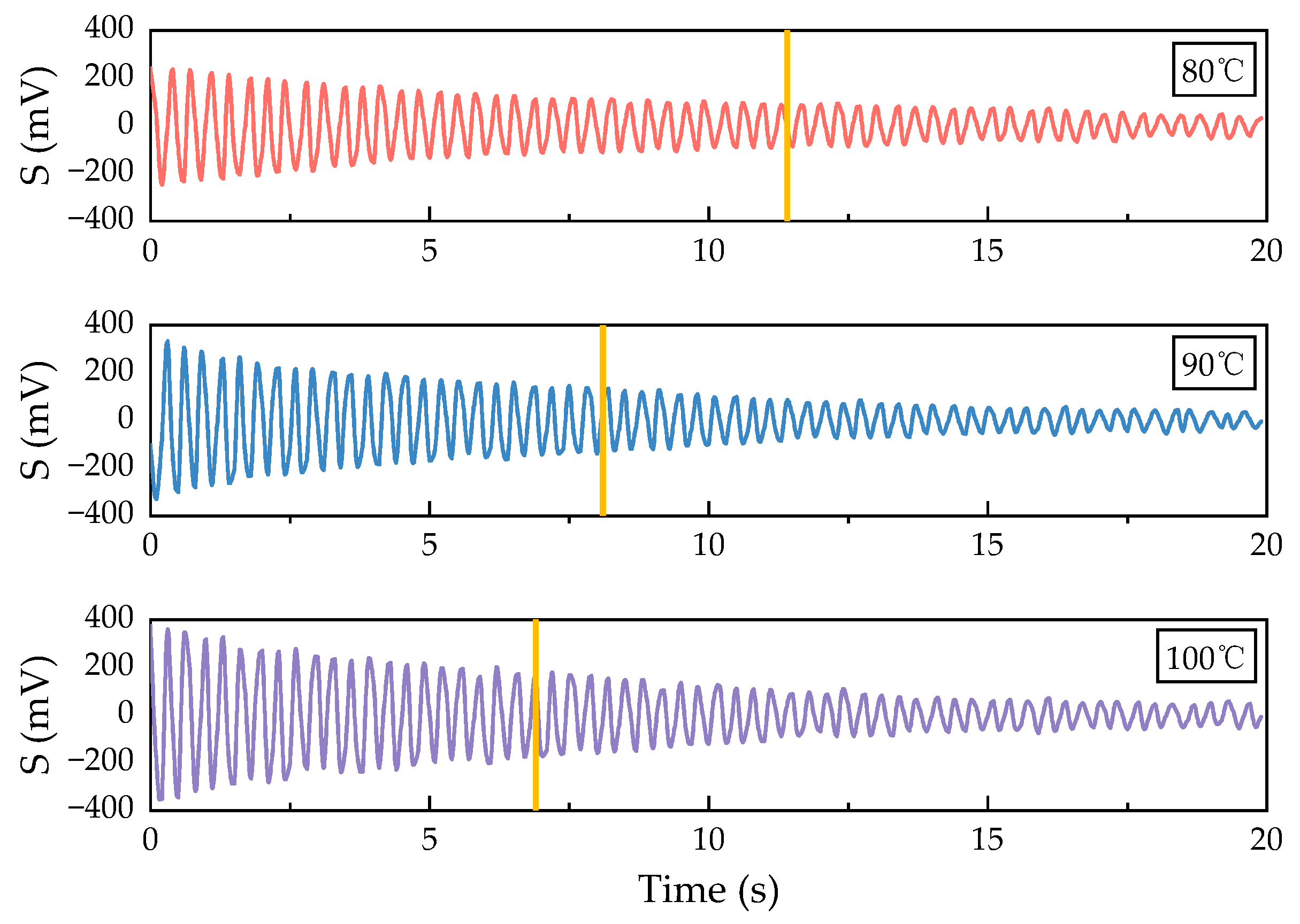
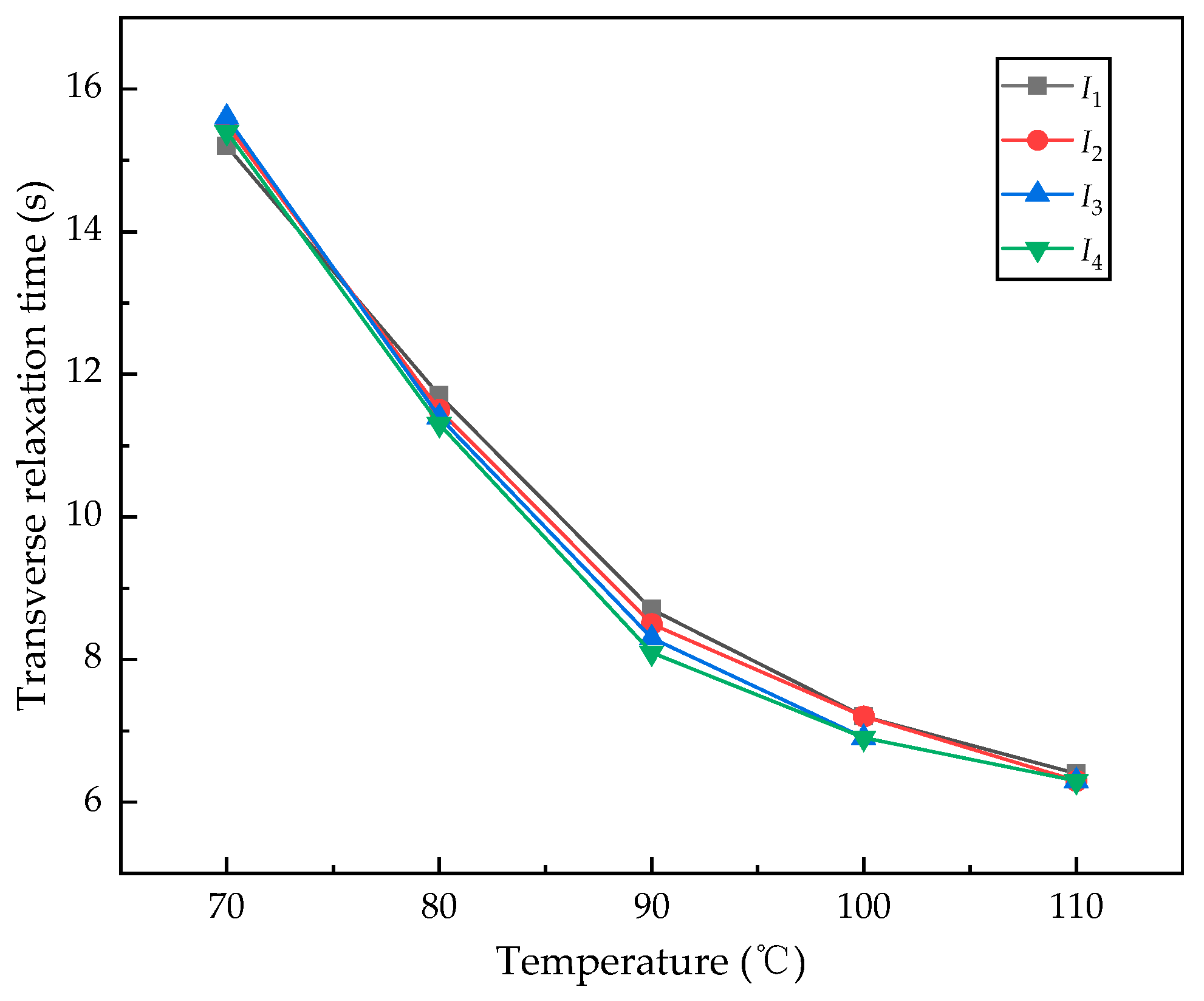
4. Experimental Results
5. Conclusions
Author Contributions
Funding
Institutional Review Board Statement
Informed Consent Statement
Data Availability Statement
Conflicts of Interest
References
- Fang, J.; Qin, J. Advances in Atomic Gyroscopes: A View from Inertial Navigation Applications. Sensors 2012, 12, 6331–6346. [Google Scholar] [CrossRef]
- Kitching, J. Chip-scale atomic devices. Appl. Phys. Rev. 2018, 5, 031302. [Google Scholar] [CrossRef]
- Donley, E.A. Nuclear magnetic resonance gyroscopes. In Proceedings of the SENSORS, 2010 IEEE, Waikoloa, HI, USA, 1–4 November 2010; pp. 17–22. [Google Scholar]
- Noor, R.M.; Shkel, A.M. MEMS Components for NMR Atomic Sensors. J. Microelectromech. Syst. 2018, 27, 1148–1159. [Google Scholar] [CrossRef]
- Volk, C.H.; Kwon, T.M.; Mark, J.G. Measurement of the 87Rb-129Xe spin-exchange cross section. Phys. Rev. A 1980, 21, 1549–1555. [Google Scholar] [CrossRef]
- Meyer, D.; Larsen, M.J.G. Nuclear magnetic resonance gyro for inertial navigation. Gyroscopy Navig. 2014, 5, 75–82. [Google Scholar] [CrossRef]
- Woodman, K.; Franks, P.; Richards, M.D. The nuclear magnetic resonance gyroscope: A review. J. Navig. 1987, 40, 366–384. [Google Scholar] [CrossRef]
- Kanegsberg, E. A nuclear magnetic resonance (NMR) gyro with optical magnetometer detection. In Proceedings of the Laser Inertial Rotation Sensors, San Diego, CA, USA, 28–31 August 1978; pp. 73–80. [Google Scholar]
- Kornack, T.W.; Ghosh, R.K.; Romalis, M.V. Nuclear Spin Gyroscope Based on an Atomic Comagnetometer. Phys. Rev. Lett. 2005, 95, 230801. [Google Scholar] [CrossRef] [PubMed]
- Sorensen, S.S.; Thrasher, D.A.; Walker, T.G.J.A.S. A synchronous spin-exchange optically pumped nmr-gyroscope. Appl. Sci. 2020, 10, 7099. [Google Scholar] [CrossRef]
- Katz, O.; Shaham, R.; Firstenberg, O. Coupling light to a nuclear spin gas with a two-photon linewidth of five millihertz. Sci. Adv. 2021, 7, eabe9164. [Google Scholar] [CrossRef]
- Volk, C.H.; Kwon, T.M.; Mark, J.G.; Kim, Y.B.; Woo, J.C. Measurement of the Rb-131Xe Spin-Exchange Cross Section in 131Xe Relaxation Studies. Phys. Rev. Lett. 1980, 44, 136–139. [Google Scholar] [CrossRef]
- Walker, T.G.; Larsen, M.S. Spin-exchange-pumped NMR gyros. In Advances in Atomic, Molecular, and Optical Physics; Elsevier: Amsterdam, The Netherlands, 2016; Volume 65, pp. 373–401. [Google Scholar]
- Keeler, J. Understanding NMR Spectroscopy; John Wiley & Sons: Hoboken, NJ, USA, 2010. [Google Scholar]
- Terao, A.; Ban, K.; Ichihara, S.; Mizutani, N.; Kobayashi, T. Highly responsive ac scalar atomic magnetometer with long relaxation time. Phys. Rev. A 2013, 88, 063413. [Google Scholar] [CrossRef]
- Jiang, P.; Wang, Z.G.; Luo, H. Techniques for measuring transverse relaxation time of xenon atoms in nuclear-magnetic-resonance gyroscopes and pump-light influence mechanism. Optik 2017, 138, 341–348. [Google Scholar] [CrossRef]
- Dehmelt, H.G. Modulation of a light beam by precessing absorbing atoms. Phys. Rev. 1957, 105, 1924. [Google Scholar] [CrossRef]
- Nagourney, W.; Sandberg, J.; Dehmelt, H. Shelved optical electron amplifier: Observation of quantum jumps. Phys. Rev. Lett. 1986, 56, 2797–2799. [Google Scholar] [CrossRef]
- Jiménez-Martínez, R.; Kennedy, D.J.; Rosenbluh, M.; Donley, E.A.; Knappe, S.; Seltzer, S.J.; Ring, H.L.; Bajaj, V.S.; Kitching, J. Optical hyperpolarization and NMR detection of 129Xe on a microfluidic chip. Nat. Commun. 2014, 5, 3908. [Google Scholar] [CrossRef] [PubMed]
- Bell, W.E.; Bloom, A.L.J.P.R. Optical detection of magnetic resonance in alkali metal vapor. Phys. Rev. 1957, 107, 1559. [Google Scholar] [CrossRef]
- Larsen, M.; Bulatowicz, M. Nuclear magnetic resonance gyroscope: For DARPA’s micro-technology for positioning, navigation and timing program. 2012 IEEE International Frequency Control Symposium Proceedings, Baltimore, MD, USA, 21–24 May 2012. [Google Scholar] [CrossRef]
- Donley, E.A.; Long, J.L.; Liebisch, T.C.; Hodby, E.R.; Fisher, T.A.; Kitching, J. Nuclear quadrupole resonances in compact vapor cells: The crossover between the NMR and the nuclear quadrupole resonance interaction regimes. Phys. Rev. A 2009, 79, 013420. [Google Scholar] [CrossRef]
- Harle, P.; Wackerle, G.; Mehring, M. A Nuclear-Spin Based Rotation Sensor using Optical Polarization and Detection Methods. Appl. Magn. Reson. 1993, 5, 207–220. [Google Scholar] [CrossRef]
- Maleev, N.A.; Blokhin, S.A.; Bobrov, M.A.; Kuz’menkov, A.G.; Kulagina, M.M.; Ustinov, V.M. Laser Source for a Compact Nuclear Magnetic Resonance Gyroscope. Gyroscopy Navig. 2018, 9, 177–182. [Google Scholar] [CrossRef]
- Gruet, F.; Vecchio, F.; Affolderbach, C.; Pétremand, Y.; de Rooij, N.F.; Maeder, T.; Mileti, G. A miniature frequency-stabilized VCSEL system emitting at 795nm based on LTCC modules. Opt. Lasers Eng. 2013, 51, 1023–1027. [Google Scholar] [CrossRef]
- Kitching, J.; Knappe, S.; Vukicevic, M.; Hollberg, L.; Wynands, R.; Weidmann, W. A microwave frequency reference based on VCSEL-driven dark line resonances in Cs vapor. IEEE Trans. Instrum. Meas. 2000, 49, 1313–1317. [Google Scholar] [CrossRef]
- Cohen-Tannoudji, C.; Dupont-Roc, J.; Haroche, S.; Laloë, F. Diverses résonances de croisement de niveaux sur des atomes pompés optiquement en champ nul. I. Théorie. Rev. De Phys. Appliquée 1970, 5, 95–101. [Google Scholar] [CrossRef]
- Bloch, F.; Hansen, W.W.; Packard, M. The Nuclear Induction Experiment. Phys. Rev. 1946, 70, 474–485. [Google Scholar] [CrossRef]
- Slocum, R.; Marton, B. Measurement of weak magnetic fields using zero-field parametric resonance in optically pumped He4. IEEE Trans. Magn. 1973, 9, 221–226. [Google Scholar] [CrossRef]
- Tanner, C.E.; Wieman, C. Precision measurement of the hyperfine structure of the 133Cs 6P3/2 state. Phys. Rev. A 1988, 38, 1616–1617. [Google Scholar] [CrossRef]
- Al-Samaneh, A. VCSELs for cesium-based miniaturized atomic clocks. BoD–Books on Demand. 2015. Available online: https://api.semanticscholar.org/CorpusID:15154449 (accessed on 28 August 2024).
- Mag-Usara, V.K.; Funkner, S.; Niehues, G.; Prieto, E.A.; Balgos, M.H.; Somintac, A.; Estacio, E.; Salvador, A.; Yamamoto, K.; Hase, M.; et al. Low temperature-grown GaAs carrier lifetime evaluation by double optical pump terahertz time-domain emission spectroscopy. Opt. Express 2016, 24, 26175–26185. [Google Scholar] [CrossRef]












Disclaimer/Publisher’s Note: The statements, opinions and data contained in all publications are solely those of the individual author(s) and contributor(s) and not of MDPI and/or the editor(s). MDPI and/or the editor(s) disclaim responsibility for any injury to people or property resulting from any ideas, methods, instructions or products referred to in the content. |
© 2024 by the authors. Licensee MDPI, Basel, Switzerland. This article is an open access article distributed under the terms and conditions of the Creative Commons Attribution (CC BY) license (https://creativecommons.org/licenses/by/4.0/).
Share and Cite
Zhao, Q.; Zhang, R.; Liu, H. Measuring Transverse Relaxation with a Single-Beam 894 nm VCSEL for Cs-Xe NMR Gyroscope Miniaturization. Sensors 2024, 24, 5692. https://doi.org/10.3390/s24175692
Zhao Q, Zhang R, Liu H. Measuring Transverse Relaxation with a Single-Beam 894 nm VCSEL for Cs-Xe NMR Gyroscope Miniaturization. Sensors. 2024; 24(17):5692. https://doi.org/10.3390/s24175692
Chicago/Turabian StyleZhao, Qingyang, Ruochen Zhang, and Hua Liu. 2024. "Measuring Transverse Relaxation with a Single-Beam 894 nm VCSEL for Cs-Xe NMR Gyroscope Miniaturization" Sensors 24, no. 17: 5692. https://doi.org/10.3390/s24175692
APA StyleZhao, Q., Zhang, R., & Liu, H. (2024). Measuring Transverse Relaxation with a Single-Beam 894 nm VCSEL for Cs-Xe NMR Gyroscope Miniaturization. Sensors, 24(17), 5692. https://doi.org/10.3390/s24175692

