Integrated Optical Waveguide Electric Field Sensors Based on Bismuth Germanate
Abstract
1. Introduction
2. The Working Principle of an Integrated Optoelectronic Field Sensor
2.1. Electro-Optic Effect of BGO Crystal
2.2. Principle and Design of Integrated Optical Electric Field Sensor
3. Optical Waveguide Writing Experiment
3.1. Experiment Platform
3.2. Writing Experiments at 1 kHz~200 kHz Repeat Frequency
3.3. In Situ Refractive Index Characterization Experiment
4. Design and Fabrication of Antennas and Electrodes
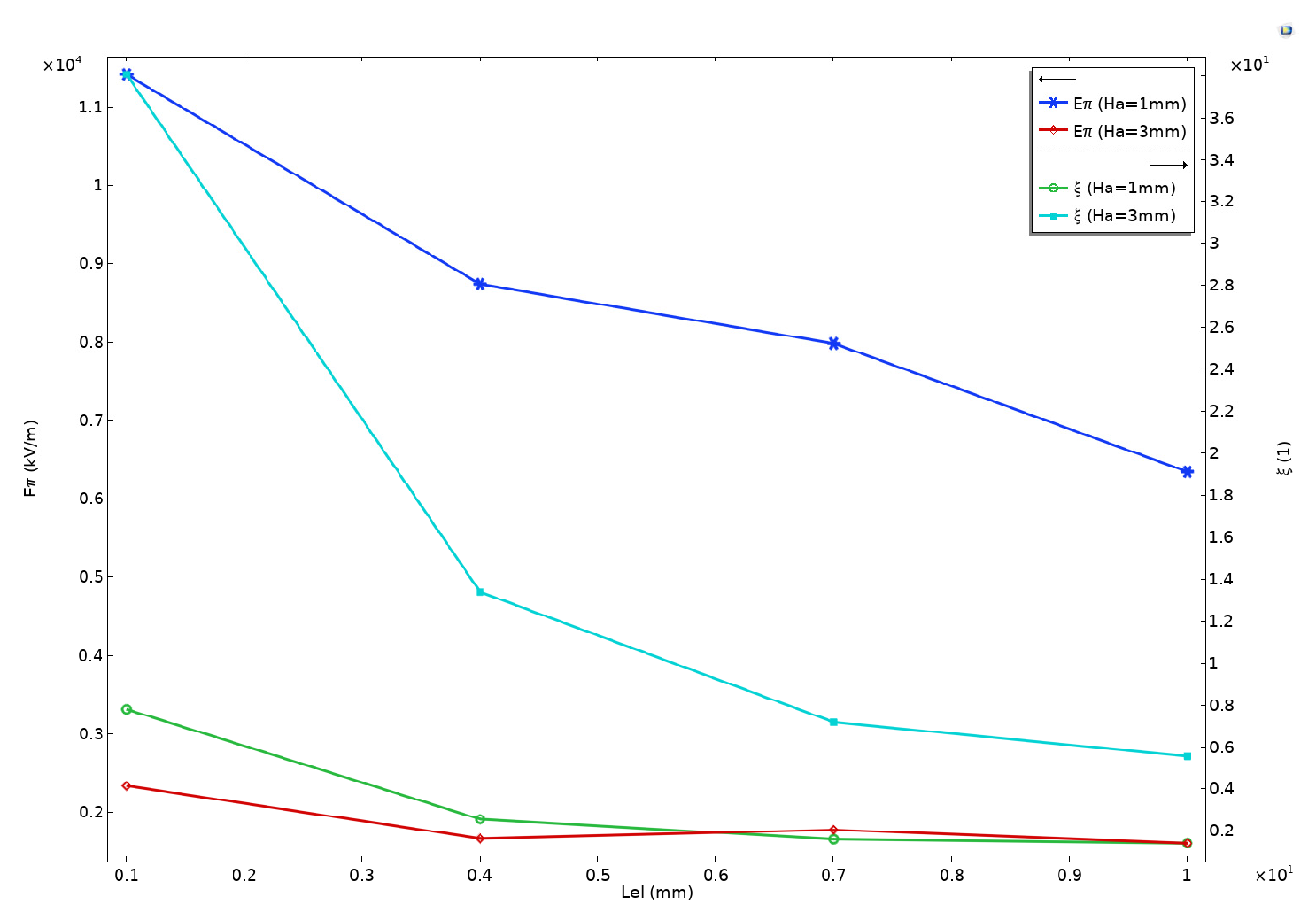
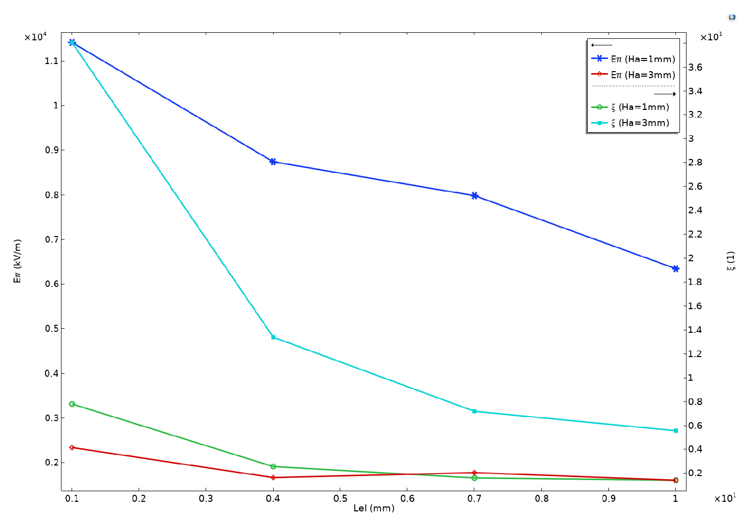
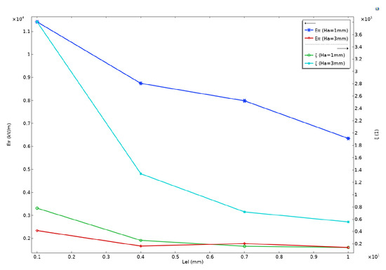
4.1. Analysis of Structural Parameters of Antennas and Electrodes
4.2. Antenna Electrode Process Scheme
4.3. Electro-Optic Effect Measurement
5. Conclusions
Author Contributions
Funding
Institutional Review Board Statement
Informed Consent Statement
Data Availability Statement
Conflicts of Interest
References
- Adams, M. Optical Waveguide Theory. Opt. Acta Int. J. Opt. 2010, 31, 497. [Google Scholar] [CrossRef]
- Snyder, A.W.; Love, J.D. Optical Waveguide Theory; Springer: Boston, MA, USA, 1983. [Google Scholar] [CrossRef]
- Keuren, E.V.; Knighten, J. Implications of the high-power microwave weapon threat in electronic system design. In Proceedings of the IEEE International Symposium on Electromagnetic Compatibility, Cherry Hill, NJ, USA, 12 July–16 August 1991; pp. 370–371. [Google Scholar]
- Kortke, A.; Mann, W. Near field scanning with optoelectronic E-field probes. In Proceedings of the 2009 3rd European Conference on Antennas and Propagation, Berlin, Germany, 23–27 March 2009; pp. 1725–1729. [Google Scholar]
- Wang, J.; Ban, S.; Yang, Y. A diferential self-integration D-dot voltage sensor and experimental research. IEEE Sens. J. 2015, 15, 3846–3852. [Google Scholar] [CrossRef]
- Rogers, A.J. Optical measurement of current and voltage on power systems. Electr. Power Appl. 1979, 2, 120–124. [Google Scholar] [CrossRef]
- Cease, T.W.; Driggans, J.G.; Weikel, S.J. Optical voltage and current sensors used in a revenue metering system. IEEE Trans. Power Deliv. 1991, 6, 1374–1379. [Google Scholar] [CrossRef]
- Optical, H.V. Sensors 123 to 765 kV, Balteau Series CTO-VTO-CCO; GEC Alsthom: Paris, France, 1997. [Google Scholar]
- Hidaka, K.; Fujita, H. A new method of electric field measurements in corona discharge using Pockels device. J. Appl. Phys. 1982, 53, 5999–6003. [Google Scholar] [CrossRef]
- Hidaka, K.; Teruya, K. Simultaneous measurement of two orthogonal components of electric field using a Pockels device. Rev. Sci. Instrum. 1989, 60, 1252–1257. [Google Scholar] [CrossRef]
- Garzarella, A.; Qadri, S.; Wieting, T.; Wu, D.H. Piezo-induced sensitity enhancements in electro-optic field sensors. J. Appl. Phys. 2005, 98, 043113. [Google Scholar] [CrossRef]
- Garzarella, A.; Dong, H. Non intrusive electromagnetic sensors for uItra wideband applications using electro-optic and magneto-optic materials. In Proceedings of the IEEE Intenational Conference on Ultra-Wideband, Bologna, Italy, 14–16 September 2011; pp. 240–242. [Google Scholar]
- Gaborit, G.; Dahdah, J.; Lecoche, F.; Jarrige, P.; Gaeremynck, Y.; Duraz, E.; Duvillaret, L. A nonperturbative electrooptic sensor for in-situ electric discharge characterization. IEEE Trans. Plasma Sci. 2013, 41, 2851–2857. [Google Scholar] [CrossRef]
- Zhu, Y.; Takada, T. A 2-dimensional Kerr-effect technique for electric field distribution in liquid dielectrics. IEEE Trans. Dielectr. Electr. Insul. 1997, 4, 748–757. [Google Scholar]
- Liu, W.; Fu, Y.; Zou, X. Online measurement of pulsed electric field of insulator surface in vacuum based on Kerr effect. IEEE Trans. Plasma Sci. 2014, 42, 2986–2990. [Google Scholar] [CrossRef]
- Weis, R.S.; Gaylord, T.K. Lithium niobate: Summary of physical properties and crystal structure. Appl. Phys. A 1985, 37, 191–203. [Google Scholar] [CrossRef]
- Bulmer, C.H.; Burns, W.K.; Greenblatt, A.S. Phase tuning by laser ablation of LiNbO3 interferometric modulators to optimum linearity. IEEE Photonics Technol. Lett. 1991, 3, 510–512. [Google Scholar] [CrossRef]
- Greenblatt, A.S.; Bulmer, C.H.; Moeller, R.P.; Burns, W.K. Thermnal stability of bias point of packaged linear modulators in lithium niobate. J. Light. Technol. 1995, 13, 2314–2319. [Google Scholar] [CrossRef]
- Kuwabara, N.; Tajima, K.; Kobayashi, R.; Amemiya, F. Development and analysis of electric field sensor using LiNbO3 optical modulator. IEEE Trans. Electromagn. Compat. 1992, 34, 391–396. [Google Scholar] [CrossRef]
- Tajima, K.; Kuwabara, N.; Kobayashi, K.; Tokuda, M. Evaluation of an electric field sensor with very small elements using a Mach-Zehnder interferometer. Electron. Commun. Jpn. 1997, 80, 69–78. [Google Scholar] [CrossRef]
- Lee, K.S. Electrooptic voltage sensor: Birefringence effects and compensation methods. Appl. Opt. 1990, 29, 4453–4461. [Google Scholar] [CrossRef]
- Li, Y.; Gao, L.; Wan, J.; Liu, J. Optical DC electric field sensing based on the Pockels effect using bismuth germanate crystals. Appl. Opt. 2020, 59, 6237–6244. [Google Scholar] [CrossRef]
- Zeng, R.; Wang, B.; Yu, Z.; Chen, W. Design and application of an integrated electro-optic sensor for intensive electric field measurement. IEEE Trans. Dielectr. Electr. Insul. 2011, 18, 312–319. [Google Scholar] [CrossRef]
- Zhang, J.; Chen, F.; Sun, B.; Chen, K.; Li, C. 3D Integrated optical e-field sensor for lightning electromagnetic impulse measurement. IEEE Photonics Technol. Lett. 2014, 26, 2353–2356. [Google Scholar] [CrossRef]
- Sun, B.; Chen, F.; Chen, K.; Hu, Z.; Cao, Y. Integrated Optical Electric Field Sensor From 10 kHz to 18 GHz. IEEE Photonics Technol. Lett. 2012, 24, 1106–1108. [Google Scholar] [CrossRef]
- Zhang, J.; Yang, D.; Zhang, C.; Zhao, Z. A single chip LiNbO3 photonic 2D electric field sensor using two perpendicular electrodes. IEEE Photonics Technol. Lett. 2020, 32, 1501–1504. [Google Scholar] [CrossRef]
- Zhang, J.; Chen, F.; Liu, B. Integrated photonic electric field sensor operating more than 26 GHz. IEEE Microw. Wirel. Compon. Lett. 2020, 30, 1009–1012. [Google Scholar] [CrossRef]
- Lu, H.; Li Yi Zhang, J. Design and analysis of broadband LiNbO3 optical waveguide electric field sensor with tapered antenna. Sensors 2021, 21, 3672. [Google Scholar] [CrossRef] [PubMed]
- Zhang, J.; Chen, F. An electro-optic sensor for measurement of intensive DC electric field. IEEE Photonics J. 2022, 14, 1–7. [Google Scholar] [CrossRef]
- Miese, C.; Gross, S.; Withford, M.J.; Fuerbach, A. Waveguide inscription in Bismuth Germanate crystals using high repetition rate femtosecond lasers pulses. Opt. Mater. Express 2015, 5, 323–329. [Google Scholar] [CrossRef]
- He, R.; An, Q.; Vazquez de Aldana, J.R.; Lu, Q.; Chen, F. Femtosecond-laser micromachined optical waveguides in Bi4Ge3O12 crystals. Appl. Opt. 2013, 52, 3713–3718. [Google Scholar] [CrossRef] [PubMed]
- Yamashita, K.; Fujisaka, H.; Iwasaki, H.; Kanno, K.; Hayakawa, M. A New Electric Field Mill Network to Estimate Temporal Variation of Simplified Charge Model in an Isolated Thundercloud. Sensors 2022, 22, 1884. [Google Scholar] [CrossRef]
- Li, J.; Zhao, P.; Yuan, H.; Lv, J.; Liu, C.; Xu, H. Differential Structure to Improve Performance of DC Electric Field Sensors. IEEE Sens. J. 2023, 23, 9909–9916. [Google Scholar] [CrossRef]
- Bhardwaj, S.; Mittholiya, K.; Bhatnagar, A.; Bernard, R.; Dharmadhikari, J.A.; Mathur, D.; Dharmadhikari, A.K. Inscription of type I and depressed cladding waveguides in lithium niobate using a femtosecond laser. Appl. Opt. 2017, 56, 5692–5697. [Google Scholar] [CrossRef]
- Junod, A.; Roulet, C. Heat capacity and thermal conductivity of bismuth germanate (Bi4Ge3O12). J. Cryst. Growth 1984, 69, 138–140. [Google Scholar] [CrossRef]
- He, R.; Hernández-Palmero, I.; Romero, C.; de Aldana, J.R.V.; Chen, F. Three-dimensional dielectric crystalline waveguide beam splitters in mid-infrared band by direct femtosecond laser writing. Opt. Express 2014, 22, 31293–31298. [Google Scholar] [CrossRef] [PubMed]
- Agorastou, Z.; Michailidis, A.; Lemonou, A.; Themeli, R.; Noulis, T.; Siskos, S. Integrated Filter Design for Analog Field Mill Sensor Interface. Sensors 2023, 23, 3688. [Google Scholar] [CrossRef] [PubMed]
- Xu, Q.; Chen, K.; Shen, X.; Li, W.; Zhao, Y.; Huang, Y. Comparison of the Normalized Maximum Field Strength Using E-Field Probe and VNA Methods. IEEE Antennas Wirel. Propag. Lett. 2019, 18, 2552–2556. [Google Scholar] [CrossRef]
- Halder, A.; Attaran, A.; William, B. Electric Field Probe Used for Gradient Coil-Induced Field Measurements During Medical Device Testing: Design, Calibration, and Validation. IEEE Trans. Antennas Propag. 2020, 68, 4029–4037. [Google Scholar] [CrossRef]















| repetition frequency: 1 kHz | |
| 0.5 mm/s | ![]() |
| repetition frequency: 10 kHz | |
| 0.5 mm/s | ![]() |
| 2 mm/s | ![]() |
| repetition frequency: 100 kHz | |
| 0.5 mm/s | ![]() |
| 2 mm/s | ![]() |
| Repetition Frequency | Scan Speed | Depth | Average Power | Top View of Waveguide Topography |
|---|---|---|---|---|
| 1 kHz | 0.5 mm/s | 60 μm | 2.27 mw | ![]() |
| 110 μm | ![]() | |||
| 10 kHz | 0.5 mm/s | 60 μm | 0.71 mw | ![]() |
| 44 mw | ![]() | |||
| 100 kHz | 2 mm/s | 60 μm | 6.21 mw | ![]() |
| repetition frequency: 100 kHz | ||
| 0.1 mm/s | 2 mm/s | 3 mm/s |
![]() | ![]() | ![]() |
| repetition frequency: 200 kHz | ||
| 0.1 mm/s | 2 mm/s | 3 mm/s |
![]() | ![]() | ![]() |
| End View | Top View | |
|---|---|---|
| 2 μm | ![]() | ![]() |
| 1 μm | ![]() | ![]() |
Disclaimer/Publisher’s Note: The statements, opinions and data contained in all publications are solely those of the individual author(s) and contributor(s) and not of MDPI and/or the editor(s). MDPI and/or the editor(s) disclaim responsibility for any injury to people or property resulting from any ideas, methods, instructions or products referred to in the content. |
© 2024 by the authors. Licensee MDPI, Basel, Switzerland. This article is an open access article distributed under the terms and conditions of the Creative Commons Attribution (CC BY) license (https://creativecommons.org/licenses/by/4.0/).
Share and Cite
Wang, J.; Song, Y.; Song, X.; Zhang, W.; Yang, J.; Xuan, Z. Integrated Optical Waveguide Electric Field Sensors Based on Bismuth Germanate. Sensors 2024, 24, 5570. https://doi.org/10.3390/s24175570
Wang J, Song Y, Song X, Zhang W, Yang J, Xuan Z. Integrated Optical Waveguide Electric Field Sensors Based on Bismuth Germanate. Sensors. 2024; 24(17):5570. https://doi.org/10.3390/s24175570
Chicago/Turabian StyleWang, Jin, Yilin Song, Xuefei Song, Wei Zhang, Junqi Yang, and Zhi Xuan. 2024. "Integrated Optical Waveguide Electric Field Sensors Based on Bismuth Germanate" Sensors 24, no. 17: 5570. https://doi.org/10.3390/s24175570
APA StyleWang, J., Song, Y., Song, X., Zhang, W., Yang, J., & Xuan, Z. (2024). Integrated Optical Waveguide Electric Field Sensors Based on Bismuth Germanate. Sensors, 24(17), 5570. https://doi.org/10.3390/s24175570





















