A Symmetrical Quasi-Synchronous Step-Transition Folded Waveguide Slow Wave Structure for 650 GHz Traveling Wave Tubes
Abstract
1. Introduction
2. Scheme of SQSST-FW SWS
3. Analysis of the Oscillations
3.1. 1-D Characteristic Equation for BWOs
3.2. The Starting Length of the Backward-Wave Oscillation
4. Starting Length in a Periodic SWS
4.1. Illumination of the Sample SWS
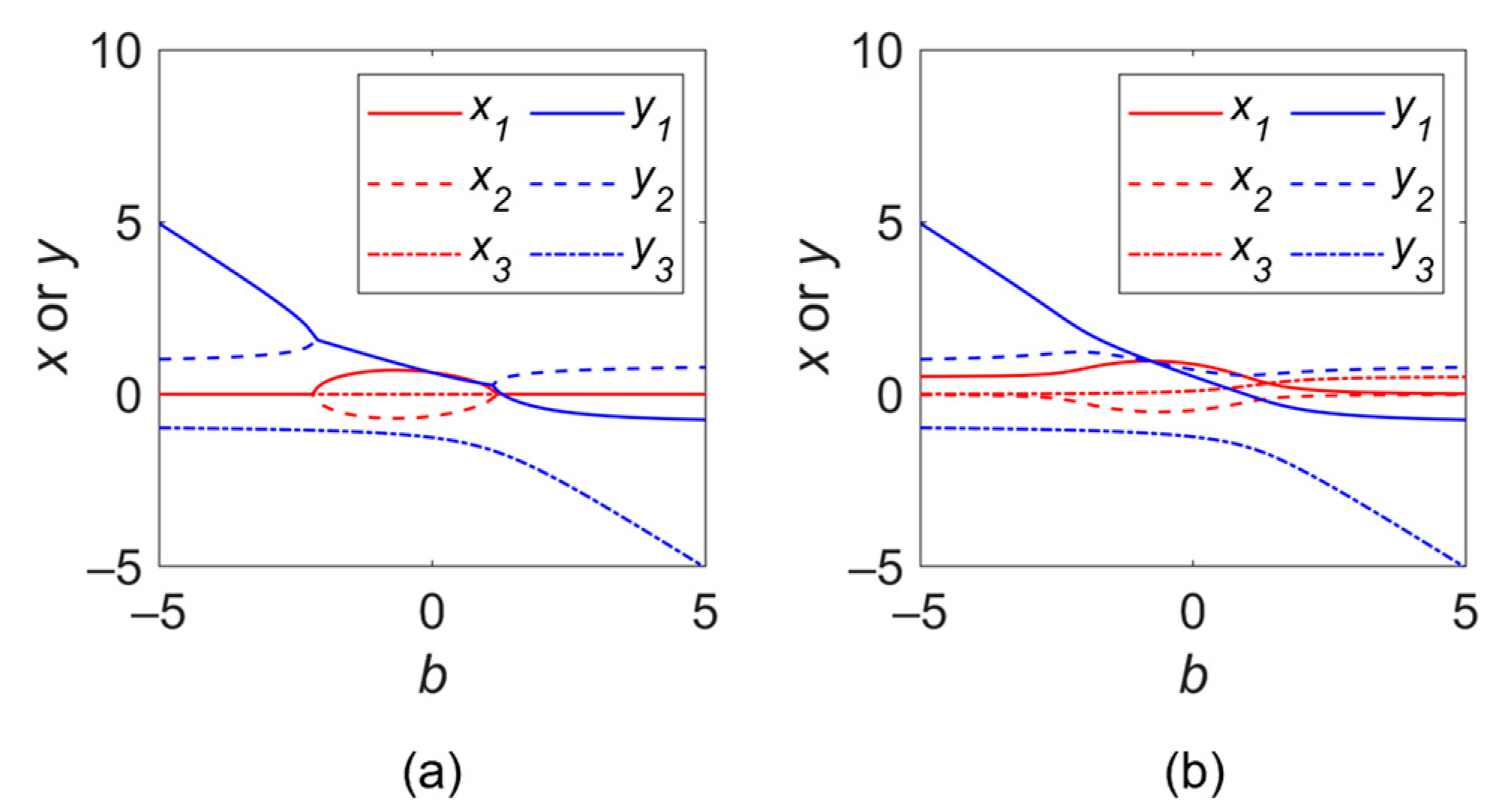
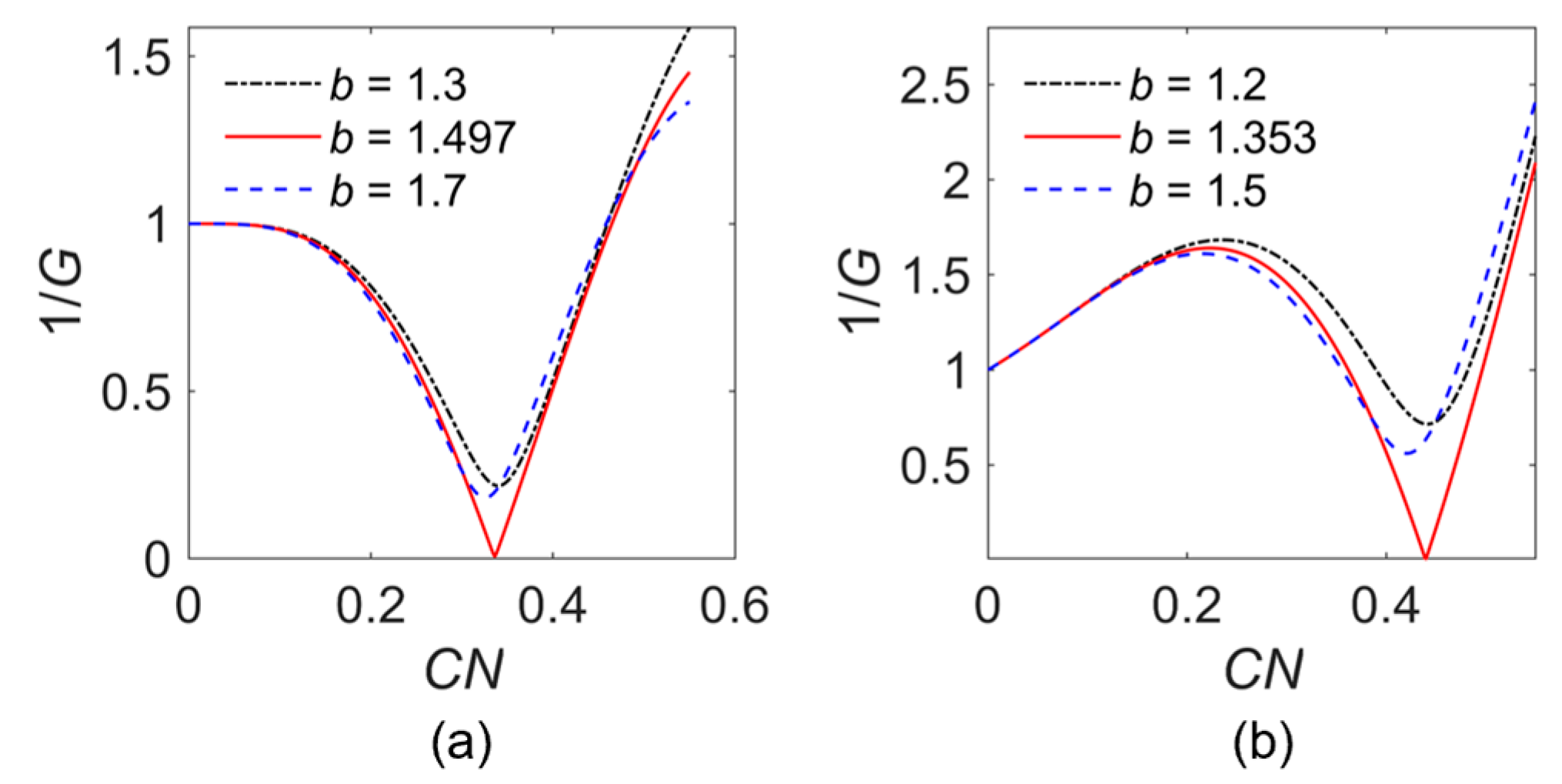
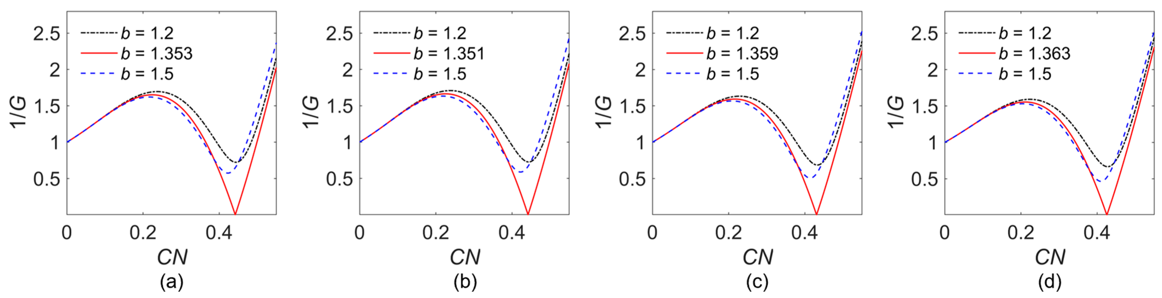
4.2. Numerical Solutions of the Characteristic Equation
4.3. Calculated Starting Length Using the Small-Signal Equation
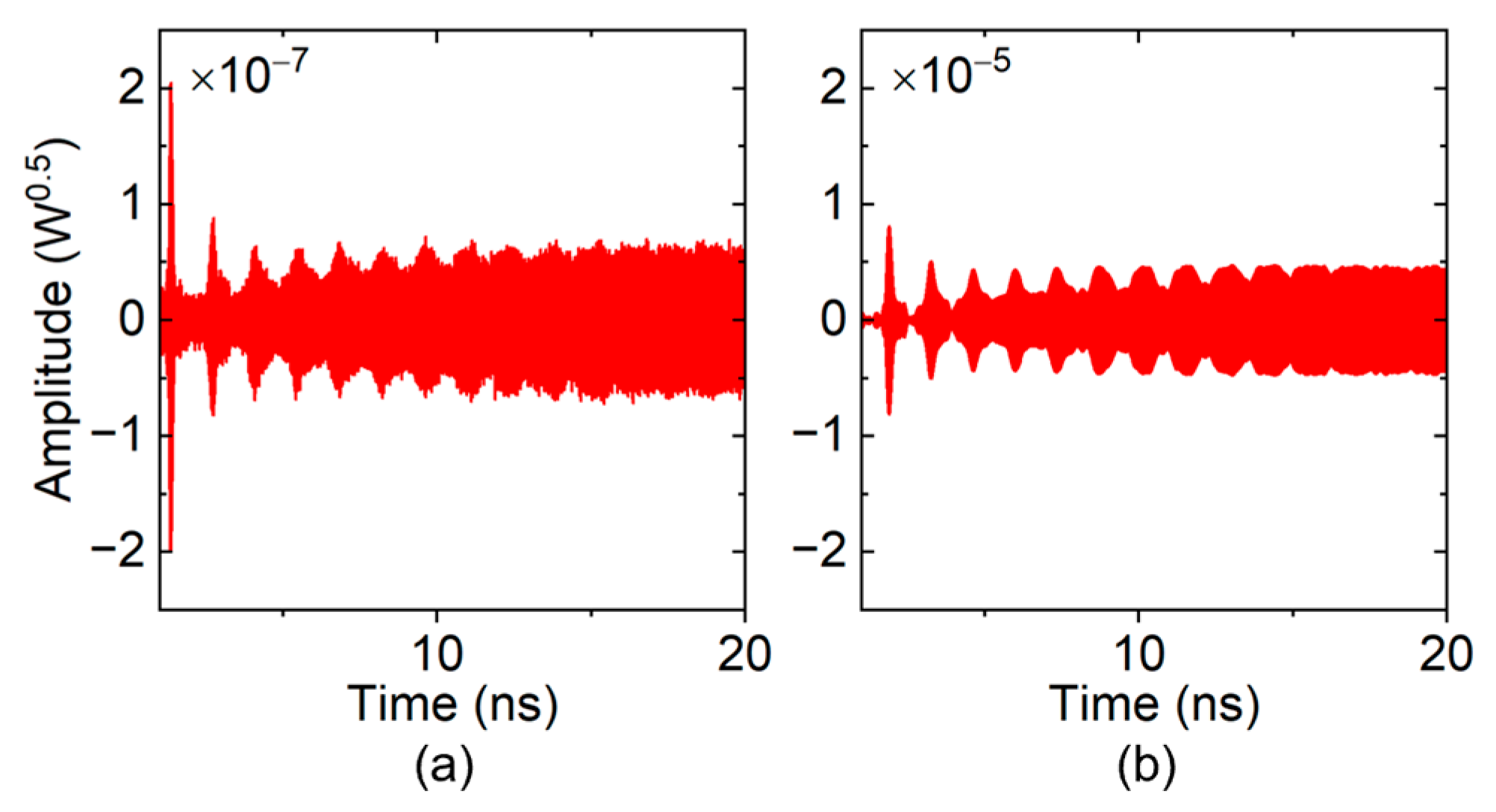
4.4. Starting Length by PIC Simulation
4.5. Comparison between Analytical and Simulation Solutions
5. Performance Simulation
5.1. Simulation of the Dispersion Characteristics
5.2. Starting Lengths in Segments 2–5
5.3. Overall Structure Design and Transmission Characteristics
5.4. PIC Simulation
6. Discussion
7. Conclusions
Author Contributions
Funding
Institutional Review Board Statement
Informed Consent Statement
Data Availability Statement
Conflicts of Interest
References
- Kanno, A.; Sekine, N.; Kasamatsu, A.; Yamamoto, N.; Yoshida, M.; Masuda, N. Terahertz-Wave Communication System Using a Traveling-Wave Tube Amplifier. In Proceedings of the 2018 Progress in Electromagnetics Research Symposium (PIERS-Toyama), Toyama, Japan, 1–4 August 2018. [Google Scholar]
- Lin, C.; Li, G.Y.L. Terahertz Communications: An Array-of-Subarrays Solution. IEEE Commun. Mag. 2016, 54, 124–131. [Google Scholar] [CrossRef]
- Song, R.; Cui, D.; Li, Y.; Zhang, N.; Lv, Q.; Wang, C. The Progress of Terahertz Wave Source in Communication. In Proceedings of the 2016 IEEE 9th UK-Europe-China Workshop on Millimetre Waves and Terahertz Technologies (UCMMT), Qingdao, China, 5–7 September 2016; pp. 64–66. [Google Scholar]
- Zhou, T.; Zhang, Y.; Zhang, B.; Zeng, H.; Tan, Z.; Zhang, X.; Wang, L.; Chen, Z.; Cao, J.; Song, K.; et al. Terahertz Direct Modulation Techniques for High-Speed Communication Systems. China Commun. 2021, 18, 221–244. [Google Scholar] [CrossRef]
- Hu, Q.; Wei, X.; Pang, Y.; Lang, L. Advances on Terahertz Single-Pixel Imaging. Front. Phys. 2022, 10, 982640. [Google Scholar] [CrossRef]
- She, R.; Liu, W.; Lu, Y.; Zhou, Z.; Li, G. Fourier Single-Pixel Imaging in the Terahertz Regime. Appl. Phys. Lett. 2019, 115, 021101. [Google Scholar] [CrossRef]
- Shen, Y.C.; Gan, L.; Stringer, M.; Burnett, A.; Tych, K.; Shen, H.; Cunningham, J.E.; Parrott, E.P.J.; Zeitler, J.A.; Gladden, L.F.; et al. Terahertz Pulsed Spectroscopic Imaging Using Optimized Binary Masks. Appl. Phys. Lett. 2009, 95, 231112. [Google Scholar] [CrossRef]
- Jiao, Y.; Lou, J.; Ma, Z.; Cong, L.; Xu, X.; Zhang, B.; Li, D.; Yu, Y.; Sun, W.; Yan, Y.; et al. Photoactive Terahertz Metasurfaces for Ultrafast Switchable Sensing of Colorectal Cells. Mater. Horiz. 2022, 9, 2984–2992. [Google Scholar] [CrossRef] [PubMed]
- Wang, P.; Lou, J.; Yu, Y.; Sun, L.; Sun, L.; Fang, G.; Chang, C. An Ultra-Sensitive Metasurface Biosensor for Instant Cancer Detection Based on Terahertz Spectra. Nano Res. 2023, 16, 7304–7311. [Google Scholar] [CrossRef]
- Wang, R.; Xu, L.; Huang, L.; Zhang, X.; Ruan, H.; Yang, X.; Lou, J.; Chang, C.; Du, X. Ultrasensitive Terahertz Biodetection Enabled by Quasi-Bic-Based Metasensors. Small 2023, 19, 2301165. [Google Scholar] [CrossRef] [PubMed]
- Hu, P.; Lei, W.; Jiang, Y.; Huang, Y.; Song, R.; Chen, H.; Dong, Y. Development of a 0.32-THz Folded Waveguide Traveling Wave Tube. IEEE Trans. Electron Devices 2018, 65, 2164–2169. [Google Scholar] [CrossRef]
- Hu, P.; Lei, W.; Jiang, Y.; Huang, Y.; Song, R.; Chen, H.; Dong, Y. Demonstration of a Watt-Level Traveling Wave Tube Amplifier Operating above 0.3 THz. IEEE Electron Device Lett. 2019, 40, 973–976. [Google Scholar] [CrossRef]
- Liu, W.; Zhang, Z.; Liu, W.; Jin, Z.; Zhao, K.; Zhao, C.; Guo, X.; Zhang, Z.; Yin, S.; Zhang, Z. Demonstration of a High-Power and Wide-Bandwidth G-Band Traveling Wave Tube with Cascade Amplification. IEEE Electron Device Lett. 2021, 42, 593–596. [Google Scholar] [CrossRef]
- Pan, P.; Zhang, L.; Cui, H.; Feng, J. Terahertz Power Module Based on 0.34 THz Traveling Wave Tube. IEEE Electron Device Lett. 2022, 43, 816–819. [Google Scholar] [CrossRef]
- Pan, P.; Zheng, Y.; Li, Y.; Song, X.; Feng, Z.; Feng, J.; Britt, R.D.; Luhmann, N.C. Demonstration of a 263-GHz Traveling Wave Tube for Electron Paramagnetic Resonance Spectroscopy. IEEE Trans. Electron Devices 2023, 70, 5897–5902. [Google Scholar] [CrossRef] [PubMed]
- Tucek, J.C.; Basten, M.A.; Gallagher, D.A.; Kreischer, K.E.; Lai, R.; Radisic, V.; Leong, K.; Mihailovich, R. A 100 Mw, 0.670 THz Power Module. In Proceedings of the International Conference on Vacuum Electronics, Monterey, CA, USA, 24–26 April 2012. [Google Scholar]
- Tucek, J.C.; Basten, M.A.; Gallagher, D.A.; Kreischer, K.E. 0.850 THz Vacuum Electronic Power Amplifier. In Proceedings of the IEEE International Vacuum Electronics Conference, Monterey, CA, USA, 22–24 April 2014. [Google Scholar]
- Tucek, J.C.; Basten, M.A.; Gallagher, D.A.; Kreischer, K.E. Operation of a Compact 1.03 THz Power Amplifier. In Proceedings of the 2016 IEEE International Vacuum Electronics Conference (IVEC), Monterey, CA, USA, 19–21 April 2016. [Google Scholar]
- Xu, D.; Wang, S.; Wang, Z.; Shao, W.; He, T.; Wang, H.; Tang, T.; Gong, H.; Lu, Z.; Duan, Z.; et al. Theory and Experiment of High-Gain Modified Angular Log-Periodic Folded Waveguide Slow Wave Structure. IEEE Electron Device Lett. 2020, 41, 1237–1240. [Google Scholar] [CrossRef]
- Xu, D.; Wang, S.; Lu, C.; He, T.; Wang, Z.; Lu, Z.; Gong, H.; Duan, Z.; Gong, Y. Demonstration of a Modified Angular Log-Periodic Folded Waveguide Traveling Wave Tube at Ka-Band. IEEE Trans. Electron Devices 2023, 70, 1323–1329. [Google Scholar] [CrossRef]
- Liu, S. Introduction to Microwave Electronics; National Defense Industry Press: Beijing, China, 1985. (In Chinese) [Google Scholar]
- Cst Studio Suite. Available online: https://www.3ds.com/products-services/simulia/products/cst-studio-suite (accessed on 21 November 2022).














| Symbol | Value (mm) | Symbol | Value (mm) |
|---|---|---|---|
| p1 | 0.103 | h1 | 0.105 |
| p2 | 0.10403 | h2 | 0.109 |
| p3 | 0.10478 | h3 | 0.113 |
| p4 | 0.10578 | h4 | 0.118 |
| p5 | 0.10682 | h5 | 0.123 |
| Segment | Frequency (GHz) | Interaction Impedance (Ω) | Loss Parameter d |
|---|---|---|---|
| 2 | 841.8 | 1.5 | 0.511 |
| 3 | 833.9 | 1.6 | 0.516 |
| 4 | 824.5 | 1.8 | 0.489 |
| 5 | 816.2 | 1.9 | 0.473 |
Disclaimer/Publisher’s Note: The statements, opinions and data contained in all publications are solely those of the individual author(s) and contributor(s) and not of MDPI and/or the editor(s). MDPI and/or the editor(s) disclaim responsibility for any injury to people or property resulting from any ideas, methods, instructions or products referred to in the content. |
© 2024 by the authors. Licensee MDPI, Basel, Switzerland. This article is an open access article distributed under the terms and conditions of the Creative Commons Attribution (CC BY) license (https://creativecommons.org/licenses/by/4.0/).
Share and Cite
Xu, D.; He, T.; Zheng, Y.; Lu, Z.; Gong, H.; Wang, Z.; Duan, Z.; Wang, S. A Symmetrical Quasi-Synchronous Step-Transition Folded Waveguide Slow Wave Structure for 650 GHz Traveling Wave Tubes. Sensors 2024, 24, 5289. https://doi.org/10.3390/s24165289
Xu D, He T, Zheng Y, Lu Z, Gong H, Wang Z, Duan Z, Wang S. A Symmetrical Quasi-Synchronous Step-Transition Folded Waveguide Slow Wave Structure for 650 GHz Traveling Wave Tubes. Sensors. 2024; 24(16):5289. https://doi.org/10.3390/s24165289
Chicago/Turabian StyleXu, Duo, Tenglong He, Yuan Zheng, Zhigang Lu, Huarong Gong, Zhanliang Wang, Zhaoyun Duan, and Shaomeng Wang. 2024. "A Symmetrical Quasi-Synchronous Step-Transition Folded Waveguide Slow Wave Structure for 650 GHz Traveling Wave Tubes" Sensors 24, no. 16: 5289. https://doi.org/10.3390/s24165289
APA StyleXu, D., He, T., Zheng, Y., Lu, Z., Gong, H., Wang, Z., Duan, Z., & Wang, S. (2024). A Symmetrical Quasi-Synchronous Step-Transition Folded Waveguide Slow Wave Structure for 650 GHz Traveling Wave Tubes. Sensors, 24(16), 5289. https://doi.org/10.3390/s24165289

