Laser-Induced Interference to Infrared Detector Using Continuous Wave and Short-Pulse Lasers
Abstract
1. Introduction
2. Experimental Set-Up
3. Results and Discussion
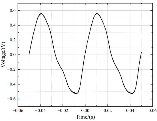
3.1. Transient Interference Induced by Nanosecond Pulsed Laser
3.2. Sustained Interference Induced by Both Pulsed Laser and CW Laser
4. Conclusions
Author Contributions
Funding
Institutional Review Board Statement
Informed Consent Statement
Data Availability Statement
Acknowledgments
Conflicts of Interest
Nomenclature
| CCD | Charge Coupled Device |
| CW | Continuous Wave |
| IROES | Infrared Optoelectronic System |
| MPD | Matrix Photodetector |
| IRFPA | Infrared Focal Plane Array |
References
- Fick, W.; Gassmann, K.U.; Haas, L.D.; Haiml, M.; Hanna, S.; Hübner, D.; Thöt, R. Infrared detectors for space applications. Adv. Opt. Technol. 2013, 2, 407–421. [Google Scholar] [CrossRef]
- Rogalski, A.; Chrzanowski, K. Infrared devices and techniques. In Handbook of Optoelectronics, 1st ed.; CRC Press: Boca Raton, FL, USA, 2017; pp. 633–686. [Google Scholar]
- De Iacovo, A.; Venettacci, C.; Colace, L.; Scopa, L.; Foglia, S. High responsivity fire detectors based on PbS colloidal quantum dot photoconductors. IEEE Photonics Technol. Lett. 2017, 29, 703–706. [Google Scholar] [CrossRef]
- Rogalski, A. History of infrared detectors. Opto-Electron. Rev. 2012, 20, 279–308. [Google Scholar] [CrossRef]
- Smith, D.L.; McGill, T.C.; Schulman, J.N. Advantages of the HgTe-CdTe superlattice as an infrared detector material. Appl. Phys. Lett. 1983, 43, 180–182. [Google Scholar] [CrossRef]
- Wen, M.; Wei, L.; Zhuang, X.; He, D.; Wang, S.; Wang, Y. High-sensitivity short-wave infrared technology for thermal imaging. Infrared Phys. Technol. 2018, 95, 93–99. [Google Scholar] [CrossRef]
- Bhan, R.K.; Dhar, V. Recent infrared detector technologies, applications, trends and development of HgCdTe based cooled infrared focal plane arrays and their characterization. Opto-Electron. Rev. 2019, 27, 174–193. [Google Scholar] [CrossRef]
- Zhang, Y.; Zheng, C.; Liu, Y.; Wang, Y.; Xu, Y.; Shao, J. Damage Mechanism of HgCdTe Focal Plane Array Detector Irradiated Using Mid-Infrared Pulse Laser. Sensors 2023, 23, 9370. [Google Scholar] [CrossRef] [PubMed]
- Pavlov, N.I.I.; Rezunkov, Y.A. Statistical characteristics of laser interference and its effect on IR optoelectronic observation systems. Quantum Electron. 2020, 50, 1160. [Google Scholar] [CrossRef]
- Demos, S.G.; Staggs, M.; Minoshima, K.; Fujimoto, J. Characterization of laser induced damage sites in optical components. Opt. Express 2022, 10, 1444–1450. [Google Scholar] [CrossRef]
- Bartoli, F.; Esterowitz, L.; Kruer, M.; Allen, R. Irreversible laser damage in IR detector materials. Appl. Opt. 1977, 16, 2934–2937. [Google Scholar] [CrossRef]
- Pavlov, N.I.; Rezunkov, Y.A. Influence of laser interference on the detection capabilities of an infrared optoelecronic surveillance system. J. Opt. Technol. 2021, 88, 25–29. [Google Scholar] [CrossRef]
- Wang, K.; Yao, C.; Wu, Y.; Wang, X.; Wang, Y.; Li, P. Laser-interfered studies in HgCdTe infrared focal plane array detector by high-repetition-rate mid-infrared supercontinuum fiber laser. Opt. Laser Technol. 2023, 163, 109433. [Google Scholar] [CrossRef]
- Johnson, S.M.; Buell, A.A.; Vilela, M.F.; Peterson, J.M.; Varesi, J.B.; Newton, M.D.; Nathan, V. HgCdTe/Si materials for long wavelength infrared detectors. J. Electron. Mater. 2004, 33, 526–530. [Google Scholar] [CrossRef]
- Maghrabi, A.; Clay, R.; Wild, N.; Dawson, B. Design and development of a simple infrared monitor for cloud detection. Energy Convers. Manag. 2009, 11, 2732–2737. [Google Scholar] [CrossRef]
- Yin, X.; Zhang, C.; Guo, Y.; Yang, Y.; Xing, Y.; Que, W. PbS QD-based photodetectors: Future-oriented near-infrared detection technology. J. Mater. Chem. C 2021, 9, 417–438. [Google Scholar] [CrossRef]
- Yuan, Y.; Liu, C. Experimental study of CW-COIL irradiation on Ge-PbS detector. Opt. Technol. 1998, 5, 15–18. [Google Scholar]
- Wang, X.; Ye, Q.; Dong, X.; Lei, W.; Lv, T.; Guo, Y.; Hu, Y. Experimental study of PbS detector irradiated by 2.79 μm mid-infrared laser. J. Infrared Millim. Waves 2022, 41, 354–361. [Google Scholar]
- Rogalski, A. Infrared detectors: An overview. Infrared Phys. Technol. 2002, 43, 187–210. [Google Scholar] [CrossRef]
- Kinch, M.A. Fundamental physics of infrared detector materials. J. Electron. 2000, 29, 809–817. [Google Scholar] [CrossRef]
- Tran, C.D. Principles, instrumentation, and applications of infrared multispectral imaging, an overview. Anal. Lett. 2005, 38, 735–752. [Google Scholar] [CrossRef]
- Stoltzfus, J.C. Logistic regression: A brief primer. Acad. Emerg. Med. 2011, 18, 1099–1104. [Google Scholar] [CrossRef] [PubMed]
- Westgate, C.; James, D. Visible-band nanosecond pulsed laser damage thresholds of silicon 2D imaging arrays. Sensors 2022, 22, 2526. [Google Scholar] [CrossRef] [PubMed]








| Parameter | Value |
|---|---|
| Time constant (μs) | ≤400 |
| Peak wavelength (μm) | ≥2.1 |
| Frequency response range (Hz) | 100–1000 |
| Detection wavelength range (μm) | 0.8–3.2 |
| Magnification power | ×1, ×10, ×100 |
| Signal output mode | Voltage |
| Output signal polarity | +(P) |
| CW Laser Power Density (W/cm2) | Signal Amplitude Attenuation Rate (%) | Transient Interference Signal Attenuation Rate (%) |
|---|---|---|
| 1.0 | 3.57 | 81.82 |
| 2.0 | 10.71 | 88.67 |
| 3.1 | 25.00 | 90.90 |
| 4.1 | 49.42 | 93.18 |
| 5.1 | 94.64 | 95.45 |
| 6.1 | 96.43 | 97.73 |
Disclaimer/Publisher’s Note: The statements, opinions and data contained in all publications are solely those of the individual author(s) and contributor(s) and not of MDPI and/or the editor(s). MDPI and/or the editor(s) disclaim responsibility for any injury to people or property resulting from any ideas, methods, instructions or products referred to in the content. |
© 2024 by the authors. Licensee MDPI, Basel, Switzerland. This article is an open access article distributed under the terms and conditions of the Creative Commons Attribution (CC BY) license (https://creativecommons.org/licenses/by/4.0/).
Share and Cite
Ma, Y.; Zhou, W.; Chang, H.; Jian, Z. Laser-Induced Interference to Infrared Detector Using Continuous Wave and Short-Pulse Lasers. Sensors 2024, 24, 4885. https://doi.org/10.3390/s24154885
Ma Y, Zhou W, Chang H, Jian Z. Laser-Induced Interference to Infrared Detector Using Continuous Wave and Short-Pulse Lasers. Sensors. 2024; 24(15):4885. https://doi.org/10.3390/s24154885
Chicago/Turabian StyleMa, Yingjie, Weijing Zhou, Hao Chang, and Zhilong Jian. 2024. "Laser-Induced Interference to Infrared Detector Using Continuous Wave and Short-Pulse Lasers" Sensors 24, no. 15: 4885. https://doi.org/10.3390/s24154885
APA StyleMa, Y., Zhou, W., Chang, H., & Jian, Z. (2024). Laser-Induced Interference to Infrared Detector Using Continuous Wave and Short-Pulse Lasers. Sensors, 24(15), 4885. https://doi.org/10.3390/s24154885

