Acute Response of Different High-Intensity Interval Training Protocols on Cardiac Auto-Regulation Using Wearable Device
Abstract
1. Introduction
2. Materials and Methods
2.1. Participants
2.2. Experimental Design
2.3. Anthropometric and Body Composition
2.4. Heart Rate Variability (HRV)
2.5. Vascular Function
2.6. HIIT Protocol
2.7. Statistical Analysis
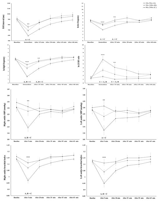
3. Results
4. Discussion
5. Conclusions
Funding
Institutional Review Board Statement
Informed Consent Statement
Data Availability Statement
Acknowledgments
Conflicts of Interest
References
- Johnson, N.P.; Gould, K.L.; De Bruyne, B. Autoregulation of Coronary Blood Supply in Response to Demand: JACC Review Topic of the Week. J. Am. Coll. Cardiol. 2021, 77, 2335–2345. [Google Scholar] [CrossRef]
- Fedorowski, A.; Olsén, M.F.; Nikesjö, F.; Janson, C.; Bruchfeld, J.; Lerm, M.; Hedman, K. Cardiorespiratory dysautonomia in post-COVID-19 condition: Manifestations, mechanisms and management. J. Intern. Med. 2023, 294, 548–562. [Google Scholar] [CrossRef]
- Scott, E.E.; LoTemplio, S.B.; McDonnell, A.S.; McNay, G.D.; Greenberg, K.; McKinney, T.; Uchino, B.N.; Strayer, D.L. The autonomic nervous system in its natural environment: Immersion in nature is associated with changes in heart rate and heart rate variability. Psychophysiology 2021, 58, e13698. [Google Scholar] [CrossRef]
- Weggen, J.B.; Darling, A.M.; Autler, A.S.; Hogwood, A.C.; Decker, K.P.; Imthurn, B.; Tuzzolo, G.M.; Garten, R.S. Impact of acute antioxidant supplementation on vascular function and autonomic nervous system modulation in young adults with PTSD. Am. J. Physiol. Regul. Integr. Comp. Physiol. 2021, 321, R49–R61. [Google Scholar] [CrossRef]
- Carnevale, D. Neuroimmune axis of cardiovascular control: Mechanisms and therapeutic implications. Nat. Rev. Cardiol. 2022, 19, 379–394. [Google Scholar] [CrossRef] [PubMed]
- Esler, M. The sympathetic nervous system through the ages: From Thomas Willis to resistant hypertension. Exp. Physiol. 2011, 96, 611–622. [Google Scholar] [CrossRef] [PubMed]
- Charkoudian, N.; Rabbitts, J.A. Sympathetic neural mechanisms in human cardiovascular health and disease. Mayo Clin. Proc. 2009, 84, 822–830. [Google Scholar] [CrossRef]
- El-Malahi, O.; Mohajeri, D.; Mincu, R.; Bäuerle, A.; Rothenaicher, K.; Knuschke, R.; Rammos, C.; Rassaf, T.; Lortz, J. Beneficial impacts of physical activity on heart rate variability: A systematic review and meta-analysis. PLoS ONE 2024, 19, e0299793. [Google Scholar] [CrossRef] [PubMed]
- Browning, K.N.; Travagli, R.A. Central nervous system control of gastrointestinal motility and secretion and modulation of gastrointestinal functions. Compr. Physiol. 2014, 4, 1339–1368. [Google Scholar] [CrossRef]
- Herring, N.; Kalla, M.; Paterson, D.J. The autonomic nervous system and cardiac arrhythmias: Current concepts and emerging therapies. Nat. Rev. Cardiol. 2019, 16, 707–726. [Google Scholar] [CrossRef]
- Tucker, J.A.L.; Bornath, D.P.D.; McCarthy, S.F.; Hazell, T.J. Leptin and energy balance: Exploring Leptin’s role in the regulation of energy intake and energy expenditure. Nutr. Neurosci. 2024, 27, 87–95. [Google Scholar] [CrossRef] [PubMed]
- Speer, K.E.; Naumovski, N.; McKune, A.J. Heart rate variability to track autonomic nervous system health in young children: Effects of physical activity and cardiometabolic risk factors. Physiol. Behav. 2024, 281, 114576. [Google Scholar] [CrossRef] [PubMed]
- Li, K.; Rüdiger, H.; Ziemssen, T. Spectral Analysis of Heart Rate Variability: Time Window Matters. Front. Neurol. 2019, 10, 545. [Google Scholar] [CrossRef] [PubMed]
- Shaffer, F.; Ginsberg, J.P. An Overview of Heart Rate Variability Metrics and Norms. Front. Public Health 2017, 5, 258. [Google Scholar] [CrossRef]
- Yue, X.; Chen, L.; Shi, Y.; Suo, Y.; Liao, S.; Cheang, I.; Gao, R.; Zhu, X.; Zhou, Y.; Yao, W.; et al. Comparison of arterial stiffness indices measured by pulse wave velocity and pulse wave analysis for predicting cardiovascular and all-cause mortality in a Chinese population. Hypertens. Res. 2024, 47, 767–777. [Google Scholar] [CrossRef]
- Cheng, Y.; Chen, J.; Zhao, Q.; Zhang, J.; Gao, J. Association of carotid wall shear stress measured by vector flow mapping technique with ba-PWV: A pilot study. Front. Cardiovasc. Med. 2023, 10, 1293106. [Google Scholar] [CrossRef] [PubMed]
- Lee, S.J.; Avolio, A.; Seo, D.C.; Kim, B.S.; Kang, J.H.; Lee, M.Y.; Sung, K.C. Relationship Between Brachial-Ankle Pulse Wave Velocity and Incident Hypertension According to 2017 ACC/AHA High Blood Pressure Guidelines. J. Am. Heart Assoc. 2019, 8, e013019. [Google Scholar] [CrossRef] [PubMed]
- Ohkuma, T.; Ninomiya, T.; Tomiyama, H.; Kario, K.; Hoshide, S.; Kita, Y.; Inoguchi, T.; Maeda, Y.; Kohara, K.; Tabara, Y.; et al. Brachial-Ankle Pulse Wave Velocity and the Risk Prediction of Cardiovascular Disease: An Individual Participant Data Meta-Analysis. Hypertension 2017, 69, 1045–1052. [Google Scholar] [CrossRef]
- Goldenberg, I.; Goldkorn, R.; Shlomo, N.; Einhorn, M.; Levitan, J.; Kuperstein, R.; Klempfner, R.; Johnson, B. Heart Rate Variability for Risk Assessment of Myocardial Ischemia in Patients without Known Coronary Artery Disease: The HRV-DETECT (Heart Rate Variability for the Detection of Myocardial Ischemia) Study. J. Am. Heart Assoc. 2019, 8, e014540. [Google Scholar] [CrossRef]
- Gouin, J.P.; Thayer, J.F.; Deschênes, S.S.; MacNeil, S.; Booij, L. Implicit Affect, Heart Rate Variability, and the Metabolic Syndrome. Psychosom. Med. 2021, 83, 24–32. [Google Scholar] [CrossRef]
- Gillen, J.B.; Gibala, M.J. Is high-intensity interval training a time-efficient exercise strategy to improve health and fitness? Appl. Physiol. Nutr. Metab. 2014, 39, 409–412. [Google Scholar] [CrossRef] [PubMed]
- Batacan, R.B., Jr.; Duncan, M.J.; Dalbo, V.J.; Tucker, P.S.; Fenning, A.S. Effects of high-intensity interval training on cardiometabolic health: A systematic review and meta-analysis of intervention studies. Br. J. Sports Med. 2017, 51, 494–503. [Google Scholar] [CrossRef]
- Gaia, J.W.P.; Schuch, F.B.; Ferreira, R.W.; Souza, E.L.; Ferreira, V.M.S.; Pires, D.A. Effects of high-intensity interval training on depressive and anxiety symptoms in healthy individuals: A systematic review and meta-analysis of randomized clinical trials. Scand. J. Med. Sci. Sports 2024, 34, e14618. [Google Scholar] [CrossRef]
- Gibala, M.J.; Little, J.P.; Macdonald, M.J.; Hawley, J.A. Physiological adaptations to low-volume, high-intensity interval training in health and disease. J. Physiol. 2012, 590, 1077–1084. [Google Scholar] [CrossRef] [PubMed]
- Joukar, S.; Rajizadeh, M.A.; Bejeshk, M.A.; Alavi, S.S.; Bagheri, F.; Rami, M.; Khoramipour, K. ATP releasing channels and the ameliorative effects of high intensity interval training on diabetic heart: A multifaceted analysis. Sci. Rep. 2024, 14, 7113. [Google Scholar] [CrossRef] [PubMed]
- Alansare, A.; Alford, K.; Lee, S.; Church, T.; Jung, H.C. The Effects of High-Intensity Interval Training vs. Moderate-Intensity Continuous Training on Heart Rate Variability in Physically Inactive Adults. Int. J. Environ. Res. Public Health 2018, 15, 1508. [Google Scholar] [CrossRef]
- Gripp, F.; Nava, R.C.; Cassilhas, R.C.; Esteves, E.A.; Magalhães, C.O.D.; Dias-Peixoto, M.F.; de Castro Magalhães, F.; Amorim, F.T. HIIT is superior than MICT on cardiometabolic health during training and detraining. Eur. J. Appl. Physiol. 2021, 121, 159–172. [Google Scholar] [CrossRef]
- Seo, M.W.; Lee, S.; Jung, H.C. Impact of supra-maximal interval training vs. high-intensity interval training on cardiac auto-regulation response in physically active adults. Eur. J. Appl. Physiol. 2024, 124, 1771–1780. [Google Scholar] [CrossRef] [PubMed]
- Besnier, F.; Labrunée, M.; Richard, L.; Faggianelli, F.; Kerros, H.; Soukarié, L.; Bousquet, M.; Garcia, J.L.; Pathak, A.; Gales, C.; et al. Short-term effects of a 3-week interval training program on heart rate variability in chronic heart failure. A randomised controlled trial. Ann. Phys. Rehabil. Med. 2019, 62, 321–328. [Google Scholar] [CrossRef] [PubMed]
- Navarro-Lomas, G.; Plaza-Florido, A.; De-la, O.A.; Castillo, M.J.; Amaro-Gahete, F.J. Fit-Fat Index is better associated with heart rate variability compared to fitness and fatness alone as indicators of cardiometabolic human health. Am. J. Hum. Biol. 2023, 35, e23945. [Google Scholar] [CrossRef]
- Montoye, A.H.K.; Clevenger, K.A.; Pfeiffer, K.A.; Nelson, M.B.; Bock, J.M.; Imboden, M.T.; Kaminsky, L.A. Development of cut-points for determining activity intensity from a wrist-worn ActiGraph accelerometer in free-living adults. J. Sports Sci. 2020, 38, 2569–2578. [Google Scholar] [CrossRef]
- Thomas, B.L.; Claassen, N.; Becker, P.; Viljoen, M. Validity of Commonly Used Heart Rate Variability Markers of Autonomic Nervous System Function. Neuropsychobiology 2019, 78, 14–26. [Google Scholar] [CrossRef] [PubMed]
- Syed, S.; Morseth, B.; Hopstock, L.A.; Horsch, A. Evaluating the performance of raw and epoch non-wear algorithms using multiple accelerometers and electrocardiogram recordings. Sci. Rep. 2020, 10, 5866. [Google Scholar] [CrossRef] [PubMed]
- Jung, H.C.; Lee, N.H.; John, S.D.; Lee, S. The elevation training mask induces modest hypoxaemia but does not affect heart rate variability during cycling in healthy adults. Biol. Sport 2019, 36, 105–112. [Google Scholar] [CrossRef] [PubMed]
- Chou, C.Y.; La Marca, R.; Steptoe, A.; Brewin, C.R. Cardiovascular and psychological responses to voluntary recall of trauma in posttraumatic stress disorder. Eur. J. Psychotraumatol. 2018, 9, 1472988. [Google Scholar] [CrossRef] [PubMed]
- Rawenwaaij-Arts, C.; Kallee, L.; Hopman, J. Heart rate variability: Standards of measurement, physiologic interpretation, and clinical use. Task Force of the European Society of Cardiology and the North American Society of Pacing and Electrophysiology. Circulation 1996, 93, 1043–1065. [Google Scholar]
- Cortez-Cooper, M.Y.; Supak, J.A.; Tanaka, H. A new device for automatic measurements of arterial stiffness and ankle-brachial index. Am. J. Cardiol. 2003, 91, 1519–1522. [Google Scholar] [CrossRef] [PubMed]
- Heart rate variability. Standards of measurement, physiological interpretation, and clinical use. Task Force of the European Society of Cardiology and the North American Society of Pacing and Electrophysiology. Eur. Heart J. 1996, 17, 354–381. [CrossRef]
- Stanley, J.; Peake, J.M.; Buchheit, M. Cardiac parasympathetic reactivation following exercise: Implications for training prescription. Sports Med. 2013, 43, 1259–1277. [Google Scholar] [CrossRef] [PubMed]
- Chen, C.Y.; Bonham, A.C. Postexercise hypotension: Central mechanisms. Exerc. Sport Sci. Rev. 2010, 38, 122–127. [Google Scholar] [CrossRef]
- Martins, F.S.; Dos Santos, M.A.P.; Simões, M.D.G.; da Silva, T.B.; de Araújo, I.D.A.; Silva, A.S. Active intervals between sets and exercise of resistance exercises potentiate the magnitude of post-exercise hypotension in middle-aged hypertensive women. Eur. J. Appl. Physiol. 2024. [Google Scholar] [CrossRef]
- Fedriga, M.; Martini, S.; Iodice, F.G.; Sortica da Costa, C.; Pezzato, S.; Moscatelli, A.; Beqiri, E.; Czosnyka, M.; Smielewski, P.; Agrawal, S. Cerebral autoregulation in paediatric and neonatal intensive care: A scoping review. J. Cereb. Blood Flow Metab. 2024, 271678x241261944. [Google Scholar] [CrossRef] [PubMed]
- Mittal, R.; Debs, L.H.; Patel, A.P.; Nguyen, D.; Patel, K.; O’Connor, G.; Grati, M.; Mittal, J.; Yan, D.; Eshraghi, A.A.; et al. Neurotransmitters: The Critical Modulators Regulating Gut-Brain Axis. J. Cell Physiol. 2017, 232, 2359–2372. [Google Scholar] [CrossRef] [PubMed]
- Dai, M.; Chen, Y.; Qin, J. Atrioventricular re-entrant tachycardia and atrioventricular node re-entrant tachycardia in a patient with cancer under chemotherapy: A case report and literature review. Front. Cardiovasc. Med. 2024, 11, 1367893. [Google Scholar] [CrossRef]
- Schaun, G.Z.; Del Vecchio, F.B. High-Intensity Interval Exercises’ Acute Impact on Heart Rate Variability: Comparison Between Whole-Body and Cycle Ergometer Protocols. J. Strength Cond. Res. 2018, 32, 223–229. [Google Scholar] [CrossRef] [PubMed]
- Brockmann, L.; Hunt, K.J. Heart rate variability changes with respect to time and exercise intensity during heart-rate-controlled steady-state treadmill running. Sci. Rep. 2023, 13, 8515. [Google Scholar] [CrossRef]
- Cipryan, L. The effect of fitness level on cardiac autonomic regulation, IL-6, total antioxidant capacity, and muscle damage responses to a single bout of high-intensity interval training. J. Sport Health Sci. 2018, 7, 363–371. [Google Scholar] [CrossRef]
- Ishikawa, J.; Toba, A.; Tamura, Y.; Araki, A.; Harada, K. Relationship between blood pressure and cognitive impairment in elderly outpatients with cardiometabolic diseases. Geriatr. Gerontol. Int. 2024, 24 (Suppl. S1), 110–117. [Google Scholar] [CrossRef] [PubMed]
- Yamagishi, S.; Yoshizawa, H.; Hosoya, M.; Seki, M.; Toi, S.; Kitagawa, K. Brachial-Ankle Pulse Wave Velocity is Associated with Incident Dementia in Patients with Cerebral Small-Vessel Disease. J. Atheroscler. Thromb. 2024. [Google Scholar] [CrossRef]
- Tian, X.; Chen, S.; Xu, Q.; Zhang, Y.; Xia, X.; Wang, P.; Wu, S.; Wang, A. Temporal relationship between arterial stiffness and blood pressure variability and joint effect on cardiovascular disease. Hypertens. Res. 2024, 47, 1133–1143. [Google Scholar] [CrossRef]
- Goodwill, A.G.; Dick, G.M.; Kiel, A.M.; Tune, J.D. Regulation of Coronary Blood Flow. Compr. Physiol. 2017, 7, 321–382. [Google Scholar] [CrossRef]
- Rolnick, N.; Licameli, N.; Moghaddam, M.; Marquette, L.; Walter, J.; Fedorko, B.; Werner, T. Autoregulated and Non-Autoregulated Blood Flow Restriction on Acute Arterial Stiffness. Int. J. Sports Med. 2024, 45, 23–32. [Google Scholar] [CrossRef] [PubMed]
- Costa, E.C.; Kent, D.E.; Boreskie, K.F.; Hay, J.L.; Kehler, D.S.; Edye-Mazowita, A.; Nugent, K.; Papadopoulos, J.; Stammers, A.N.; Oldfield, C.; et al. Acute Effect of High-Intensity Interval Versus Moderate-Intensity Continuous Exercise on Blood Pressure and Arterial Compliance in Middle-Aged and Older Hypertensive Women with Increased Arterial Stiffness. J. Strength Cond. Res. 2020, 34, 1307–1316. [Google Scholar] [CrossRef] [PubMed]
- Ramirez-Jimenez, M.; Morales-Palomo, F.; Pallares, J.G.; Mora-Rodriguez, R.; Ortega, J.F. Ambulatory blood pressure response to a bout of HIIT in metabolic syndrome patients. Eur. J. Appl. Physiol. 2017, 117, 1403–1411. [Google Scholar] [CrossRef] [PubMed]
- Tinken, T.M.; Thijssen, D.H.; Hopkins, N.; Dawson, E.A.; Cable, N.T.; Green, D.J. Shear stress mediates endothelial adaptations to exercise training in humans. Hypertension 2010, 55, 312–318. [Google Scholar] [CrossRef] [PubMed]

| 10 s:50 s | 20 s:100 s | 40 s:200 s | p Value | |
|---|---|---|---|---|
| Mean power output (Watt) | 285.9 ± 9.2 | 290.6 ± 8.8 | 293.1 ± 8.2 | 0.842 |
| Relative mean power output (Watt/kg) | 4.4 ± 0.1 | 4.5 ± 0.1 | 4.5 ± 0.1 | 0.794 |
| Peak heart rate (bpm·min−1) | 139.0 ± 4.4 a | 152.3 ± 3.8 b | 174.0 ± 2.6 c | 0.001 |
| Rate of perceived exertion | 11.9 ± 0.8 a | 13.5 ± 0.7 a | 16.9 ± 0.4 b | 0.001 |
| Variables | Protocol | Baseline | Immediate | After 15 min | After 30 min | After 45 min | After 60 min | |||
|---|---|---|---|---|---|---|---|---|---|---|
| Group | Time | G × T | ||||||||
| Heart rate, bpm·min−1 | 10 s:50 s | 67.0 ± 2.7 | 81.6 ± 4.0 a | 69.7 ± 2.9 a | 63.4 ± 2.2 a | 67.1 ± 5.4 | 62.8 ± 3.7 | 3.31 * (0.16) | 74.71 *** (0.68) | 4.63 *** (0.20) |
| 20 s:100 s | 69.8 ± 3.1 | 88.5 ± 4.0 a | 72.5 ± 3.0 a | 67.0 ± 3.0 ab | 64.3 ± 3.5 | 62.3 ± 2.7 | ||||
| 40 s:200 s | 66.8 ± 3.4 | 102.1 ± 3.0 b | 84.7 ± 2.7 b | 75.1 ± 2.7 b | 70.9 ± 2.5 | 68.5 ± 2.4 | ||||
| rMSSD, ms | 10 s:50 s | 55.5 ± 11.1 | 28.0 ± 6.7 | 49.7 ± 11.4 | 62.8 ± 17.0 | 65.2 ± 20.3 | 70.7 ± 21.1 | 2.12 (0.11) | 18.49 *** (0.34) | 1.56 (0.08) |
| 20 s:100 s | 45.6 ± 8.8 | 18.3 ± 5.5 | 31.5 ± 3.8 | 40.6 ± 5.0 | 48.8 ± 6.5 | 58.1 ± 7.0 | ||||
| 40 s:200 s | 55.7 ± 13.2 | 5.5 ± 0.8 | 14.8 ± 3.2 | 25.7 ± 4.8 | 34.1 ± 5.8 | 40.2 ± 6.6 | ||||
| SDNN, ms | 10 s:50 s | 47.0 ± 7.3 | 25.3 ± 4.1 | 42.1 ± 7.9 | 50.5 ± 10.6 | 55.7 ± 13.0 | 57.2 ± 13.4 | 3.05 (0.15) | 24.54 *** (0.41) | 0.68 (0.04) |
| 20 s:100 s | 40.6 ± 5.7 | 21.2 ± 4.9 | 32.6 ± 2.8 | 37.6 ± 4.0 | 42.5 ± 4.0 | 57.7 ± 4.9 | ||||
| 40 s:200 s | 35.4 ± 4.0 | 8.2 ± 1.0 | 18.2 ± 2.9 | 27.5 ± 3.4 | 33.8 ± 3.8 | 41.5 ± 4.4 | ||||
| pNN50, % | 10 s:50 s | 28.6 ± 7.5 | 13.9 ± 5.9 | 34.6 ± 12.2 | 40.6 ± 12.7 | 42.8 ± 14.7 | 43.6 ± 12.3 | 2.84 (0.14) | 12.91 *** (0.26) | 1.81 (0.09) |
| 20 s:100 s | 18.7 ± 5.3 | 3.6 ± 2.4 | 14.1 ± 3.7 | 23.1 ± 4.9 | 30.6 ± 6.0 | 33.8 ± 5.3 | ||||
| 40 s:200 s | 27.4 ± 7.3 | 0.0 ± 0.0 | 3.3 ± 2.1 | 9.7 ± 4.4 | 16.4 ± 5.6 | 20.3 ± 6.5 | ||||
| Variables | Protocol | Baseline | Immediate | After 15 min | After 30 min | After 45 min | After 60 min | ||||
|---|---|---|---|---|---|---|---|---|---|---|---|
| Group | Time | G × T | |||||||||
| Right- Brachial (mmHg) | 10 s:50 s | 114.1 ± 2.5 | 116.9 ± 1.9 | 112.7 ± 1.7 | 110.2 ± 1.3 | 109.5 ± 1.8 | 110.0 ± 2.1 | 0.12 (0.89) | 18.87 *** (0.34) | 0.30 (0.02) | |
| SBP | 20 s:100 s | 114.4 ± 2.2 | 117.8 ± 2.7 | 114.4 ± 2.3 | 111.2 ± 2.3 | 110.2 ± 2.2 | 111.2 ± 2.7 | ||||
| 40 s:200 s | 114.4 ± 2.5 | 116.7 ± 1.8 | 115.1 ± 1.5 | 111.6 ± 1.8 | 110.9 ± 2.3 | 112.4 ± 2.3 | |||||
| DBP | 10 s:50 s | 60.1 ± 2.0 | 54.5 ± 1.2 | 59.5 ± 1.4 | 58.2 ± 1.3 | 58.9 ± 1.6 | 58.8 ± 1.8 | 0.36 (0.02) | 7.48 (0.17) | 0.55 (0.30) | |
| 20 s:100 s | 61.8 ± 1.8 | 56.4 ± 1.2 | 62.9 ± 2.9 | 60.6 ± 2.5 | 56.8 ± 1.6 | 59.8 ± 2.0 | |||||
| 40 s:200 s | 62.9 ± 1.8 | 54.8 ± 2.8 | 61.7 ± 1.3 | 60.0 ± 2.1 | 59.5 ± 2.1 | 60.2 ± 2.0 | |||||
| Left- Brachial (mmHg) | 10 s:50 s | 113.8 ± 2.3 | 115.9 ± 1.7 | 111.2 ± 1.6 | 109.2 ±1.6 | 107.7 ± 2.0 | 110.5 ± 3.3 | 0.06 (0.00) | 15.96 *** (0.31) | 0.63 (0.03) | |
| SBP | 20 s:100 s | 113.2 ± 2.2 | 116.9 ± 3.1 | 113.2 ± 2.6 | 109.2 ± 2.4 | 109.4 ± 2.4 | 110.3 ± 2.6 | ||||
| 40 s:200 s | 111.9 ± 2.7 | 116.2 ± 2.4 | 113.6 ± 1.3 | 110.8 ± 2.3 | 109.8 ± 2.5 | 111.8 ± 2.5 | |||||
| DBP | 10 s:50 s | 60.5 ± 1.9 | 61.8 ± 1.7 | 59.5 ± 1.5 | 59.2 ± 1.6 | 58.0 ± 1.7 | 59.5 ± 2.1 | 0.36 (0.70) | 4.70 *** (0.12) | 0.61 (0.03) | |
| 20 s:100 s | 61.9 ± 1.7 | 62.2 ± 2.3 | 58.7 ± 1.9 | 60.5 ± 2.5 | 56.9 ± 1.8 | 60.2 ± 2.1 | |||||
| 40 s:200 s | 60.6 ± 2.1 | 61.9 ± 2.1 | 61.3 ± 1.6 | 59.7 ± 2.1 | 59.1 ± 2.5 | 60.0 ± 2.5 | |||||
| Right- ankle (mmHg) | DBP | 10 s:50 s | 63.9 ± 1.8 | 63.6 ± 1.4 | 62.9 ± 1.4 | 63.4 ± 1.2 | 64.8 ± 2.5 | 64.0 ± 2.0 | 0.55 (0.03) | 1.23 (0.03) | 1.07 (0.06) |
| 20 s:100 s | 64.8 ± 2.5 | 64.4 ± 2.4 | 62.8 ± 2.1 | 62.1 ± 3.1 | 61.6 ± 2.4 | 64.7 ± 2.6 | |||||
| 40 s:200 s | 62.5 ± 1.6 | 58.7 ± 2.3 | 62.9 ± 2.3 | 60.9 ± 2.8 | 58.7 ± 3.4 | 62.5 ± 3.1 | |||||
| Left- ankle (mmHg) | 10 s:50 s | 63.2 ± 1.7 | 64.1 ± 1.6 | 63.9 ± 1.5 | 64.3 ± 1.5 | 64.7 ± 2.2 | 64.9 ± 2.1 | 0.86 (0.05) | 1.46 (0.04) | 1.24 (0.07) | |
| DBP | 20 s:100 s | 63.6 ± 2.2 | 62.8 ± 2.2 | 61.9 ± 2.2 | 62.1 ± 3.5 | 60.2 ± 2.6 | 63.6 ± 1.9 | ||||
| 40 s:200 s | 63.9 ± 2.1 | 57.4 ± 2.4 | 60.9 ± 2.4 | 59.9 ± 3.1 | 59.1 ± 3.2 | 61.0 ± 3.2 | |||||
| ba-PWV (cm·s−1) | Right | 10 s:50 s | 1050.5 ± 33.4 | 1055.5 ± 36.8 | 1031.8 ± 34.9 | 1053.5 ± 29.8 | 1060.9 ± 37.5 | 1092.1 ± 34.1 | 0.49 (0.03) | 6.49 *** (0.15) | 1.86 (0.09) |
| 20 s:100 s | 1059.4 ± 38.0 | 1041.0 ± 40.9 | 1035.3 ± 37.0 | 1043.3 ± 32.7 | 1037.2 ± 46.7 | 1088.3 ± 33.0 | |||||
| 40 s:200 s | 1053.0 ± 47.5 | 954.9 ± 36.9 | 999.2 ± 32.0 | 997.9 ± 30.9 | 1037.0 ± 32.1 | 1040.6 ± 32.8 | |||||
| Left | 10 s:50 s | 1059.9 ± 32.3 | 1044.0 ± 34.7 | 1021.6 ± 30.5 | 1040.3 ± 26.6 | 1053.4 ± 34.1 | 1092.1 ± 34.1 | 0.31 (0.02) | 7.06 *** (0.16) | 1.51 (0.08) | |
| 20 s:100 s | 1077.4 ± 38.2 | 1046.4 ± 38.1 | 1039.5 ± 36.9 | 1033.1 ± 28.7 | 1033.1 ± 45.4 | 1088.3 ± 33.0 | |||||
| 40 s:200 s | 1070.2 ± 43.5 | 964.9 ± 39.8 | 1016.9 ± 29.0 | 1010.5 ± 29.1 | 1030.3 ± 27.9 | 1040.6 ± 32.8 | |||||
Disclaimer/Publisher’s Note: The statements, opinions and data contained in all publications are solely those of the individual author(s) and contributor(s) and not of MDPI and/or the editor(s). MDPI and/or the editor(s) disclaim responsibility for any injury to people or property resulting from any ideas, methods, instructions or products referred to in the content. |
© 2024 by the author. Licensee MDPI, Basel, Switzerland. This article is an open access article distributed under the terms and conditions of the Creative Commons Attribution (CC BY) license (https://creativecommons.org/licenses/by/4.0/).
Share and Cite
Seo, M.-W. Acute Response of Different High-Intensity Interval Training Protocols on Cardiac Auto-Regulation Using Wearable Device. Sensors 2024, 24, 4758. https://doi.org/10.3390/s24144758
Seo M-W. Acute Response of Different High-Intensity Interval Training Protocols on Cardiac Auto-Regulation Using Wearable Device. Sensors. 2024; 24(14):4758. https://doi.org/10.3390/s24144758
Chicago/Turabian StyleSeo, Myong-Won. 2024. "Acute Response of Different High-Intensity Interval Training Protocols on Cardiac Auto-Regulation Using Wearable Device" Sensors 24, no. 14: 4758. https://doi.org/10.3390/s24144758
APA StyleSeo, M.-W. (2024). Acute Response of Different High-Intensity Interval Training Protocols on Cardiac Auto-Regulation Using Wearable Device. Sensors, 24(14), 4758. https://doi.org/10.3390/s24144758
