A Miniaturized Dual-Band Circularly Polarized Implantable Antenna for Use in Hemodialysis
Abstract
1. Introduction
2. Methodology
2.1. Layout of the Proposed Antenna
2.2. Implantable System Design
2.3. Simulation Environment
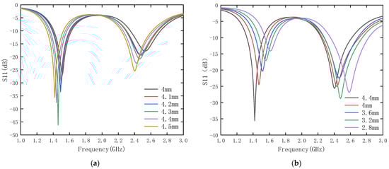
2.4. Antenna Optimization Step
- (1)
- Materials in the dielectric substrates
- (2)
- Optimization of the position and length of the rectangular slot in the ground plane
- (3)
- Feed point location
- (4)
- Optimization of the length of rectangular slots W2 and W3
2.5. Mechanism of the Dual-CP Characteristics
2.6. SAR Calculation
3. Experimental Setup and Measurement
3.1. Reflection Coefficient and Axial Ratio Comparison
3.2. Radiation Pattern Measurement
3.3. Communication Capability Calculation
4. Conclusions
Author Contributions
Funding
Institutional Review Board Statement
Informed Consent Statement
Data Availability Statement
Acknowledgments
Conflicts of Interest
References
- Zamboli, P.; Punzi, M.; Calabria, M.; Capasso, M.; Granata, A.; Lomonte, C. Color Doppler ultrasound evaluation of arteriovenous grafts for hemodialysis. J. Ultrasound. 2014, 17, 253–263. [Google Scholar] [CrossRef]
- Kumbar, L.; Karim, J.; Besarab, A. Surveillance and Monitoring of Dialysis Access. Int. J. Nephrol. 2012, 2012, 649735. [Google Scholar] [CrossRef] [PubMed]
- Nassar, G.M.; Ayus, J.C. Infectious complications of the hemodialysis access. Kidney Int. 2001, 60, 1–13. [Google Scholar] [CrossRef]
- MacRae, J.M.; Dipchand, C.; Oliver, M.; Moist, L.; Lok, C.; Clark, E.; Hiremath, S.; Kappel, J.; Kiaii, M.; Luscombe, R.; et al. Arteriovenous Access Failure, Stenosis, and Thrombosis. Can. J. Kidney Health Dis. 2016, 3, 2054358116669126. [Google Scholar] [CrossRef] [PubMed]
- Nagler, E.; Van Biesen, W.; Fox, J.; Koobasi, M.; Wilmink, T.; Welander, G.; Vermassen, F.; Vanholder, R.; van der Veer, S.; Troxler, M.; et al. Clinical practice guideline on peri- and postoperative care of arteriovenous fistulas and grafts for haemodialysis in adults. Nephrol. Dial. Transplant. 2019, 34 (Suppl. S2), ii1–ii42. [Google Scholar]
- Lok, C.E.; Huber, T.S.; Lee, T.; Shenoy, S.; Yevzlin, A.S.; Abreo, K.; Allon, M.; Asif, A.; Astor, B.C.; Glickman, M.H.; et al. KDOQI Clinical Practice Guideline for Vascular Access: 2019 Update. Am. J. Kidney Dis. 2020, 75, S1–S164. [Google Scholar] [PubMed]
- Zhang, J.; Das, R.; Hoare, D.; Wang, H.; Ofiare, A.; Mirzai, N.; Mercer, J.; Heidari, H. A Compact Dual-Band Implantable Antenna for Wireless Biotelemetry in Arteriovenous Grafts. IEEE Trans. Antennas Propag. 2023, 71, 4759–4771. [Google Scholar] [CrossRef]
- Zhang, J.; Das, R.; Zhao, J.; Mirzai, N.; Mercer, J.; Heidari, H. Battery-Free and Wireless Technologies for Cardiovascular Implantable Medical Devices. Adv. Mater. Technol. 2022, 7, 2101086. [Google Scholar] [CrossRef]
- Nelson, B.D.; Karipott, S.S.; Wang, Y.; Ong, K.G. Wireless Technologies for Implantable Devices. Sensors 2020, 20, 4604. [Google Scholar] [CrossRef]
- Basir, A.; Zada, M.; Cho, Y.; Yoo, H. A Dual-Circular-Polarized Endoscopic Antenna With Wideband Characteristics and Wireless Biotelemetric Link Characterization. IEEE Trans. Antennas Propag. 2020, 68, 6953–6963. [Google Scholar] [CrossRef]
- Hayat, S.; Shah, S.A.A.; Yoo, H. Miniaturized Dual-Band Circularly Polarized Implantable Antenna for Capsule Endoscopic System. IEEE Trans. Antennas Propag. 2021, 69, 1885–1895. [Google Scholar] [CrossRef]
- Alazemi, A.J.; Iqbal, A. A High Data Rate Implantable MIMO Antenna for Deep Implanted Biomedical Devices. IEEE Trans. Antennas Propag. 2022, 70, 998–1007. [Google Scholar] [CrossRef]
- Shah, S.A.A.; Yoo, H. Scalp-Implantable Antenna Systems for Intracranial Pressure Monitoring. IEEE Trans. Antennas Propag. 2018, 66, 2170–2173. [Google Scholar] [CrossRef]
- Faisal, F.; Zada, M.; Ejaz, A.; Amin, Y.; Ullah, S.; Yoo, H. A Miniaturized Dual-Band Implantable Antenna System for Medical Applications. IEEE Trans. Antennas Propag. 2020, 68, 1161–1165. [Google Scholar] [CrossRef]
- Yousaf, M.; Mabrouk, I.B.; Zada, M.; Akram, A.; Amin, Y.; Nedil, M.; Yoo, H. An Ultra-Miniaturized Antenna With Ultra-Wide Bandwidth Characteristics for Medical Implant Systems. IEEE Access 2021, 9, 40086–40097. [Google Scholar] [CrossRef]
- Sharma, D.; Kaim, V.; Kanaujia, B.K.; Singh, N.; Kumar, S.; Rambabu, K. A Triple Band Circularly Polarized Antenna for Leadless Cardiac Transcatheter Pacing System. IEEE Trans. Antennas Propag. 2022, 70, 4287–4298. [Google Scholar] [CrossRef]
- Shah, I.A.; Zada, M.; Yoo, H. Design and Analysis of a Compact-Sized Multiband Spiral-Shaped Implantable Antenna for Scalp Implantable and Leadless Pacemaker Systems. IEEE Trans. Antennas Propag. 2019, 67, 4230–4234. [Google Scholar] [CrossRef]
- Zada, M.; Shah, I.A.; Basir, A.; Yoo, H. Ultra-Compact Implantable Antenna With Enhanced Performance for Leadless Cardiac Pacemaker System. IEEE Trans. Antennas Propag. 2021, 69, 1152–1157. [Google Scholar] [CrossRef]
- Shah, S.A.A.; Yoo, H. Radiative Near-Field Wireless Power Transfer to Scalp-Implantable Biotelemetric Device. IEEE Trans. Microw. Theory Tech. 2020, 68, 2944–2953. [Google Scholar] [CrossRef]
- Iqbal, A.; Al-Hasan, M.; Mabrouk, I.B.; Basir, A.; Nedil, M.; Yoo, H. Biotelemetry and Wireless Powering of Biomedical Implants Using a Rectifier Integrated Self-Diplexing Implantable Antenna. IEEE Trans. Microw. Theory Tech. 2021, 69, 3438–3451. [Google Scholar] [CrossRef]
- Iqbal, A.; Al-Hasan, M.; Mabrouk, I.B.; Denidni, T.A. Wireless Powering and Telemetry of Deep-Body Ingestible Bioelectronic Capsule. IEEE Trans. Antennas Propag. 2022, 70, 9819–9830. [Google Scholar] [CrossRef]
- Xia, W.; Saito, K.; Takahashi, M.; Ito, K. Performances of an Implanted Cavity Slot Antenna Embedded in the Human Arm. IEEE Trans. Antennas Propag. 2009, 57, 894–899. [Google Scholar] [CrossRef]
- Gozasht, F.; Mohan, A.S. Miniature implantable PIFA for telemetry in the ISM band: Design and link budget analysis. In Proceedings of the 2015 International Symposium on Antennas and Propagation (ISAP), Hobart, TAS, Australia, 9–12 November 2015; pp. 1–4. [Google Scholar]
- Hossain, T.; Mahmud, R.; Juhi, H.K.; Imtiaz, M.R.; Hoque, R. Design and performance analysis of a biomedical implantable patch antenna. In Proceedings of the 2015 International Conference on Advances in Electrical Engineering (ICAEE), Dhaka, Bangladesh, 17–19 December 2015; pp. 47–50. [Google Scholar]
- Bakogianni, S.; Koulouridis, S. Design of a novel miniature implantable rectenna for in-body medical devices power support. In Proceedings of the 2016 10th European Conference on Antennas and Propagation (EuCAP), Davos, Switzerland, 10–15 April 2016; pp. 1–5. [Google Scholar]
- Basir, A.; Yoo, H. A Stable Impedance-Matched Ultrawideband Antenna System Mitigating Detuning Effects for Multiple Biotelemetric Applications. IEEE Trans. Antennas Propag. 2019, 67, 3416–3421. [Google Scholar] [CrossRef]
- Fan, Y.; Liu, H.; Liu, X.; Cao, Y.; Li, Z.; Tentzeris, M.M. Novel coated differentially fed dual band fractal antenna for implantable medical devices. IET Microw. Antennas Propag. 2019, 14, 199–208. [Google Scholar] [CrossRef]
- Kaim, V.; Kanaujia, B.K.; Rambabu, K. Quadrilateral Spatial Diversity Circularly Polarized MIMO Cubic Implantable Antenna System for Biotelemetry. IEEE Trans. Antennas Propag. 2021, 69, 1260–1272. [Google Scholar] [CrossRef]
- Singhwal, S.S.; Matekovits, L.; Peter, I.; Kanaujia, B.K. A Study on Application of Dielectric Resonator Antenna in Implantable Medical Devices. IEEE Access 2022, 10, 11846–11857. [Google Scholar] [CrossRef]
- Xu, C.; Fan, Y.; Liu, X. A Circularly Polarized Implantable Rectenna for Microwave Wireless Power Transfer. Micromachines 2022, 13, 121. [Google Scholar] [CrossRef]
- Chi, P.L.; Waterhouse, R.; Itoh, T. Antenna Miniaturization Using Slow Wave Enhancement Factor from Loaded Transmission Line Models. IEEE Trans. Antennas Propag. 2011, 59, 48–57. [Google Scholar] [CrossRef]
- Std C95.1; IEEE Standard for Safety Levels with Respect to Human Exposure to Radio Frequency Electromagnetic Fields, 3 kHz to 300 GHz. IEEE: Piscataway, NJ, USA, 1999; pp. 1–83.
- IEEE Std C95.1-2005 (Revision of IEEE Std C95.1-1991); IEEE Standard for Safety Levels with Respect to Human Exposure to Radio Frequency Electromagnetic Fields, 3 kHz to 300 GHz. IEEE: Piscataway, NJ, USA, 2006; pp. 1–238.
- Kiourti, A.; Nikita, K.S. Miniature Scalp-Implantable Antennas for Telemetry in the MICS and ISM Bands: Design, Safety Considerations and Link Budget Analysis. IEEE Trans. Antennas Propag. 2012, 60, 3568–3575. [Google Scholar] [CrossRef]
- Faisal, F.; Yoo, H. A Miniaturized Novel-Shape Dual-Band Antenna for Implantable Applications. IEEE Trans. Antennas Propag. 2019, 67, 774–783. [Google Scholar] [CrossRef]
- Liu, C.; Guo, Y.X.; Xiao, S. Capacitively Loaded Circularly Polarized Implantable Patch Antenna for ISM Band Biomedical Applications. IEEE Trans. Antennas Propag. 2014, 62, 2407–2417. [Google Scholar] [CrossRef]

















| Reference | Year | Volume (mm3) | Frequency (GHz) | Bandwidth (MHz) | ARBW (%) | CP | Gain (dBi) | SAR (W/kg) |
|---|---|---|---|---|---|---|---|---|
| [22] | 2009 | 17.92 | 2.45 | 670 | - | No | −26.5 | 1-g 0.0165 |
| [24] | 2015 | 1830 | 0.404 | 92.7 | - | No | - | - |
| [26] | 2019 | 28.85 | 0.915 | 768 | - | No | −28 | 1-g 796.1 |
| [27] | 2019 | 57.3 | 0.403 2.45 | 92 320 | - | No | −28.1 −31.3 | 10-g 47.9 10-g 45.5 |
| [28] | 2021 | 3375 | 2.45 5.8 | 900 1500 | 35.29 8.26 | Yes | −18.5 | 1-g 1101.7 1-g 1135.8 |
| [29] | 2022 | 2761.25 | 2.45 | - | - | No | −23.6 | 1-g 388.3 |
| [30] | 2022 | 71.43 | 2.45 | 680 | 16.9 | Yes | −32.8 | 10-g 71.5 |
| [7] | 2023 | 15.875 | 1.4 2.45 | 300 380 | No | −27.68 −27.1 | 1-g 767 1-g 785 | |
| Prop | 2024 | 9.144 | 1.4 2.45 | 280 580 | 11.43 12.65 | Yes | −19.55 −22.85 | 1-g 328 1-g 316 |
| Geometry Parameter | Dimension (mm) | Geometry Parameter | Dimension (mm) |
|---|---|---|---|
| W1 | 2 | L1 | 0.4 |
| W2 | 4.5 | L2 | 2.5 |
| W3 | 4.4 | L3 | 0.4 |
| W4 | 5.8 | L4 | 0.4 |
| W5 | 0.6 | L5 | 6 |
| W6 | 0.5 | L7 | 2.5 |
| W7 | 6 | R2 | 0.8 |
| R1 | 0.6 | h | 0.254 |
| Electrical Properties | Relative Permittivity | Conductivity (S/m) | ||
|---|---|---|---|---|
| Freq. (GHz) | 1.4 | 2.45 | 1.4 | 2.45 |
| Skin | 39.66 | 38.00 | 1.03 | 1.46 |
| Fat | 11.15 | 10.82 | 0.14 | 0.26 |
| Muscle | 54.11 | 52.72 | 1.14 | 1.73 |
| Frequency (GHz) | Maximum SAR (W/kg) | Maximum Net Input Power (mW) |
|---|---|---|
| 1-g | 1-g | |
| 1.4 | 328 | 3.8 |
| 2.45 | 316 | 5.1 |
| Parameter | Explanation | Symbol |
|---|---|---|
| Ft (GHz) | Operation frequency | 2.45 |
| Pt (dBW) | Transmitter power | −46 |
| Gt (dBi) | Transmitter antenna gain | −21 |
| Gr (dBi) | Receiver antenna gain | 2.15 |
| N0 (dB/Hz) | Noise power density | −201 |
| D (m) | Distance | 1–15 |
| Br (Mbps) | Bit rate | 1/2 |
| Lf (dB) | Free pace loss | Distance-dependent |
Disclaimer/Publisher’s Note: The statements, opinions and data contained in all publications are solely those of the individual author(s) and contributor(s) and not of MDPI and/or the editor(s). MDPI and/or the editor(s) disclaim responsibility for any injury to people or property resulting from any ideas, methods, instructions or products referred to in the content. |
© 2024 by the authors. Licensee MDPI, Basel, Switzerland. This article is an open access article distributed under the terms and conditions of the Creative Commons Attribution (CC BY) license (https://creativecommons.org/licenses/by/4.0/).
Share and Cite
Song, Z.; Wang, Y.; Shi, Y.; Zheng, X. A Miniaturized Dual-Band Circularly Polarized Implantable Antenna for Use in Hemodialysis. Sensors 2024, 24, 4743. https://doi.org/10.3390/s24144743
Song Z, Wang Y, Shi Y, Zheng X. A Miniaturized Dual-Band Circularly Polarized Implantable Antenna for Use in Hemodialysis. Sensors. 2024; 24(14):4743. https://doi.org/10.3390/s24144743
Chicago/Turabian StyleSong, Zhiwei, Yuchao Wang, Youwei Shi, and Xianren Zheng. 2024. "A Miniaturized Dual-Band Circularly Polarized Implantable Antenna for Use in Hemodialysis" Sensors 24, no. 14: 4743. https://doi.org/10.3390/s24144743
APA StyleSong, Z., Wang, Y., Shi, Y., & Zheng, X. (2024). A Miniaturized Dual-Band Circularly Polarized Implantable Antenna for Use in Hemodialysis. Sensors, 24(14), 4743. https://doi.org/10.3390/s24144743

