Improved Video-Based Point Cloud Compression via Segmentation
Abstract
1. Introduction
- We develop a method to automatically divide a point cloud into smaller segments by cross-sectioning based on coarse-level shape proximity. This approach enhances video coding by exploiting temporal and spatial redundancy through the reduction of the inter-patch spaces while forming 2D frames, i.e., Atlas.
- We further divide each cross-section into finer segments (i.e., slices) by innovatively determining the slicing direction within each cross-section based on self-occluded points so that it can reduce data loss for improving image quality.
- We introduce a variable slicing size based on the self-occluded points to capture more points in 2D projections for better image quality.
- Finally, we implement a technique to keep the slice sizes below a certain threshold to limit the required bits for the geometric positions of the slices.
2. Literature Review
2.1. Enhancing V-PCC Efficiency through Improved 2D Video Coding
2.2. Enhancing V-PCC by Reducing Unused Spaces in 2D Maps
2.3. Enhancing Main View Quality in V-PCC
2.4. Post-Processing to Eliminate Artefacts in V-PCC
2.5. Enhancing V-PCC Projection Layer Efficiency
3. Proposed Methodology
3.1. Enhancing V-PCC Efficiency with the Proposed Method
3.1.1. Exploring Temporal Correlation in Generated Maps
3.1.2. Exploring the Causes of Data Loss
- Ignoring some isolated points.
- Losing points around each patch after compression.
- Projecting adjacent points onto different planes since these points are separated by patch generation.
3.2. A Detailed Examination of the Proposed Method
3.2.1. The Initial Phase of the Proposed Method for Enhancing Temporal Correlation
3.2.2. The Second Phase of the Proposed Method for Reducing Data Loss
- Each side (direction) of the new point cloud (except the side already cross-sectioned in the first step) should be sliced from where the created 2D projection is the most.is the area of the 2D projection of the connected component of the slice in the side (direction). At most, the maximum number of sides the point cloud can be sliced from that direction can be five instead of six because one side has already been cross-sectioned using step one. It is assumed that the length of the point cloud in the side is n. From each side of the new point cloud, select a single, appropriate slice labelled as using conditions (5) and (6), aiming to generate the largest 2D projection data area in that direction.
- All selected slices will be compared in terms of the proportion of self-occluded points that can be calculated using the following formula:where is the proportion of points captured successfully after 2D projection for the side. is the selected slide in the side and is the area of the 2D projection of . is the total number of points positioned in the selected slice of the side of the new point cloud. Thus, the most proportion value produced from (7) should be selected to find the best slice, and then, the rest can be considered a new point cloud, then slicing can be repeated to find the other best slice.
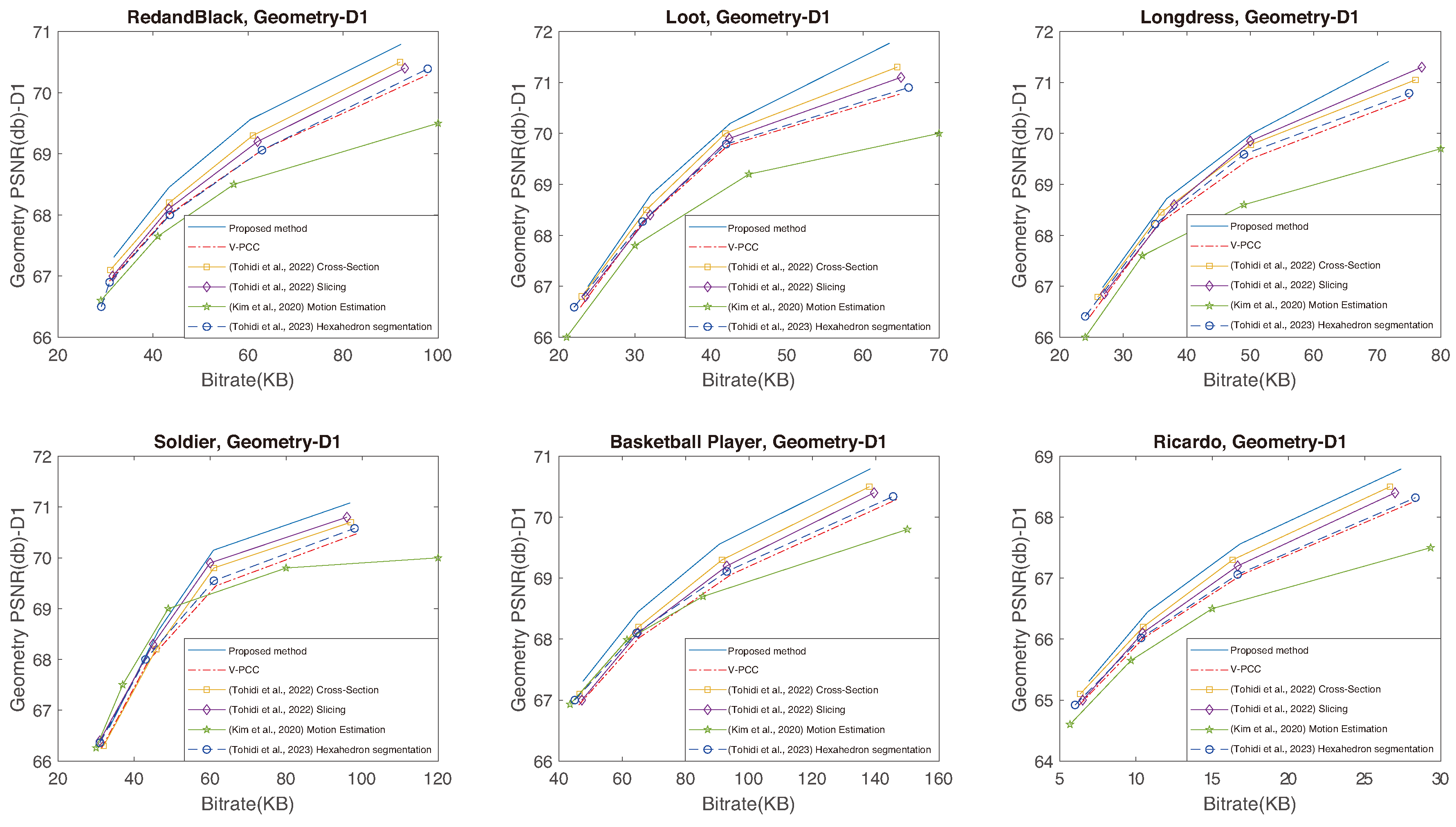
4. Result and Discussion
5. Conclusions
Author Contributions
Funding
Institutional Review Board Statement
Informed Consent Statement
Data Availability Statement
Conflicts of Interest
References
- Cao, C.; Preda, M.; Zakharchenko, V.; Jang, E.S.; Zaharia, T. Compression of sparse and dense dynamic point clouds—Methods and standards. Proc. IEEE 2021, 109, 1537–1558. [Google Scholar] [CrossRef]
- Liu, H.; Yuan, H.; Liu, Q.; Hou, J.; Liu, J. A comprehensive study and comparison of core technologies for MPEG 3-D point cloud compression. IEEE Trans. Broadcast. 2019, 66, 701–717. [Google Scholar] [CrossRef]
- Bhandari, V.; Phillips, T.G.; McAree, P.R. Real-Time 6-DOF Pose Estimation of Known Geometries in Point Cloud Data. Sensors 2023, 23, 3085. [Google Scholar] [CrossRef] [PubMed]
- Graziosi, D.; Nakagami, O.; Kuma, S.; Zaghetto, A.; Suzuki, T.; Tabatabai, A. An overview of ongoing point cloud compression standardization activities: Video-based (V-PCC) and geometry-based (G-PCC). APSIPA Trans. Signal Inf. Process. 2020, 9, e13. [Google Scholar] [CrossRef]
- Özbay, E.; Çinar, A. A voxelize structured refinement method for registration of point clouds from Kinect sensors. Eng. Sci. Technol. Int. J. 2019, 22, 555–568. [Google Scholar] [CrossRef]
- Wan, R.; Zhao, T.; Zhao, W. PTA-Det: Point Transformer Associating Point Cloud and Image for 3D Object Detection. Sensors 2023, 23, 3229. [Google Scholar] [CrossRef]
- Lee, M.Y.; Lee, S.H.; Jung, K.D.; Lee, S.H.; Kwon, S.C. A novel preprocessing method for dynamic point-cloud compression. Appl. Sci. 2021, 11, 5941. [Google Scholar] [CrossRef]
- Zhang, X.; Gao, W. Adaptive geometry partition for point cloud compression. IEEE Trans. Circuits Syst. Video Technol. 2021, 31, 4561–4574. [Google Scholar] [CrossRef]
- Liu, G.; Li, X.; Sun, S.; Yi, W. Robust and Fast Normal Mollification via Consistent Neighborhood Reconstruction for Unorganized Point Clouds. Sensors 2023, 23, 3292. [Google Scholar] [CrossRef]
- Wang, H.; Wu, Z.; Zhao, X. Surface and underwater human pose recognition based on temporal 3D point cloud deep learning. Sci. Rep. 2024, 14, 55. [Google Scholar] [CrossRef]
- Lee, L.H.; Braud, T.; Zhou, P.; Wang, L.; Xu, D.; Lin, Z.; Kumar, A.; Bermejo, C.; Hui, P. All one needs to know about Metaverse: A complete survey on technological singularity, virtual ecosystem, and research agenda. arXiv 2021, arXiv:2110.05352. [Google Scholar]
- Tsugawa, S.; Teratsuji, K.; Okura, F.; Noshita, K.; Tateno, M.; Zhang, J.; Demura, T. Exploring the mechanical and morphological rationality of tree branch structure based on 3D point cloud analysis and the finite element method. Sci. Rep. 2022, 12, 4054. [Google Scholar] [CrossRef] [PubMed]
- Zhang, X.; Gao, W.; Liu, S. Implicit geometry partition for point cloud compression. In Proceedings of the 2020 Data Compression Conference (DCC), Snowbird, UT, USA, 24–27 March 2020; IEEE: Piscataway, NJ, USA, 2020; pp. 73–82. [Google Scholar]
- Sun, X.; Ma, H.; Sun, Y.; Liu, M. A novel point cloud compression algorithm based on clustering. IEEE Robot. Autom. Lett. 2019, 4, 2132–2139. [Google Scholar] [CrossRef]
- Kim, J.; Rhee, S.; Kwon, H.; Kim, K. LiDAR point cloud compression by vertically placed objects based on global motion prediction. IEEE Access 2022, 10, 15298–15310. [Google Scholar] [CrossRef]
- Gao, P.; Wei, M. Block size selection in rate-constrained geometry based point cloud compression. Multimed. Tools Appl. 2022, 81, 2557–2575. [Google Scholar] [CrossRef]
- Akhtar, A.; Li, Z.; Van der Auwera, G.; Chen, J. Dynamic point cloud interpolation. In Proceedings of the ICASSP 2022—2022 IEEE International Conference on Acoustics, Speech and Signal Processing (ICASSP), Singapore, 23–27 May 2022; IEEE: Piscataway, NJ, USA, 2022; pp. 2574–2578. [Google Scholar]
- Akhtar, A.; Gao, W.; Li, L.; Li, Z.; Jia, W.; Liu, S. Video-based point cloud compression artefact removal. IEEE Trans. Multimed. 2021, 24, 2866–2876. [Google Scholar] [CrossRef]
- Tohidi, F.; Manoranjan, P.; Ulhaq, A. Dynamic point cloud compression with cross-sectional approach. In Proceedings of the Pacific-Rim Symposium on Image and Video Technology, Auckland, New Zealand, 12–14 November 2022; Springer: Berlin/Heidelberg, Germany, 2022; pp. 61–74. [Google Scholar]
- Tohidi, F.; Paul, M.; Ulhaq, A. Dynamic Point Cloud Compression using Slicing focused on Self-occluded Points. In Proceedings of the 2022 International Conference on Digital Image Computing: Techniques and Applications (DICTA), Sydney, Australia, 30 November–2 December 2022; IEEE: Piscataway, NJ, USA, 2022; pp. 1–8. [Google Scholar]
- Sullivan, G.J.; Ohm, J.R.; Han, W.J.; Wiegand, T. Overview of the high efficiency video coding (HEVC) standard. IEEE Trans. Circuits Syst. Video Technol. 2012, 22, 1649–1668. [Google Scholar] [CrossRef]
- Perry, S. Common Test Conditions for Point Cloud Compression. ISO/IEC JTC1/SC29/WG11 Doc. N18474. 2019. Available online: https://ds.jpeg.org/documents/jpegpleno/wg1n88044-CTQ-JPEG_Pleno_PCC_Common_Test_Conditions_3_3.pdf (accessed on 18 June 2024).
- Gao, L.; Li, Z.; Hou, L.; Xu, Y.; Sun, J. Occupancy-Assisted Attribute Artifact Reduction for Video-Based Point Cloud Compression. IEEE Trans. Broadcast. 2024, 70, 667–680. [Google Scholar] [CrossRef]
- Liu, A.; Lin, W.; Paul, M.; Zhang, F.; Deng, C. Optimal compression plane for efficient video coding. IEEE Trans. Image Process. 2011, 20, 2788–2799. [Google Scholar]
- Li, L.; Li, Z.; Liu, S.; Li, H. Video-based compression for plenoptic point clouds. arXiv 2019, arXiv:1911.01355. [Google Scholar]
- Li, L.; Li, Z.; Liu, S.; Li, H. Efficient projected frame padding for video-based point cloud compression. IEEE Trans. Multimed. 2020, 23, 2806–2819. [Google Scholar] [CrossRef]
- Lu, J.; Zhang, W.; Yang, L.; Yang, F. Distribution-Driven Predictor Screening For Point Cloud Attribute Compression. In Proceedings of the 2022 IEEE International Conference on Image Processing (ICIP), Bordeaux, France, 16–19 October 2022; IEEE: Piscataway, NJ, USA, 2022; pp. 2966–2970. [Google Scholar]
- Dumic, E.; Bjelopera, A.; Nüchter, A. Dynamic point cloud compression based on projections, surface reconstruction and video compression. Sensors 2021, 22, 197. [Google Scholar] [CrossRef] [PubMed]
- Kim, J.; Kim, Y.H. Fast grid-based refining segmentation method in video-based point cloud compression. IEEE Access 2021, 9, 80088–80099. [Google Scholar] [CrossRef]
- Subramanyam, S.; Viola, I.; Hanjalic, A.; Cesar, P. User centered adaptive streaming of dynamic point clouds with low complexity tiling. In Proceedings of the 28th ACM International Conference on Multimedia, Seattle, WA, USA, 12–16 October 2020; pp. 3669–3677. [Google Scholar]
- Seidel, I.; Freitas, D.R.; Dorea, C.; Garcia, D.C.; Ferreira, R.U.; Higa, R.; de Queiroz, R.L.; Testoni, V. Memory-friendly segmentation refinement for video-based point cloud compression. In Proceedings of the 2021 IEEE International Conference on Image Processing (ICIP), Anchorage, AK, USA, 19–22 September 2021; IEEE: Piscataway, NJ, USA, 2021; pp. 3383–3387. [Google Scholar]
- Ahmmed, A.; Paul, M.; Murshed, M.; Taubman, D. Dynamic point cloud compression using a cuboid oriented discrete cosine based motion model. In Proceedings of the ICASSP 2021—2021 IEEE International Conference on Acoustics, Speech and Signal Processing (ICASSP), Toronto, ON, Canada, 6–11 June 2021; IEEE: Piscataway, NJ, USA, 2021; pp. 1935–1939. [Google Scholar]
- Ahmmed, A.; Paul, M.; Murshed, M.; Taubman, D. Dynamic point cloud geometry compression using cuboid based commonality modeling framework. In Proceedings of the 2021 IEEE International Conference on Image Processing (ICIP), Anchorage, AK, USA, 19–22 September 2021; IEEE: Piscataway, NJ, USA, 2021; pp. 2159–2163. [Google Scholar]
- Wang, T.; Li, F.; Cosman, P.C. Learning-based rate control for video-based point cloud compression. IEEE Trans. Image Process. 2022, 31, 2175–2189. [Google Scholar] [CrossRef] [PubMed]
- Li, L.; Li, Z.; Liu, S.; Li, H. Rate control for video-based point cloud compression. IEEE Trans. Image Process. 2020, 29, 6237–6250. [Google Scholar] [CrossRef] [PubMed]
- Ahmmed, A.; Paul, M.; Pickering, M. Dynamic point cloud texture video compression using the edge position difference oriented motion model. In Proceedings of the 2021 Data Compression Conference (DCC), Snowbird, UT, USA, 22–25 March 2022; IEEE: Piscataway, NJ, USA, 2021; p. 335. [Google Scholar]
- Xiong, J.; Gao, H.; Wang, M.; Li, H.; Lin, W. Occupancy map guided fast video-based dynamic point cloud coding. IEEE Trans. Circuits Syst. Video Technol. 2021, 32, 813–825. [Google Scholar] [CrossRef]
- Kim, J.; Im, J.; Rhyu, S.; Kim, K. 3D motion estimation and compensation method for video-based point cloud compression. IEEE Access 2020, 8, 83538–83547. [Google Scholar] [CrossRef]
- Li, L.; Li, Z.; Zakharchenko, V.; Chen, J.; Li, H. Advanced 3D motion prediction for video-based dynamic point cloud compression. IEEE Trans. Image Process. 2019, 29, 289–302. [Google Scholar] [CrossRef]
- Costa, A.; Dricot, A.; Brites, C.; Ascenso, J.; Pereira, F. Improved patch packing for the MPEG V-PCC standard. In Proceedings of the 2019 IEEE 21st International Workshop on Multimedia Signal Processing (MMSP), Kuala Lumpur, Malaysia, 27–29 September 2019; IEEE: Piscataway, NJ, USA, 2019; pp. 1–6. [Google Scholar]
- Zhu, W.; Ma, Z.; Xu, Y.; Li, L.; Li, Z. View-dependent dynamic point cloud compression. IEEE Trans. Circuits Syst. Video Technol. 2020, 31, 765–781. [Google Scholar] [CrossRef]
- Li, L.; Li, Z.; Liu, S.; Li, H. Occupancy-map-based rate distortion optimization and partition for video-based point cloud compression. IEEE Trans. Circuits Syst. Video Technol. 2020, 31, 326–338. [Google Scholar] [CrossRef]
- Rhyu, S.; Kim, J.; Im, J.; Kim, K. Contextual homogeneity-based patch decomposition method for higher point cloud compression. IEEE Access 2020, 8, 207805–207812. [Google Scholar] [CrossRef]
- Tohidi, F.; Paul, M. Dynamic Point Cloud Compression Approach Using Hexahedron Segmentation. In Proceedings of the 2023 IEEE International Conference on Image Processing (ICIP), Kuala Lumpur, Malaysia, 8–11 October 2023; IEEE: Piscataway, NJ, USA, 2023; pp. 2070–2074. [Google Scholar]
- Wang, D.; Zhu, W.; Xu, Y.; Xu, Y.; Yang, L. Visual quality optimization for view-dependent point cloud compression. In Proceedings of the 2021 IEEE International Symposium on Circuits and Systems (ISCAS), Daegu, Republic of Korea, 22–28 May 2021; IEEE: Piscataway, NJ, USA, 2021; pp. 1–5. [Google Scholar]
- Que, Z.; Lu, G.; Xu, D. Voxelcontext-net: An octree based framework for point cloud compression. 2021 IEEE. In Proceedings of the CVF Conference on Computer Vision and Pattern Recognition (CVPR), Nashville, TN, USA, 20–25 June 2021; pp. 6038–6047. [Google Scholar]
- Wei, Z.; Niu, B.; Xiao, H.; He, Y. Isolated points prediction via deep neural network on point cloud lossless geometry compression. IEEE Trans. Circuits Syst. Video Technol. 2022, 33, 407–420. [Google Scholar] [CrossRef]
- Jia, W.; Li, L.; Akhtar, A.; Li, Z.; Liu, S. Convolutional neural network-based occupancy map accuracy improvement for video-based point cloud compression. IEEE Trans. Multimed. 2021, 24, 2352–2365. [Google Scholar] [CrossRef]
- Cao, K.; Cosman, P. Denoising and inpainting for point clouds compressed by V-PCC. IEEE Access 2021, 9, 107688–107700. [Google Scholar] [CrossRef]
- Jia, W.; Li, L.; Li, Z.; Liu, S. Deep learning geometry compression artefacts removal for video-based point cloud compression. Int. J. Comput. Vis. 2021, 129, 2947–2964. [Google Scholar] [CrossRef]
- Camuffo, E.; Mari, D.; Milani, S. Recent advancements in learning algorithms for point clouds: An updated overview. Sensors 2022, 22, 1357. [Google Scholar] [CrossRef]
- Lopes, E.; Ascenso, J.; Brites, C.; Pereira, F. Adaptive plane projection for video-based point cloud coding. In Proceedings of the 2019 IEEE International Conference on Multimedia and Expo (ICME), Shanghai, China, 8–12 July 2019; IEEE: Piscataway, NJ, USA, 2019; pp. 49–54. [Google Scholar]
- Sevom, V.F.; Schwarz, S.; Gabbouj, M. Geometry-guided 3D data interpolation for projection-based dynamic point cloud coding. In Proceedings of the 2018 7th European Workshop on Visual Information Processing (EUVIP), Tampere, Finland, 26–28 November 2018; IEEE: Piscataway, NJ, USA, 2018; pp. 1–6. [Google Scholar]
- Sheikhipour, N.; Pesonen, M.; Schwarz, S.; Vadakital, V.K.M. Improved single-layer coding of volumetric data. In Proceedings of the 2019 8th European Workshop on Visual Information Processing (EUVIP), Rome, Italy, 28–31 October 2019; IEEE: Piscataway, NJ, USA, 2019; pp. 152–157. [Google Scholar]
- d’Eon, E.; Harrison, B.; Myers, T.; Chou, P.A. 8i Voxelized Full Bodies-a Voxelized Point Cloud Dataset. In ISO/IEC JTC1/SC29 Jt. WG11/WG1 (MPEG/JPEG) Input Document WG11M40059/WG1M74006; 2017; Volume 7, p. 11. Available online: http://plenodb.jpeg.org/pc/8ilabs/ (accessed on 18 June 2024).
- Xu, Y.; Lu, Y.; Wen, Z. Owlii dynamic human mesh sequence dataset. In Proceedings of the ISO/IEC JTC1/SC29/WG11 m41658, 120th MPEG Meeting, Macau, China, 23–27 October 2017; Volume 1, p. 8. [Google Scholar]
- Loop, C.; Cai, Q.; Escolano, S.O.; Chou, P.A. JPEG Pleno Database: Microsoft Voxelized Upper Bodies-A Voxelized Point Cloud Dataset. ISO/IEC JTC1/SC29 Joint WG11/WG1 (MPEG/JPEG) input document m38673/M72012. 2021. Available online: https://plenodb.jpeg.org/pc/microsoft (accessed on 18 June 2024).














| Symbol | Description |
|---|---|
| and | Minimum and maximum size of segments |
| Length of the longest axis | |
| and | Minimum and maximum number of segments |
| Distance of two points when the value of y is constant | |
| The total area of 2D projection | |
| The area of 2D projection of a slice | |
| The selected slide in the ith side | |
| The number of self-occluded points | |
| The proportion of points captured successfully | |
| Total number of points |
| Sequence | V-PCC | Proposed Method |
|---|---|---|
| Redandblack | 9.4% | 7.9% |
| Loot | 12% | 10.4% |
| Longdress | 9.8% | 8.1% |
| Soldier | 11% | 10.1% |
| Basketball Player | 10.7% | 9.9% |
| Ricardo | 9.6% | 9.5% |
| Average | 10.4% | 9.3% |
| Sequence | BD Bitrate | BD-PSNR (dB) | ||||||||
|---|---|---|---|---|---|---|---|---|---|---|
| V-PCC | [19] Cross-Section | [20] Slicing | [38] Motion Estimation | [44] Hexahedron Segmentation | V-PCC | [19] Cross-Section | [20] Slicing | [38] Motion Estimation | [44] Hexahedron Segmentation | |
| Redandblack | −15.8% | −7.8% | −11.4% | −24.0% | −15.8% | 0.53 | 0.26 | 0.39 | 0.85 | 0.54 |
| Loot | −8.8% | −4.2% | −7.4% | −18.4% | −8.0% | 0.45 | 0.18 | 0.35 | 1.04 | 0.39 |
| Longdress | −9.7% | −5.0% | −5.1% | −23.4% | −7.3% | 0.44 | 0.21 | 0.20 | 1.1 | 0.32 |
| Soldier | −9.4% | −6.6% | −2.8% | −1.2% | −6.7% | 0.54 | 0.32 | 0.15 | 0.45 | 0.41 |
| Basketball Player | −15.8% | −7.8% | −11.4% | −17.0% | −12.9% | 0.53 | 0.26 | 0.39 | 0.61 | 0.42 |
| Ricardo | −16.9% | −6.5% | −11.3% | −27.5% | −15.3% | 0.44 | 0.17 | 0.30 | 0.76 | 0.40 |
| Average | −12.7% | −6.3% | −8.2% | −18.6% | −11.0% | 0.49 | 0.23 | 0.30 | 0.80 | 0.41 |
| Sequence | BD Bitrate | BD-PSNR (dB) | ||||||||
|---|---|---|---|---|---|---|---|---|---|---|
| V-PCC | [19] Cross-Section | [20] Slicing | [38] Motion Estimation | [44] Hexahedron Segmentation | V-PCC | [19] Cross-Section | [20] Slicing | [38] Motion Estimation | [44] Hexahedron Segmentation | |
| Redandblack | −15.4% | −9.1% | −12.1% | −27.8% | −13.8% | 0.62 | 0.38 | 0.51 | 1.18 | 0.56 |
| Loot | −12.1% | −3.2% | −7.2% | −21.2% | −9.9% | 0.67 | 0.18 | 0.41 | 1.03 | 0.55 |
| Longdress | −9.2% | −5.0% | −6.1% | −24.9% | −7.5% | 0.41 | 0.20 | 0.23 | 1.18 | 0.34 |
| Soldier | −10.1% | −6.9% | −3.3% | −0.3% | −8.5% | 0.48 | 0.29 | 0.13 | 0.18 | 0.42 |
| Basketball Player | −15.3% | −9.1% | −12.1% | −20.1% | −13.9% | 0.62 | 0.38 | 0.51 | 0.92 | 0.56 |
| Ricardo | −11.2% | −2.7% | −7.0% | −30.4% | −9.3% | 0.31 | 0.07 | 0.20 | 0.86 | 0.25 |
| Average | −12.2% | −6.0% | −7.9% | −20.8% | −10.5% | 0.52 | 0.25 | 0.33 | 0.89 | 0.45 |
| Sequence | BD Bitrate | BD-PSNR (dB) | ||||||||
|---|---|---|---|---|---|---|---|---|---|---|
| V-PCC | [19] Cross-Section | [20] Slicing | [38] Motion Estimation | [44] Hexahedron Segmentation | V-PCC | [19] Cross-Section | [20] Slicing | [38] Motion Estimation | [44] Hexahedron Segmentation | |
| Redandblack | −13.3% | −6.1% | −9.6% | −24.6% | −11.7% | 0.51 | 0.23 | 0.37 | 1.08 | 0.44 |
| Loot | −13.9% | −6.0% | −7.5% | −24.2% | −11.8% | 0.57 | 0.29 | 0.30 | 1.12 | 0.48 |
| Longdress | −18.4% | −10.6% | −14.0% | −29.0% | −16.4% | 0.75 | 0.43 | 0.57 | 1.22 | 0.67 |
| Soldier | −16.5% | −9.0% | −9.1% | −2.4% | −17.0% | 0.67 | 0.36 | 0.37 | 0.15 | 0.69 |
| Basketball Player | −13.3% | −6.1% | −9.6% | −20.6% | −16.8% | 0.51 | 0.23 | 0.36 | 0.89 | 0.66 |
| Ricardo | −14.2% | −6.6% | −10.3% | −26.1% | −16.6% | 0.50 | 0.22 | 0.37 | 1.06 | 0.62 |
| Average | −14.9% | −7.4% | −10.0% | −21.1% | −15.0% | 0.58 | 0.29 | 0.39 | 0.92 | 0.59 |
| Sequence | Step 1 Cross-Section | Step2 Slicing | Total Extra Time |
|---|---|---|---|
| Redandblack | 2.90% | 6.50% | 9.40% |
| Loot | 2.50% | 5.20% | 7.70% |
| Longdress | 3.20% | 6.60% | 9.80% |
| Soldier | 3.45% | 6.55% | 10.00% |
| Basketball Player | 2.65% | 5.50% | 8.15% |
| Ricardo | 2.15% | 5.95% | 8.10% |
| Average | 2.81% | 6.05% | 8.86% |
Disclaimer/Publisher’s Note: The statements, opinions and data contained in all publications are solely those of the individual author(s) and contributor(s) and not of MDPI and/or the editor(s). MDPI and/or the editor(s) disclaim responsibility for any injury to people or property resulting from any ideas, methods, instructions or products referred to in the content. |
© 2024 by the authors. Licensee MDPI, Basel, Switzerland. This article is an open access article distributed under the terms and conditions of the Creative Commons Attribution (CC BY) license (https://creativecommons.org/licenses/by/4.0/).
Share and Cite
Tohidi, F.; Paul, M.; Ulhaq, A.; Chakraborty, S. Improved Video-Based Point Cloud Compression via Segmentation. Sensors 2024, 24, 4285. https://doi.org/10.3390/s24134285
Tohidi F, Paul M, Ulhaq A, Chakraborty S. Improved Video-Based Point Cloud Compression via Segmentation. Sensors. 2024; 24(13):4285. https://doi.org/10.3390/s24134285
Chicago/Turabian StyleTohidi, Faranak, Manoranjan Paul, Anwaar Ulhaq, and Subrata Chakraborty. 2024. "Improved Video-Based Point Cloud Compression via Segmentation" Sensors 24, no. 13: 4285. https://doi.org/10.3390/s24134285
APA StyleTohidi, F., Paul, M., Ulhaq, A., & Chakraborty, S. (2024). Improved Video-Based Point Cloud Compression via Segmentation. Sensors, 24(13), 4285. https://doi.org/10.3390/s24134285

