The Highly Sensitive Refractive Index Sensing of Seawater Based on a Large Lateral Offset Mach–Zehnder Interferometer
Abstract
1. Introduction
2. Theoretical Analysis
3. Design of the Sensor
3.1. Optimization of the Sensor
3.2. Simulation of Sensor Transmission Spectrum
4. Experiment and Discussion
4.1. Fabrication of Fiber-Optic Sensor
4.2. Experimental Procedures
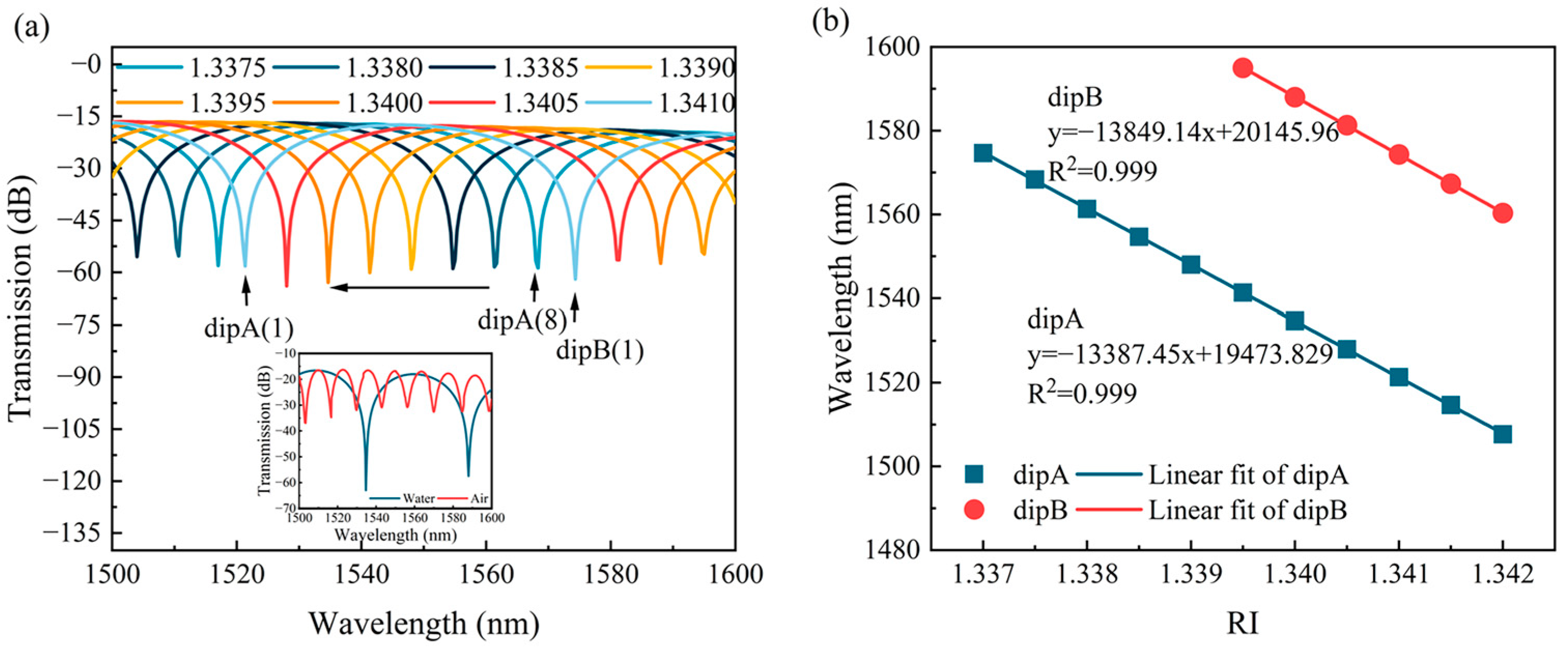
4.3. Results and Discussions
5. Conclusions
Author Contributions
Funding
Institutional Review Board Statement
Informed Consent Statement
Data Availability Statement
Conflicts of Interest
References
- Seiichi Serikawa, Y.; Takahashi, S.; Serikawa, S. Cognitive ocean of things: A comprehensive review and future trends. Wirel. Netw. 2022, 28, 917–926. [Google Scholar]
- Min, R.; Liu, Z.; Pereira, L.; Yang, C.; Sui, Q.; Marques, C. Optical fiber sensing for marine environment and marine structural health monitoring: A review. Opt. Laser Technol. 2021, 140, 107082. [Google Scholar] [CrossRef]
- Walls, L.G.; Reusch, T.; Clemmesen, C.; Ory, N.C. Effects of changing environmental conditions on plastic ingestion and feeding ecology of a benthopelagic fish (Gadus morhua) in the Southwest Baltic Sea. Mar. Pollut. Bull. 2022, 182, 114001. [Google Scholar] [CrossRef] [PubMed]
- Cai, W.; Wang, G.; Dewitte, B.; Wu, L.; Santoso, A.; Takahashi, K.; Yang, Y.; Carréric, A.; McPhaden, M.J. Increased variability of eastern Pacific El Niño under greenhouse warming. Nature 2018, 564, 201–206. [Google Scholar] [CrossRef] [PubMed]
- Gu, L.; He, X.; Zhang, M.; Lu, H. Advances in the Technologies for Marine Salinity Measurement. J. Mar. Sci. Eng. 2022, 10, 2024. [Google Scholar] [CrossRef]
- Jijesh, J.J.; Shivashankar; Susmitha, M.; Bhanu, M.; Sindhanakeri, P. Development of a CTD Sensor Subsystem for Oceanographic Application. In Proceedings of the 2017 2nd IEEE International Conference on Recent Trends in Electronics, Information & Communication Technology (RTEICT), Bangalore, India, 19–20 May 2017; pp. 1487–1492. [Google Scholar]
- De Robertis, A.; Handegard, N.O. Fish avoidance of research vessels and the efficacy of noise-reduced vessels: A review. ICES J. Mar. Sci. 2013, 70, 34–45. [Google Scholar] [CrossRef]
- Rudnick, D.L. Ocean Research Enabled by Underwater Gliders. Annu. Rev. Mar. Sci. 2016, 8, 519–541. [Google Scholar] [CrossRef] [PubMed]
- Wynn, R.B.; Huvenne, V.A.I.; Le Bas, T.P.; Murton, B.J.; Connelly, D.P.; Bett, B.J.; Ruhl, H.A.; Morris, K.J.; Peakall, J.; Parsons, D.R.; et al. Autonomous Underwater Vehicles (AUVs): Their past, present and future contributions to the advancement of marine geoscience. Mar. Geol. 2014, 352, 451–468. [Google Scholar] [CrossRef]
- Shadpour, H.; Hupert, M.L.; Patterson, D.; Liu, C.; Galloway, M.; Stryjewski, W.; Goettert, J.; Soper, S.A. Multichannel Microchip Electrophoresis Device Fabricated in Polycarbonate with an Integrated Contact Conductivity Sensor Array. Anal. Chem. 2007, 79, 870–878. [Google Scholar] [CrossRef]
- Fry, X.Q.; Fry, E.S. Empirical equation for the index of refraction of seawater. Appl. Opt. 1995, 34, 3477–3480. [Google Scholar]
- Li, G.; Wang, Y.; Shi, A.; Liu, Y.; Li, F. Review of Seawater Fiber Optic Salinity Sensors Based on the Refractive Index Detection Principle. Sensors 2023, 23, 2187. [Google Scholar] [CrossRef] [PubMed]
- Liang, H.; Wang, J.; Zhang, L.; Liu, J.; Wang, S. Review of Optical Fiber Sensors for Temperature, Salinity, and Pressure Sensing and Measurement in Seawater. Sensors 2022, 22, 5363. [Google Scholar] [CrossRef] [PubMed]
- Cai, J.; Liu, Y.; Shu, X. Long-Period Fiber Grating Sensors for Chemical and Biomedical Applications. Sensors 2023, 23, 542. [Google Scholar] [CrossRef] [PubMed]
- Dandapat, K.; Tripathi, S.M.; Chinifooroshan, Y.; Bock, W.J.; Mikulic, P. Compact and cost-effective temperature-insensitive bio-sensor based on long-period fiber gratings for accurate detection of E. coli bacteria in water. Opt. Lett. 2016, 41, 4198–4201. [Google Scholar] [CrossRef] [PubMed]
- Liu, C.; Cai, Q.; Xu, B.; Zhu, W.; Zhang, L.; Zhao, J.; Chen, X. Graphene oxide functionalized long period grating for ultrasensitive label-free immunosensing. Biosens. Bioelectron. 2017, 94, 200–206. [Google Scholar] [CrossRef]
- Del, V.I.; Cruz, J.L.; Socorro, A.B.; Corres, J.M.; Matias, I.R. Sensitivity optimization with cladding-etched long period fiber gratings at the dispersion turning point. Opt. Express 2016, 24, 17680–17685. [Google Scholar]
- Piestrzyńska, M.; Dominik, M.; Kosiel, K.; Janczuk-Richter, M.; Szot-Karpińska, K.; Brzozowska, E.; Shao, L.; Niedziółka-Jonsson, J.; Bock, W.J.; Śmietana, M. Ultrasensitive tantalum oxide nano-coated long-period gratings for detection of various biological targets. Biosens. Bioelectron. 2019, 133, 8–15. [Google Scholar] [CrossRef] [PubMed]
- Wang, X.; Wang, J.; Wang, S.; Liao, Y. Fiber-Optic Salinity Sensing With a Panda-Microfiber-Based Multimode Interferometer. J. Light. Technol. 2017, 35, 5086–5091. [Google Scholar] [CrossRef]
- Urrutia, A.; Del Villar, I.; Zubiate, P.; Zamarreño, C.R. A Comprehensive Review of Optical Fiber Refractometers: Toward a Standard Comparative Criterion. Laser Photonics Rev. 2019, 13, 1900094. [Google Scholar] [CrossRef]
- Yu, F.; Xue, P.; Zheng, J. Study of a large lateral core-offset in-line fiber modal interferometer for refractive index sensing. Opt. Fiber Technol. 2019, 47, 107–112. [Google Scholar] [CrossRef]
- Niu, P.; Jiang, J.; Wang, S.; Liu, K.; Ma, Z.; Zhang, Y.; Chen, W.; Liu, T. Optical fiber laser refractometer based on an open microcavity Mach-Zehnder interferometer with an ultra-low detection limit. Opt. Express 2020, 28, 30570–30585. [Google Scholar] [CrossRef]
- Zhao, Y.; Zhang, Y.; Hu, H.; Yang, Y.; Lei, M.; Wang, S. High-sensitive Mach-Zehnder interferometers based on no-core optical fiber with large lateral offset. Sens. Actuators A Phys. 2018, 281, 9–14. [Google Scholar] [CrossRef]
- Mu, X.; Yang, Y.; Wang, J.; Bi, L. High sensitive Mach-Zehnder interferometer for seawater refractive index measurement. Ferroelectrics 2022, 595, 27–34. [Google Scholar] [CrossRef]
- Dong, X.; Zeng, L.; Chu, D.; Sun, X.; Duan, J. Highly sensitive refractive index sensing based on a novel Mach-Zehnder interferometer with TCF-PCF composite structure. Infrared Phys. Technol. 2022, 123, 104134. [Google Scholar] [CrossRef]
- Xu, W.; Yang, X.; Zhang, C.; Shi, J.; Xu, D.; Zhong, K.; Yang, K.; Li, X.; Fu, W.; Liu, T.; et al. All-fiber seawater salinity sensor based on fiber laser intracavity loss modulation with low detection limit. Opt. Express 2019, 27, 1529. [Google Scholar] [CrossRef]
- Cheng, P.; Yang, M.; Hu, W.; Guo, D.; Du, C.; Luo, X.; Mumtaz, F. Refractive index interferometer based on SMF-MMF-TMCF-SMF structure with low temperature sensitivity. Opt. Fiber Technol. 2020, 57, 102233. [Google Scholar] [CrossRef]
- Lin, Z.; Lv, R.; Zhao, Y.; Zheng, H.; Wang, X. High-sensitivity special open-cavity Mach-Zehnder structure for salinity measurement based on etched double-side hole fiber. Opt. Lett. 2021, 46, 2714–2717. [Google Scholar] [CrossRef]
- Zheng, H.; Lv, R.; Zhao, Y.; Tong, R.; Lin, Z.; Wang, X.; Zhou, Y.; Zhao, Q. Multifunctional optical fiber sensor for simultaneous measurement of temperature and salinity. Opt. Lett. 2020, 45, 6631–6634. [Google Scholar] [CrossRef] [PubMed]
- Gao, S.; Zhang, W.; Bai, Z.; Zhang, H.; Geng, P.; Lin, W.; Li, J. Ultrasensitive Refractive Index Sensor Based on Microfiber-Assisted U-Shape Cavity. IEEE Photonics Technol. Lett. 2013, 25, 1815–1818. [Google Scholar] [CrossRef]
- Wang, B.; Wang, Q. An interferometric optical fiber biosensor with high sensitivity for IgG/anti-IgG immunosensing. Opt. Commun. 2018, 426, 388–394. [Google Scholar] [CrossRef]
- Pang, B.; Gu, Z.; Ling, Q.; Wu, W.; Zhou, Y. Simultaneous measurement of temperature and surrounding refractive index by superimposed coated long period fiber grating and fiber Bragg grating sensor based on mode barrier region. Optik 2020, 220, 165136. [Google Scholar] [CrossRef]
- Zeng, L.; Dong, X.; Sun, X.; Duan, J.A. Highly sensitive refractive index sensing based on PCF modal interferometer. Optik 2022, 251, 168360. [Google Scholar] [CrossRef]











| Application | Sensor | Advantageous Interferometer Type | Measurement Range | Sensitivity | Ref. |
|---|---|---|---|---|---|
| RI sensor | Tapered seven-core fiber | MZI | 1.3330–1.3451 | 1435.76 nm/RIU | [27] |
| Salinity sensor | SMF-MMF-etched DSHF-MMF-SMF | MZI | 0–40‰ (1.3313–1.3395) | −2 nm/‰ (−10,872 nm/RIU) | [28] |
| Salinity sensor | SMF-OFFSET-SMF-SMF | MZI | 20–40‰ | −2.4473 nm/‰ (~−15,000 nm/RIU) | [29] |
| RI sensor | Microfiber-Assisted U-Shape Cavity | MZI | 1.3197–1.3250, 1.3434–1.3475 | −8449 nm/RIU, −13,245 nm/RIU | [30] |
| RI sensor | SMF-OFFSET-SMF-SMF | MZI | 1.3328–1.3398 | 13,936 nm/RIU | [31] |
| RI sensor | Superimposed coated LPG-FBG | LPFG-FBG | 1.3300–1.3420 | 2326.7 nm/RIU | [32] |
| RI sensor | PCF-MMI | MMI-PCF | 1.3330–1.3775 | 342.78 nm/RIU | [33] |
| RI sensor | SM-OSNS | MZI | 1.3370–1.3410 | −13,703 nm/RIU | This paper |
Disclaimer/Publisher’s Note: The statements, opinions and data contained in all publications are solely those of the individual author(s) and contributor(s) and not of MDPI and/or the editor(s). MDPI and/or the editor(s) disclaim responsibility for any injury to people or property resulting from any ideas, methods, instructions or products referred to in the content. |
© 2024 by the authors. Licensee MDPI, Basel, Switzerland. This article is an open access article distributed under the terms and conditions of the Creative Commons Attribution (CC BY) license (https://creativecommons.org/licenses/by/4.0/).
Share and Cite
Zhou, J.; Sun, Y.; Liu, H.; Li, H.; Wang, Y.; Jiang, J.; Xu, D.; Yao, J. The Highly Sensitive Refractive Index Sensing of Seawater Based on a Large Lateral Offset Mach–Zehnder Interferometer. Sensors 2024, 24, 3887. https://doi.org/10.3390/s24123887
Zhou J, Sun Y, Liu H, Li H, Wang Y, Jiang J, Xu D, Yao J. The Highly Sensitive Refractive Index Sensing of Seawater Based on a Large Lateral Offset Mach–Zehnder Interferometer. Sensors. 2024; 24(12):3887. https://doi.org/10.3390/s24123887
Chicago/Turabian StyleZhou, Jingwen, Yue Sun, Haodong Liu, Haibin Li, Yuye Wang, Junfeng Jiang, Degang Xu, and Jianquan Yao. 2024. "The Highly Sensitive Refractive Index Sensing of Seawater Based on a Large Lateral Offset Mach–Zehnder Interferometer" Sensors 24, no. 12: 3887. https://doi.org/10.3390/s24123887
APA StyleZhou, J., Sun, Y., Liu, H., Li, H., Wang, Y., Jiang, J., Xu, D., & Yao, J. (2024). The Highly Sensitive Refractive Index Sensing of Seawater Based on a Large Lateral Offset Mach–Zehnder Interferometer. Sensors, 24(12), 3887. https://doi.org/10.3390/s24123887

