Nitrophenyl Thiourea-Modified Polyethylenimine Colorimetric Sensor for Sulfate, Fluorine, and Acetate
Abstract
1. Introduction
2. Materials and Methods
2.1. Materials
2.2. Methods
2.2.1. Fourier-Transform Infrared (FT-IR) Spectroscopy
2.2.2. Nuclear Magnetic Resonance (NMR) Spectroscopy
2.2.3. UV/vis Absorption Titration
2.2.4. Absorption Titrations and Hill Plots [40]
2.2.5. Solubility Test
2.2.6. Test Paper Experiment
3. Results and Discussion
3.1. FT-IR Analysis
3.2. 1H NMR Analysis
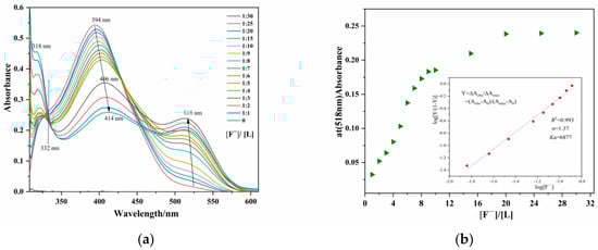
3.3. UV/vis Spectrophotometric Titration
3.4. Recognition Performance
3.5. Hill Plots
3.6. Solubility of NTU−PEI
3.7. Test Paper Experiment Analysis
4. Recognition Mechanism
5. Conclusions
Author Contributions
Funding
Institutional Review Board Statement
Informed Consent Statement
Data Availability Statement
Acknowledgments
Conflicts of Interest
References
- Amendola, V.; Fabbrizzi, L.; Mosca, L. Anion recognition by hydrogen bonding: Urea-based receptors. Chem. Soc. Rev. 2010, 39, 3889–3915. [Google Scholar] [CrossRef]
- Gale, P.A.; Howe, E.N.; Wu, W.X. Anion receptor chemistry. Chem 2016, 1, 351–422. [Google Scholar] [CrossRef]
- Wenzel, M.; Weigan, J.J. Recent advances in anion recognition. J. Incl. Phenom. Macrocycl. Chem. 2017, 89, 247–251. [Google Scholar] [CrossRef]
- Li, A.F.; Wang, J.H.; Wang, F.; Jiang, Y.B. Anion complexation and sensing using modified urea and thiourea-based receptors. Chem. Soc. Rev. 2010, 39, 3729–3745. [Google Scholar] [CrossRef] [PubMed]
- Chauhan, S.M.S.; Bisht, T.; Garg, B. Anion sensing by Phenazine-based urea/thiourea receptors. Tetrahedron Lett. 2008, 49, 6646–6649. [Google Scholar] [CrossRef]
- Pandurangan, K.; Kitchen, J.A.; Gunnlaugsson, T. Colorimetric “naked eye” sensing of anions using at hiosemicarbazide receptor: A case study of recognition through hydrogen bonding versus deprotonation. Tetrahedron Lett. 2013, 54, 2770–2775. [Google Scholar] [CrossRef]
- Yang, L.; Liu, Y.L.; Liu, C.G.; Fu, Y.; Ye, F. A naked-eye visible colorimetric and ratiometric chemosensor based on Schiff base for fluoride anion detection. J. Mol. Struct. 2021, 1236, 130343–130350. [Google Scholar] [CrossRef]
- Lane, J.D.E.; Shiels, G.; Ramamurthi, P.; Müllner, M.; Jolliffe, K.A. Water-Soluble Squaramide-Functionalized Copolymers for Anion Recognition. Macromol. Rapid Commun. 2023, 202300406–202300414. [Google Scholar] [CrossRef]
- Bregović, V.B.; Basarić, N. Anion binding with urea and thiourea Derivatives. Coord. Chem. Rev. 2015, 295, 80–124. [Google Scholar] [CrossRef]
- Kang, J.; Lee, Y.J.; Lee, S.K.; Lee, J.H.; Park, J.J.; Kim, Y.; Kim, S.J.; Kim, C. A naked-eye detection of fluoride with urea/thiourea receptors which have both a benzophenone group and a nitrophenyl group as a signalling group. Supramol. Chem. 2010, 22, 26–273. [Google Scholar] [CrossRef]
- Jose, D.A.; Kumar, D.K.; Ganguly, B.; Das, A. Efficient and Simple Colorimetric Fluoride Ion Sensor Based on Receptors Having Urea and Thiourea Binding Sites. Org. Lett. 2004, 6, 3445–3448. [Google Scholar] [CrossRef] [PubMed]
- Piatek, P.; Jurezak, J. A selective colorimetric anion sensor based on an amide group containing macrocycle. Chem. Commun. 2002, 2450–2452. [Google Scholar] [CrossRef] [PubMed]
- Bonizzoni, M.; Fabbrizzi, L.; Taglietti, A.; Tiengo, F. (Benzylideneamino)thioureas—Chromogenic Interactions with Anions and N–H Deprotonation. Eur. J. Org. Chem. 2006, 16, 3567–3574. [Google Scholar] [CrossRef]
- Amendola, V.; Esteban-Gómez, D.; Fabbrizzi, L.; Licchelli, M. What anions do to N-H-containing receptors. Acc. Chem. Res. 2006, 39, 343–353. [Google Scholar] [CrossRef]
- Ghiorghita, C.-A.; Borchert, K.B.L.; Vasiliu, A.-L.; Zaharia, M.-M.; Schwarz, D.; Mihai, M. Porous thiourea-grafted-chitosan hydrogels: Synthesis and sorption of toxic metal ions from contaminated waters. Colloids Surf. A Physicochem. Eng. Asp. 2020, 607, 125504. [Google Scholar] [CrossRef]
- Gao, X.; Zhang, Y.; Zhao, Y. Biosorption and reduction of Au (III) to gold nanoparticles by thiourea modified alginate. Carbohydr. Polym. 2017, 159, 108–115. [Google Scholar] [CrossRef] [PubMed]
- Bondock, S.; El-Zahhar, A.A.; Alghamdi, M.M.; Keshk, S.M. Synthesis and evaluation of N-allylthiourea-modified chitosan for adsorptive removal of arsenazo III dye from aqueous solutions. Int. J. Biol. Macromol. 2019, 137, 107–118. [Google Scholar] [CrossRef]
- Rouzi, K.; Abulikemu, A.; Zhao, J.; Wu, B. A study on the synthesis and anion recognition of a chitosan-urea receptor. RSC Adv 2017, 7, 50920–50927. [Google Scholar] [CrossRef]
- Li, Y.; Tian, H.; Ding, J.; Dong, X.; Chen, J.; Chen, X. Thiourea modified polyethylenimine for efficient gene delivery mediated by the combination of electrostatic interactions and hydrogen bonds. Polym. Chem. 2014, 5, 3598–3607. [Google Scholar] [CrossRef]
- Shao, H.; Ding, Y.; Hong, X.; Liu, Y. Ultra-facile and rapid colorimetric detection of Cu2+ with branched polyethylenimine in 100% aqueous solution. Analyst 2018, 143, 409–414. [Google Scholar] [CrossRef]
- Privar, Y.; Malakhova, I.; Pestov, A.; Fedorets, A.; Azarova, Y.; Schwarz, S.; Bratskaya, S. Polyethyleneimine cryogels for metal ions sorption. Chem. Eng. J. 2018, 334, 1392–1398. [Google Scholar] [CrossRef]
- Xu, X.; Pejcic, B.; Heath, C.; Wood, C.D. Carbon capture with polyethylenimine hydrogel beads (PEI HBs). J. Mater. Chem. A 2018, 6, 21468–21474. [Google Scholar] [CrossRef]
- Zhu, J.; Li, H.; Xiong, Z.; Shen, M.; Conti, P.S.; Shi, X.; Chen, K. Polyethyleneimine-Coated Manganese Oxide Nanoparticles for Targeted Tumor PET/MR Imaging. ACS Appl. Mater. Interfaces 2018, 10, 34954–34964. [Google Scholar] [CrossRef] [PubMed]
- Ghiorghita, C.-A.; Bucatariu, F.; Dragan, E.S. Sorption/release of diclofenac sodium in/from free-standing poly(acrylic acid)/poly(ethyleneimine) multilayer films. J. Appl. Polym. Sci. 2016, 133, 43752. [Google Scholar] [CrossRef]
- Bucatariu, F.; Ghiorghita, C.A.; Zaharia, M.M.; Schwarz, S.; Simon, F.; Mihai, M. Removal and Separation of Heavy Metal Ions from Multicomponent Simulated Waters Using Silica/Polyethyleneimine Composite Microparticles. ACS Appl. Mater. Interfaces 2020, 12, 37585–37596. [Google Scholar] [CrossRef] [PubMed]
- Xu, N.; Zhu, Q.; Kong, X.-Y.; Meng, L. A sensitive detection of Cr(VI) in wide pH range using polyethyleneimine protected silver nanoclusters. Anal. Methods 2016, 8, 5684–5689. [Google Scholar] [CrossRef]
- Şen, F.B.; Beĝiç, N.; Bener, M.; Apak, R. Fluorescence turn-off sensing of TNT by polyethylenimine capped carbon quantum dots. Spectrochim. Acta Part A Mol. Biomol. Spectrosc. 2022, 271, 120884–120895. [Google Scholar] [CrossRef] [PubMed]
- Cai, Z.; Wu, L.; Xi, J.; Hao, E.; Qi, K. Green and facile synthesis of polyethyleneimine-protected fluorescent silver nanoclusters for the highly specific biosensing of curcumin. Colloids Surf. A Physicochem. Eng. Asp. 2021, 615, 126228–126235. [Google Scholar] [CrossRef]
- Saini, A.K.; Jali, B.R.; Sahoo, S.K. Polyethyleneimine-based fluorescent polymeric nanoparticles: Synthesis and application in fluorescence sensing of pH and para-nitrophenol. New J. Chem. 2023, 47, 9250–9256. [Google Scholar] [CrossRef]
- Gou, X.; Li, Y.; Ahmad, Z.; Zhu, X.; Chen, J. Thiolated Polyethyleneimine-Based Polymer Sponge for Selective Removal of Hg2+ from Aqueous Solution. ACS Omega 2021, 6, 31955–31963. [Google Scholar] [CrossRef]
- Xanthopoulou, M.; Giliopoulos, D.; Tzollas, N.; Triantafyllidis, K.S.; Kostoglou, M.; Katsoyiannis, I.A. Phosphate Removal Using Polyethylenimine Functionalized Silica-Based Materials. Sustainability 2021, 13, 1502. [Google Scholar] [CrossRef]
- Xanthopoulou, M.; Katsoyiannis, I.A. Enhanced Adsorption of Chromate and Arsenate Ions from Contaminated Water with Emphasis on Polyethylenimine Modified Materials: A Review. Separations 2023, 10, 441. [Google Scholar] [CrossRef]
- Hussain, D.; Musharraf, S.G.; Fatima, B.; Saeed, A.; Jabeen, F.; Ashiq, M.N.; Najam-ul-Haq, M. Magnetite nanoparticles coated with chitosan and polyethylenimine as anion exchanger for sorptive enrichment of phosphopeptides. Microchim. Acta 2019, 186, 852. [Google Scholar] [CrossRef] [PubMed]
- Shirakura, T.; Ray, A.; Kopelman, R. Polyethylenimine incorporation into hydrogel nanomatrices for enhancing nanoparticle-assisted chemotherapy. RSC Adv. 2016, 6, 48016–48024. [Google Scholar] [CrossRef]
- Azevedo, M.M.; Ramalho, P.; Silva, A.P.; Teixeira-Santos, R.; Pina-Vaz, C.; Rodrigues, A.G. Polyethyleneimine and polyethyleneimine-based nanoparticles: Novel bacterial and yeast biofilm inhibitors. J. Med. Microbiol. 2014, 63, 1167–1173. [Google Scholar] [CrossRef] [PubMed]
- Chrószcz, M.; Barszczewska-Rybarek, I. Nanoparticles of Quaternary Ammonium Polyethylenimine Derivatives for Application in Dental Materials. Polymer 2020, 12, 2551. [Google Scholar] [CrossRef] [PubMed]
- Wang, J.; Ke, C.; Jia, X.; Ma, C.; Liu, X.; Qiao, W.; Ling, L. Polyethyleneimine-functionalized mesoporous carbon nanosheets as metal-free catalysts for the selective oxidation of H2S at room temperature. Appl. Catal. B 2021, 283, 119650. [Google Scholar] [CrossRef]
- Ghiorghita, C.-A.; Ghimici, L.; Ailiesei, G.-L. Synthesis of thiourea-Graft-Polyethyleneimine and Its Performance in Flocculation of Some Inorganic Particles. Ind. Eng. Chem. Res. 2021, 60, 5167–5175. [Google Scholar] [CrossRef]
- Nagai, D.; Yoshida, M.; Kishi, T.; Morinaga, H.; Hara, Y.; Mori, M.; Kawakami, S.; Inoue, K. A facile and high-recovery material for rare-metals based on a water-soluble polyallylamine with side-chain thiourea groups. Chem. Commun. 2013, 49, 6852–6854. [Google Scholar] [CrossRef]
- Su, M.J.; Wan, W.; Yong, X.; Lu, X.W.; Liu, R.Y.; Qu, J.Q. Urea-based polyacetylenes as an optical sensor for fluoride ions. Chin. J. Polym. Sci. 2013, 31, 620–629. [Google Scholar]
- Idris, S.A.; Mkhatresh, O.A.; Heatley, F. Assignment of 1H NMR spectrum and investigation of oxidative degradation of poly(ethylenimine) using 1H and 13C 1-D and 2-D NMR. Polym. Int. 2006, 55, 1040–1048. [Google Scholar] [CrossRef]
- Lin, Y.-C.; Wang, H.-P.; Gohar, F.; Ullah, M.H.; Zhang, X.; Xie, D.-F.; Fang, H.; Huang, J.; Yang, J.-X. Preparation and copper ions adsorption properties of thiosemicarbazide chitosan from squid pens. Int. J. Biol. Macromol. 2017, 95, 476–483. [Google Scholar] [CrossRef]
- Yu, H.-B.; Wen, J.; Zhang, L.-F.; Zhan, N.-N.; Teng, H.-K.; Zhou, L.-S.; Zhao, J.; Fang, W.-J. Hyperbranched polyethyleneimine for high-effective oil-water separation. J. Petrol. Sci. Eng. 2022, 213, 110403–110410. [Google Scholar] [CrossRef]
- Holycross, D.R.; Chai, M. Comprehensive NMR Studies of the Structures and Properties of PEI Polymers. Macromolecules 2013, 46, 6891–6897. [Google Scholar] [CrossRef]
- Misra, A.; Shahid, M.; Dwivedi, P. An efficient thiourea-based colorimetric chemosensor for naked-eye recognition of fluoride and acetate anions: UV–vis and 1HNMR studies. Talanta 2009, 80, 532–538. [Google Scholar] [CrossRef] [PubMed]
- Zhao, L.Y.; Wang, G.K.; Chen, J.H.; Zhang, L.M.; Liu, B.; Zhang, J.F.; Zhao, Q.H.; Zhou, Y. 1,8-Naphthalimide-based visible colorimetric sensor for the selective sensing of fluoride, acetate and hydroxyl anions. J. Fluorine Chem. 2014, 158, 53–59. [Google Scholar] [CrossRef]
- Ahmet, O.; Erdemir, S.; Kocyigit, O. ‘Naked-eye’ detection of fluoride and acetate anions by using simple and efficient urea and thiourea based colorimetric sensors. J. Mol. Struct. 2013, 1048, 392–398. [Google Scholar]
- Takeuchi, M.; Ikeda, M.; Sugasaki, A.; Shinkai, S. Molecular design of artificial molecular and ion recognition systems with allosteric guest responses. Acc. Chem. Res. 2001, 34, 865–873. [Google Scholar] [CrossRef]











| Receptor | Association Constant Ka (M−1) a | ||||||||
|---|---|---|---|---|---|---|---|---|---|
| F− | CI− | Br− | I− | NO3− | SO42− | PF6− | H2PO4− | AcO− | |
| L | 6.87× 103 | n.d c | n.d c | n.d c | n.d c | 7.19 × 103 | n.d c | n.d c | 2.38 × 103 |
| Samples | Solubility a | |||||
|---|---|---|---|---|---|---|
| DMSO | DMF | H2O | CH2Cl2 | C2H5OH | CH3CN | |
| PEI | − | + | + | + | + | + |
| NTU-PEI | + | + | + | ± | − | − |
Disclaimer/Publisher’s Note: The statements, opinions and data contained in all publications are solely those of the individual author(s) and contributor(s) and not of MDPI and/or the editor(s). MDPI and/or the editor(s) disclaim responsibility for any injury to people or property resulting from any ideas, methods, instructions or products referred to in the content. |
© 2024 by the authors. Licensee MDPI, Basel, Switzerland. This article is an open access article distributed under the terms and conditions of the Creative Commons Attribution (CC BY) license (https://creativecommons.org/licenses/by/4.0/).
Share and Cite
Kuerbanjiang, K.; Rouzi, K.; Zhang, S.-Y. Nitrophenyl Thiourea-Modified Polyethylenimine Colorimetric Sensor for Sulfate, Fluorine, and Acetate. Sensors 2024, 24, 3751. https://doi.org/10.3390/s24123751
Kuerbanjiang K, Rouzi K, Zhang S-Y. Nitrophenyl Thiourea-Modified Polyethylenimine Colorimetric Sensor for Sulfate, Fluorine, and Acetate. Sensors. 2024; 24(12):3751. https://doi.org/10.3390/s24123751
Chicago/Turabian StyleKuerbanjiang, Kediye, Kuerbanjiang Rouzi, and Si-Yu Zhang. 2024. "Nitrophenyl Thiourea-Modified Polyethylenimine Colorimetric Sensor for Sulfate, Fluorine, and Acetate" Sensors 24, no. 12: 3751. https://doi.org/10.3390/s24123751
APA StyleKuerbanjiang, K., Rouzi, K., & Zhang, S.-Y. (2024). Nitrophenyl Thiourea-Modified Polyethylenimine Colorimetric Sensor for Sulfate, Fluorine, and Acetate. Sensors, 24(12), 3751. https://doi.org/10.3390/s24123751

