A Wearable Visually Impaired Assistive System Based on Semantic Vision SLAM for Grasping Operation
Abstract
1. Introduction
2. Wearable Visually Impaired Assistive System
2.1. System Requirements
- (1)
- Construction of a sparse map and a semantic map.
- (2)
- Relocalization based on a sparse map.
- (3)
- Accuracy and stability.
- (4)
- User interface.
2.2. System Architecture
- (1)
- SLAM mode in an unknown environment.
- (2)
- Relocalization mode in a known environment.
2.3. Hardware Settings
2.4. Algorithm Description
- ORB-SLAM2
- YOLO V5s
- Semantic SLAM
3. Algorithm Verification
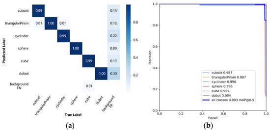
3.1. Performance of Object Detection with YOLO V5s
3.1.1. Dataset Preparation
3.1.2. Model Training
3.1.3. Model Deployment and Target Detection
3.2. Performance of Semantic SLAM
3.2.1. Localization Accuracy
3.2.2. Semantic Mapping
4. The Experiment of Grasping the Target Object
4.1. Generating Maps
4.2. Assisted Grasping with a Robotic Manipulator
4.3. Active Grasping without a Robotic Manipulator
5. Conclusions
Author Contributions
Funding
Informed Consent Statement
Data Availability Statement
Acknowledgments
Conflicts of Interest
References
- Hassan, M.K.; Hassan, M.R.; Ahmed, M.T.; Sabbir, M.S.A.; Ahmed, M.S.; Biswas, M. A survey on an intelligent system for persons with visual disabilities. Aust. J. Eng. Innov. Technol. 2021, 3, 97–118. [Google Scholar]
- Balachandar, A.; Santhosh, E.; Suriyakrishnan, A.; Vigensh, N.; Usharani, S.; Bala, P.M. Deep learning technique based visually impaired people using YOLO V3 framework mechanism. In Proceedings of the 2021 3rd International Conference on Signal Processing and Communication (ICPSC), Coimbatore, India, 13–14 May 2021; pp. 134–138. [Google Scholar]
- Chai, Y.; Cao, Y. Exploring of the barrier-free design for visual impairment in graphical user interface design. In Proceedings of the HCI International 2017–Posters’ Extended Abstracts: 19th International Conference, HCI International 2017, Proceedings, Part II 19, Vancouver, BC, Canada, 9–14 July, 2017; pp. 523–533. [Google Scholar]
- Tarakanov, V.V.; Inshakova, A.O.; Dolinskaya, V.V. Information society, digital economy and law. In Ubiquitous Computing and the Internet of Things: Prerequisites for the Development of ICT; Springer: Berlin/Heidelberg, Germany, 2019; pp. 3–15. [Google Scholar]
- Petsiuk, A.L.; Pearce, J.M. Low-cost open source ultrasound-sensing based navigational support for the visually impaired. Sensors 2019, 19, 3783. [Google Scholar] [CrossRef] [PubMed]
- Kumar, A.; Patra, R.; Manjunatha, M.; Mukhopadhyay, J.; Majumdar, A.K. An electronic travel aid for navigation of visually impaired persons. In Proceedings of the 2011 Third International Conference on Communication Systems and Networks (COMSNETS 2011), Bangalore, India, 4–8 January 2011; pp. 1–5. [Google Scholar]
- dos Santos, A.D.P.; Medola, F.O.; Cinelli, M.J.; Garcia Ramirez, A.R.; Sandnes, F.E. Are electronic white canes better than traditional canes? A comparative study with blind and blindfolded participants. Univers. Access Inf. Soc. 2021, 20, 93–103. [Google Scholar] [CrossRef]
- Ani, R.; Maria, E.; Joyce, J.J.; Sakkaravarthy, V.; Raja, M. Smart Specs: Voice assisted text reading system for visually impaired persons using TTS method. In Proceedings of the 2017 International Conference on Innovations in Green Energy and Healthcare Technologies (IGEHT), Coimbatore, India, 16–18 March 2017; pp. 1–6. [Google Scholar]
- Takizawa, H.; Kuramochi, Y.; Aoyagi, M. Kinect cane system: Recognition aid of available seats for the visually impaired. In Proceedings of the 2019 IEEE 1st Global Conference on Life Sciences and Technologies (LifeTech), Osaka, Japan, 12–14 March 2019; pp. 189–193. [Google Scholar]
- Li, B.; Munoz, J.P.; Rong, X.; Chen, Q.; Xiao, J.; Tian, Y.; Arditi, A.; Yousuf, M. Vision-based mobile indoor assistive navigation aid for blind people. IEEE Trans. Mob. Comput. 2018, 18, 702–714. [Google Scholar] [CrossRef] [PubMed]
- Jin, L.; Zhang, H.; Shen, Y.; Ye, C. Human-robot interaction for assisted object grasping by a wearable robotic object manipulation aid for the blind. In Proceedings of the 2020 IEEE International Conference on Human-Machine Systems (ICHMS), Rome, Italy, 7–9 September 2020; pp. 1–6. [Google Scholar]
- Salas-Moreno, R.F.; Newcombe, R.A.; Strasdat, H.; Kelly, P.H.; Davison, A.J. Slam++: Simultaneous localisation and mapping at the level of objects. In Proceedings of the IEEE Conference on Computer Vision and Pattern Recognition, San Juan, PR, USA, 17–19 June 1997; pp. 1352–1359. [Google Scholar]
- McCormac, J.; Handa, A.; Davison, A.; Leutenegger, S. Semanticfusion: Dense 3d semantic mapping with convolutional neural networks. In Proceedings of the 2017 IEEE International Conference on Robotics and Automation (ICRA), Singapore, 29 May–3 June 2017; pp. 4628–4635. [Google Scholar]
- Sünderhauf, N.; Pham, T.T.; Latif, Y.; Milford, M.; Reid, I. Meaningful maps with object-oriented semantic mapping. In Proceedings of the 2017 IEEE/RSJ International Conference on Intelligent Robots and Systems (IROS), Vancouver, BC, Canada, 24–28 September 2017; pp. 5079–5085. [Google Scholar]
- Li, X.; Ao, H.; Belaroussi, R.; Gruyer, D. Fast semi-dense 3D semantic mapping with monocular visual SLAM. In Proceedings of the 2017 IEEE 20th International Conference on Intelligent Transportation Systems (ITSC), Yokohama, Japan, 16–19 October 2017; pp. 385–390. [Google Scholar]
- Oluwatosin, H.S. Client-server model. IOSR J. Comput. Eng. 2014, 16, 67–71. [Google Scholar] [CrossRef]
- Redmon, J.; Divvala, S.; Girshick, R.; Farhadi, A. You only look once: Unified, real-time object detection. In Proceedings of the IEEE Conference on Computer Vision and Pattern Recognition, San Francisco, CA, USA, 18–20 June 1996; pp. 779–788. [Google Scholar]
- Redmon, J.; Farhadi, A. YOLO9000: Better, faster, stronger. In Proceedings of the IEEE Conference on Computer Vision and Pattern Recognition, Honolulu, HI, USA, 21–26 July 2017; pp. 7263–7271. [Google Scholar]
- Jiang, P.; Ergu, D.; Liu, F.; Cai, Y.; Ma, B. A Review of Yolo algorithm developments. Procedia Comput. Sci. 2022, 199, 1066–1073. [Google Scholar] [CrossRef]




















| Hardware | Model | Parameters | |
|---|---|---|---|
| Laptop | ![]() | LAPTOP-D3KN7T50 | CPU: Intel i5-6300HQ with a clock speed of 2.3 GHz; 16G DDR4 RAM; GPU: GTX 960 M. |
| Vision sensor | ![]() | Realsense D435i | Depth image solution: 1280 × 720; RGB image solution: 1920 × 1080; frame rate: 90FPS; depth range: 0.1 m–10 m. |
| Robotic manipulator | ![]() | Dobot Magician | Maximum working range: 320 mm; load: 500 g; repeating accuracy: 0.2 mm. |
| Vibration motor | ![]() | Model 0827 | Diameter: 8 mm; thickness: 2.7 mm. |
| Category | Measurement Result | Location Result | Error | ||
|---|---|---|---|---|---|
| Xdm | Ydm | Xdl | Ydl | e | |
| Cube | −23.6 | 15.0 | −24.1 | 14.8 | 0.94 |
| Sphere | −16.3 | 17.1 | −17.0 | 17.9 | 1.06 |
| Triangular prism | −10.1 | 13.1 | −10.8 | 13.0 | 0.71 |
| Cylinder | 10.7 | 13.1 | 10.2 | 13.0 | 0.51 |
| Cuboid | 17.8 | 13.3 | 17.4 | 13.0 | 0.5 |
Disclaimer/Publisher’s Note: The statements, opinions and data contained in all publications are solely those of the individual author(s) and contributor(s) and not of MDPI and/or the editor(s). MDPI and/or the editor(s) disclaim responsibility for any injury to people or property resulting from any ideas, methods, instructions or products referred to in the content. |
© 2024 by the authors. Licensee MDPI, Basel, Switzerland. This article is an open access article distributed under the terms and conditions of the Creative Commons Attribution (CC BY) license (https://creativecommons.org/licenses/by/4.0/).
Share and Cite
Fei, F.; Xian, S.; Yang, R.; Wu, C.; Lu, X. A Wearable Visually Impaired Assistive System Based on Semantic Vision SLAM for Grasping Operation. Sensors 2024, 24, 3593. https://doi.org/10.3390/s24113593
Fei F, Xian S, Yang R, Wu C, Lu X. A Wearable Visually Impaired Assistive System Based on Semantic Vision SLAM for Grasping Operation. Sensors. 2024; 24(11):3593. https://doi.org/10.3390/s24113593
Chicago/Turabian StyleFei, Fei, Sifan Xian, Ruonan Yang, Changcheng Wu, and Xiong Lu. 2024. "A Wearable Visually Impaired Assistive System Based on Semantic Vision SLAM for Grasping Operation" Sensors 24, no. 11: 3593. https://doi.org/10.3390/s24113593
APA StyleFei, F., Xian, S., Yang, R., Wu, C., & Lu, X. (2024). A Wearable Visually Impaired Assistive System Based on Semantic Vision SLAM for Grasping Operation. Sensors, 24(11), 3593. https://doi.org/10.3390/s24113593





