Upper-Limb Movement Quality before and after Surgery in Women with Breast Cancer: An Exploratory Study
Abstract
1. Introduction
2. Materials and Methods
2.1. Study Participants
2.2. Data Acquisition
2.3. Data Analysis
- (1)
- Local dynamic stability
- (2)
- Movement predictability
- (3)
- Movement smoothness
- (4)
- Movement symmetry
- (5)
- Movement variability
2.4. Statistical Analysis
3. Results
3.1. Comparison of Movement Quality Parameters between Pre- and Post-Surgery
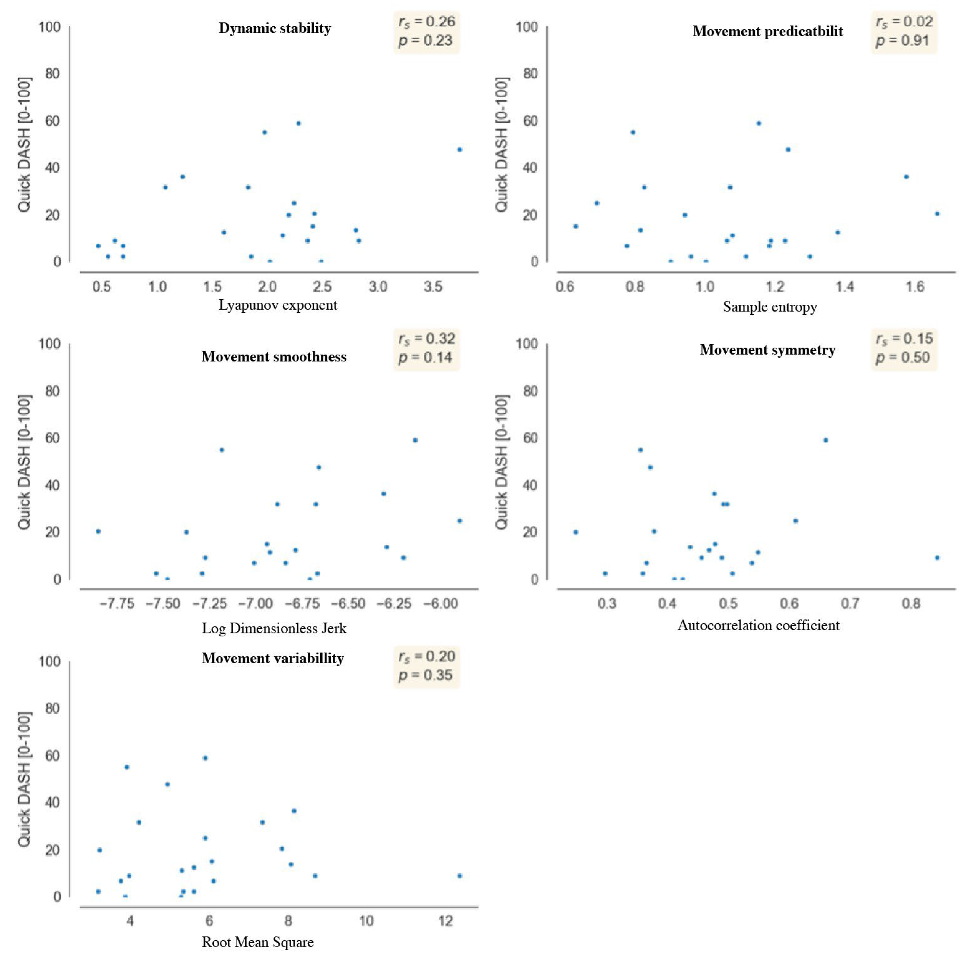
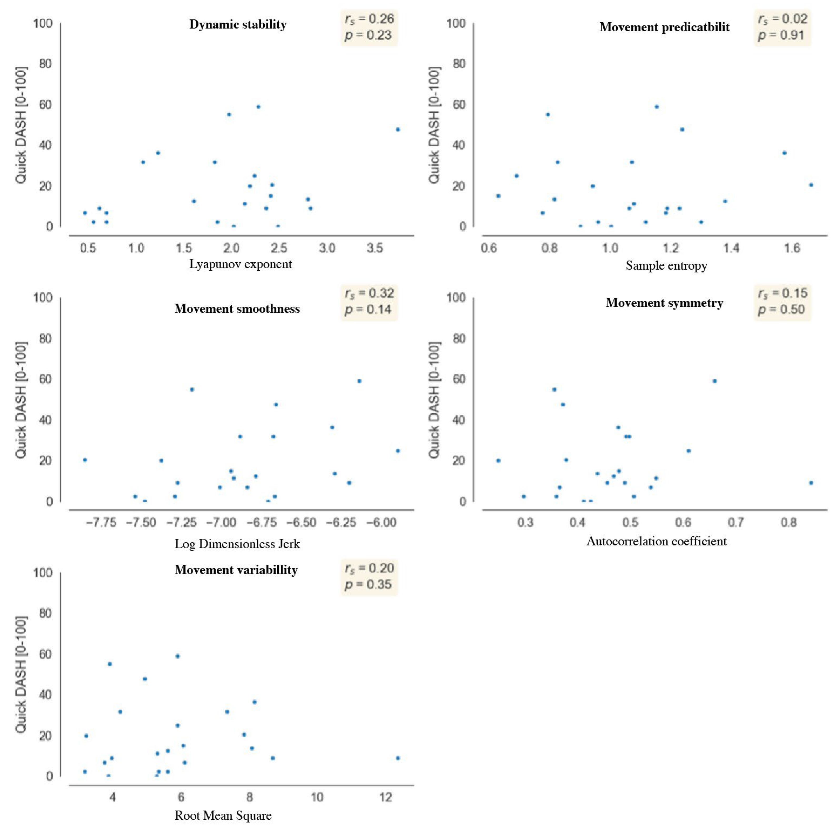
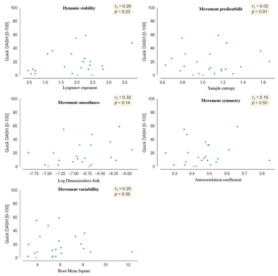
3.2. Relationship between Self-Reported UL Disability and Movement Quality
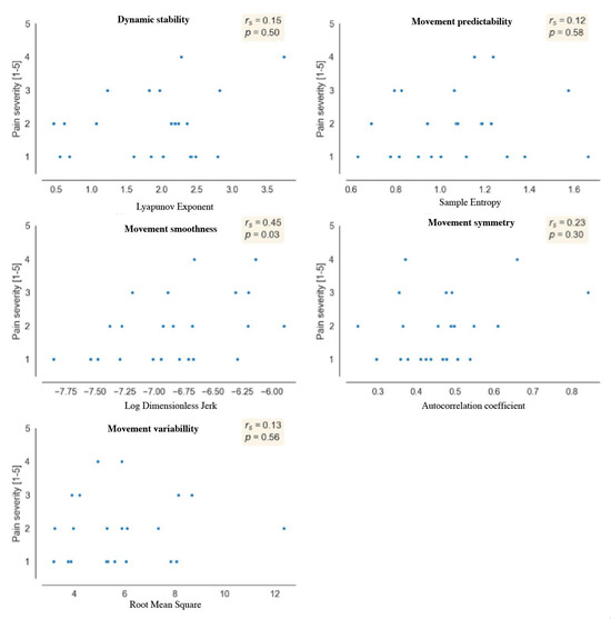
3.3. Relationship between Self-Reported UL Pain Severity and Movement Quality
4. Discussion
5. Conclusions
Author Contributions
Funding
Institutional Review Board Statement
Informed Consent Statement
Data Availability Statement
Conflicts of Interest
References
- Ferlay, J.; Colombet, M.; Soerjomataram, I.; Dyba, T.; Randi, G.; Bettio, M.; Gavin, A.; Visser, O.; Bray, F. Cancer incidence and mortality patterns in Europe: Estimates for 40 countries and 25 major cancers in 2018. Eur. J. Cancer 2018, 103, 356–387. [Google Scholar] [CrossRef] [PubMed]
- De Baets, L.; Vets, N.; Emmerzaal, J.; Devoogdt, N.; De Groef, A. Altered upper limb motor behavior in breast cancer survivors and its relation to pain: A narrative review. Anat. Rec. 2022, 307, 298–308. [Google Scholar] [CrossRef] [PubMed]
- Berry, D.A.; Cronin, K.A.; Plevritis, S.K.; Fryback, D.G.; Clarke, L.; Zelen, M.; Mandelblatt, J.S.; Yakovlev, A.Y.; Habbema, J.D.F.; Feuer, E.J. Effect of screening and adjuvant therapy on mortality from breast cancer. N. Engl. J. Med. 2005, 353, 1784–1792. [Google Scholar] [CrossRef] [PubMed]
- Hidding, J.T.; Beurskens, C.H.; van der Wees, P.J.; van Laarhoven, H.W.; Nijhuis-van der Sanden, M.W. Treatment related impairments in arm and shoulder in patients with breast cancer: A systematic review. PLoS ONE 2014, 9, e96748. [Google Scholar] [CrossRef] [PubMed] [PubMed Central]
- Lee, T.S.; Kilbreath, S.L.; Refshauge, K.M.; Herbert, R.D.; Beith, J.M. Prognosis of the upper limb following surgery and radiation for breast cancer. Breast Cancer Res. Treat. 2008, 110, 19–37. [Google Scholar] [CrossRef] [PubMed]
- De Groef, A.; Meeus, M.; De Vrieze, T.; Vos, L.; Van Kampen, M.; Christiaens, M.-R.; Neven, P.; Geraerts, I.; Devoogdt, N. Pain characteristics as important contributing factors to upper limb dysfunctions in breast cancer survivors at long term. Musculoskelet. Sci. Pract. 2017, 29, 52–59. [Google Scholar] [CrossRef] [PubMed]
- Ong, W.L.; Schouwenburg, M.G.; van Bommel, A.C.; Stowell, C.; Allison, K.H.; Benn, K.E.; Browne, J.P.; Cooter, R.D.; Delaney, G.P.; Duhoux, F.P.; et al. A Standard Set of Value-Based Patient-Centered Outcomes for Breast Cancer: The International Consortium for Health Outcomes Measurement (ICHOM) Initiative. JAMA Oncol. 2017, 3, 677–685. [Google Scholar] [CrossRef] [PubMed]
- Stout, N.L.; Binkley, J.M.; Schmitz, K.H.; Andrews, K.; Hayes, S.C.; Campbell, K.L.; McNeely, M.L.; Soballe, P.W.; Berger, A.M.; Cheville, A.L.; et al. A prospective surveillance model for rehabilitation for women with breast cancer. Cancer 2012, 118 (Suppl. S8), 2191–2200. [Google Scholar] [CrossRef] [PubMed]
- Bavan, L.; Wood, J.; Surmacz, K.; Beard, D.; Rees, J. Instrumented assessment of shoulder function: A study of inertial sensor based methods. Clin. Biomech. 2020, 72, 164–171. [Google Scholar] [CrossRef] [PubMed]
- Terwee, C.B.; van der Slikke, R.M.; van Lummel, R.C.; Benink, R.J.; Meijers, W.G.; de Vet, H.C. Self-reported physical functioning was more influenced by pain than performance-based physical functioning in knee-osteoarthritis patients. J. Clin. Epidemiol. 2006, 59, 724–731. [Google Scholar] [CrossRef] [PubMed]
- De Baets, L.; van der Straaten, R.; Matheve, T.; Timmermans, A. Shoulder assessment according to the international classification of functioning by means of inertial sensor technologies: A systematic review. Gait Posture 2017, 57, 278–294. [Google Scholar] [CrossRef] [PubMed]
- Stergiou, N. Nonlinear Analysis for Human Movement Variability; Taylor & Francis: Abingdon, UK, 2016. [Google Scholar]
- Emmerzaal, J.; Corten, K.; van der Straaten, R.; De Baets, L.; Van Rossom, S.; Timmermans, A.; Jonkers, I.; Vanwanseele, B. Movement Quality Parameters during Gait Assessed by a Single Accelerometer in Subjects with Osteoarthritis and Following Total Joint Arthroplasty. Sensors 2022, 22, 2955. [Google Scholar] [CrossRef] [PubMed] [PubMed Central]
- Benson, L.C.; Clermont, C.A.; Bošnjak, E.; Ferber, R. The use of wearable devices for walking and running gait analysis outside of the lab: A systematic review. Gait Posture 2018, 63, 124–138. [Google Scholar] [CrossRef] [PubMed]
- Moe-Nilssen, R.; Helbostad, J.L. Estimation of gait cycle characteristics by trunk accelerometry. J. Biomech. 2004, 37, 121–126. [Google Scholar] [CrossRef] [PubMed]
- Moraiti, C.; Stergiou, N.; Ristanis, S.; Georgoulis, A.D. ACL deficiency affects stride-to-stride variability as measured using nonlinear methodology. Knee Surg. Sports Traumatol. Arthrosc. 2007, 15, 1406–1413. [Google Scholar] [CrossRef] [PubMed]
- Stergiou, N.; Decker, L.M. Human movement variability, nonlinear dynamics, and pathology: Is there a connection? Hum. Mov. Sci. 2011, 30, 869–888. [Google Scholar] [CrossRef] [PubMed] [PubMed Central]
- Bruijn, S.M.; Ten Kate, W.R.T.; Faber, G.S.; Meijer, O.G.; Beek, P.J.; van Dieën, J.H. Estimating dynamic gait stability using data from non-aligned inertial sensors. Ann. Biomed. Eng. 2010, 38, 2588–2593. [Google Scholar] [CrossRef] [PubMed] [PubMed Central]
- Yakhdani, H.R.F.; Bafghi, H.A.; Meijer, O.G.; Bruijn, S.M.; Dikkenberg, N.v.D.; Stibbe, A.B.; van Royen, B.J.; van Dieën, J.H. Stability and variability of knee kinematics during gait in knee osteoarthritis before and after replacement surgery. Clin. Biomech. 2010, 25, 230–236. [Google Scholar] [CrossRef] [PubMed]
- Kiely, J.; Pickering, C.; Collins, D.J. Smoothness: An Unexplored Window into Coordinated Running Proficiency. Sports Med.-Open 2019, 5, 43. [Google Scholar] [CrossRef] [PubMed]
- Dixon, P.C.; Stirling, L.; Xu, X.; Chang, C.C.; Dennerlein, J.T.; Schiffman, J.M. Aging may negatively impact movement smoothness during stair negotiation. Hum. Mov. Sci. 2018, 60, 78–86. [Google Scholar] [CrossRef] [PubMed]
- Pau, M.; Mandaresu, S.; Pilloni, G.; Porta, M.; Coghe, G.; Marrosu, M.G.; Cocco, E. Smoothness of gait detects early alterations of walking in persons with multiple sclerosis without disability. Gait Posture 2017, 58, 307–309. [Google Scholar] [CrossRef] [PubMed]
- Torres, T.B.; López, M.D.; Cachadiña, E.S.; Naranjo, J. Entropy in the Analysis of Gait Complexity: A State of the Art. Br. J. Appl. Sci. Technol. 2013, 3, 1097–1105. [Google Scholar] [CrossRef]
- Tochigi, Y.; Segal, N.A.; Vaseenon, T.; Brown, T.D. Entropy analysis of tri-axial leg acceleration signal waveforms for measurement of decrease of physiological variability in human gait. J. Orthop. Res. 2012, 30, 897–904. [Google Scholar] [CrossRef] [PubMed] [PubMed Central]
- Ohgi, S.; Morita, S.; Loo, K.K.; Mizuike, C. Time series analysis of spontaneous upper-extremity movements of premature infants with brain injuries. Phys. Ther. 2008, 88, 1022–1033. [Google Scholar] [CrossRef] [PubMed] [PubMed Central]
- Balasubramanian, S.; Melendez-Calderon, A.; Roby-Brami, A.; Burdet, E. On the analysis of movement smoothness. J. Neuroeng. Rehabil. 2015, 12, 112. [Google Scholar] [CrossRef]
- Melendez-Calderon, A.; Shirota, C.; Balasubramanian, S. Estimating Movement Smoothness From Inertial Measurement Units. Front. Bioeng. Biotechnol. 2020, 8, 558771. [Google Scholar] [CrossRef] [PubMed] [PubMed Central]
- Angst, F.; Schwyzer, H.; Aeschlimann, A.; Simmen, B.R.; Goldhahn, J. Measures of adult shoulder function: Disabilities of the Arm, Shoulder, and Hand Questionnaire (DASH) and its short version (QuickDASH), Shoulder Pain and Disability Index (SPADI), American Shoulder and Elbow Surgeons (ASES) Society standardized shoulder assessment form, Constant (Murley) Score (CS), Simple Shoulder Test (SST), Oxford Shoulder Score (OSS), Shoulder Disability Questionnaire (SDQ), and Western Ontario Shoulder Instability Index (WOSI). Arthritis Care Res. 2011, 63 (Suppl. S11), S174–S188. [Google Scholar] [CrossRef] [PubMed]
- Camargo, P.R.; Neumann, D.A. Kinesiologic considerations for targeting activation of scapulothoracic muscles—Part 2: Trapezius. Braz. J. Phys. Ther. 2019, 23, 467–475. [Google Scholar] [CrossRef] [PubMed] [PubMed Central]
- Roetenberg, D.; Luinge, H.; Slycke, P. Xsens MVN: Full 6DOF human motion tracking using miniature inertial sensors. Xsens Motion Technol. BV Tech. Rep. 2009, 1, 3. [Google Scholar]
- Harrington, S.; Michener, L.A.; Kendig, T.; Miale, S.; George, S.Z. Patient-reported upper extremity outcome measures used in breast cancer survivors: A systematic review. Arch. Phys. Med. Rehabil. 2014, 95, 153–162. [Google Scholar] [CrossRef] [PubMed] [PubMed Central]
- Gummesson, C.; Ward, M.M.; Atroshi, I. The shortened disabilities of the arm, shoulder and hand questionnaire (QuickDASH): Validity and reliability based on responses within the full-length DASH. BMC Musculoskelet. Disord. 2006, 7, 44. [Google Scholar] [CrossRef] [PubMed] [PubMed Central]
- Yentes, J.M.; Hunt, N.; Schmid, K.K.; Kaipust, J.P.; McGrath, D.; Stergiou, N. The appropriate use of approximate entropy and sample entropy with short data sets. Ann. Biomed. Eng. 2013, 41, 349–365. [Google Scholar] [CrossRef] [PubMed] [PubMed Central]
- TenBroek, T.; Emmerik, R.; Hasson, C.; Hamill, J. Lyapunov exponent estimation for human gait acceleration signals. J. Biomech. 2007, 40, S210. [Google Scholar] [CrossRef]
- Rosenstein, M.T.; Collins, J.J.; De Luca, C.J. A practical method for calculating largest Lyapunov exponents from small data sets. Phys. D Nonlinear Phenom. 1993, 65, 117–134. [Google Scholar] [CrossRef]
- Bruijn, S.M.; Meijer, O.G.; Beek, P.J.; van Dieen, J.H. Assessing the stability of human locomotion: A review of current measures. J. R. Soc. Interface 2013, 10, 20120999. [Google Scholar] [CrossRef]
- Richman, J.S.; Moorman, J.R. Physiological time-series analysis using approximate entropy and sample entropy. Am. J. Physiol. Heart Circ. Physiol. 2000, 278, H2039–H2049. [Google Scholar] [CrossRef] [PubMed]
- Sekine, M.; Tamura, T.; Yoshida, M.; Suda, Y.; Kimura, Y.; Miyoshi, H.; Kijima, Y.; Higashi, Y.; Fujimoto, T. A gait abnormality measure based on root mean square of trunk acceleration. J. Neuroeng. Rehabil. 2013, 10, 118. [Google Scholar] [CrossRef]
- Portney, L.G. Foundations of Clinical Research: Applications to Evidence-Based Practice, 3rd ed.; F.A. Davis: Philadelphia, PA, USA, 2020. [Google Scholar]
- Allen, M.; Poggiali, D.; Whitaker, K.; Marshall, T.R.; van Langen, J.; Kievit, R.A. Raincloud plots: A multi-platform tool for robust data visualization. Wellcome Open Res. 2019, 4, 63. [Google Scholar] [CrossRef] [PubMed] [PubMed Central]
- Whitaker, K.; Rhys-Marshall, T.; van Mourik, T.; Martinez, P.; Poggiali, D.; Ye, H.; Klug, M. RainCloudPlots/RainCloudPlots: WellcomeOpenResearch (v1.1). Zenodo 2019, 4, 63. [Google Scholar] [CrossRef]
- Dalton, A.; Khalil, H.; Busse, M.; Rosser, A.; van Deursen, R.; Ólaighin, G. Analysis of gait and balance through a single triaxial accelerometer in presymptomatic and symptomatic Huntington’s disease. Gait Posture 2013, 37, 49–54. [Google Scholar] [CrossRef] [PubMed]
- Schütte, K.H.; Maas, E.A.; Exadaktylos, V.; Berckmans, D.; Venter, R.E.; Vanwanseele, B. Wireless Tri-Axial Trunk Accelerometry Detects Deviations in Dynamic Center of Mass Motion Due to Running-Induced Fatigue. PLoS ONE 2015, 10, e0141957. [Google Scholar] [CrossRef] [PubMed]
- Long, J.D.; Paulsen, J.S.; Marder, K.; Zhang, Y.; Kim, J.; Mills, J.A. Tracking motor impairments in the progression of Huntington’s disease. Mov. Disord. 2014, 29, 311–319. [Google Scholar] [CrossRef] [PubMed] [PubMed Central]




| Characteristics | n (%) or Mean ± std 1 |
|---|---|
| Age (years) | 54.27 ± 11.43 |
| BMI (kg/m2) | 24.61 ± 4.27 |
| Type of Surgery | |
| • Mastectomy | 12 (40%) |
| • Breast-conserving surgery | 18 (60%) |
| • Sentinel lymph-node biopsy | 23 (77%) |
| • Axillary lymph-node dissection/axillary node clearance | 6 (23%) |
| Surgery on dominant side | 8 (27%) |
| Adjuvant chemotherapy | 8 (27%) |
| Pre-surgery Quick DASH 2 score | 3.35 ± 4.36 |
| Post-surgery Quick DASH 2 score | 18.59 ± 17.44 |
| Pre-surgery pain severity | 1.1 ± 0.3 |
| Post-surgery pain severity | 1.9 ± 1.0 |
Disclaimer/Publisher’s Note: The statements, opinions and data contained in all publications are solely those of the individual author(s) and contributor(s) and not of MDPI and/or the editor(s). MDPI and/or the editor(s) disclaim responsibility for any injury to people or property resulting from any ideas, methods, instructions or products referred to in the content. |
© 2024 by the authors. Licensee MDPI, Basel, Switzerland. This article is an open access article distributed under the terms and conditions of the Creative Commons Attribution (CC BY) license (https://creativecommons.org/licenses/by/4.0/).
Share and Cite
Emmerzaal, J.; Vets, N.; Devoogdt, N.; Smeets, A.; De Groef, A.; De Baets, L. Upper-Limb Movement Quality before and after Surgery in Women with Breast Cancer: An Exploratory Study. Sensors 2024, 24, 3472. https://doi.org/10.3390/s24113472
Emmerzaal J, Vets N, Devoogdt N, Smeets A, De Groef A, De Baets L. Upper-Limb Movement Quality before and after Surgery in Women with Breast Cancer: An Exploratory Study. Sensors. 2024; 24(11):3472. https://doi.org/10.3390/s24113472
Chicago/Turabian StyleEmmerzaal, Jill, Nieke Vets, Nele Devoogdt, Ann Smeets, An De Groef, and Liesbet De Baets. 2024. "Upper-Limb Movement Quality before and after Surgery in Women with Breast Cancer: An Exploratory Study" Sensors 24, no. 11: 3472. https://doi.org/10.3390/s24113472
APA StyleEmmerzaal, J., Vets, N., Devoogdt, N., Smeets, A., De Groef, A., & De Baets, L. (2024). Upper-Limb Movement Quality before and after Surgery in Women with Breast Cancer: An Exploratory Study. Sensors, 24(11), 3472. https://doi.org/10.3390/s24113472

