Secrecy Performance Enhancement Using Self-Interference Cancellation in Wireless Mutual Broadcast Networks for Proximity-Based Services
Abstract
1. Introduction
1.1. Related Works
1.2. Contributions and Organization
- Comprehensive analysis of secrecy performance for HBD RA-WMB: This study analytically expresses the PLS performance of the HBD RA-WMB and quantitatively elucidates its inherent properties regarding the spatial radio interaction among legitimate FD transceving and HD receiving nodes, Eves, and friendly jammers. In particular, the analysis and numerical results demonstrate that the significant differences in the secrecy performance between secure HBD RA-WMB and conventional approaches, such as nonsecure RA-WMB [28,29,34] and secure HD RA-WMB [11]. These conventional methods can be regarded as special cases within the scope of the comprehensive results investigated herein.
- Proposition of design principles for secure HBD RA-WMB: This study proposes the design principles of the key operation parameters including TxPr and friendly jammer density, in terms of maximizing the secrecy performance. In particular, the TxPr determines the operation method of nodes, such as FD transceving and HD receiving, through comprehensively considering the imperfections of SIC and beneficial and harmful effects of interference, with the aim of enhancing the secrecy performance of WMB. The analytical expression of the TxPr in secure HBD operation design explicitly distinguishes itself from the conventional non-secure RA-WMB design. In contrast, it is demonstrated that friendly jammers are not quite beneficial.
- Quantification of required SIC capability: This study endeavors to quantitatively examine the RSI condition in imperfect SIC that are required for FD transceiving to significantly enhance secrecy performance, through identifying the conditions for the FD optimality and superiority. FD optimality denotes that it is optimal for all nodes to work in FD, while FD superiority indicates that FD outperforms HD in terms of secrecy performance. The FD optimality and superiority are addressed in terms of Eves density as well as RSI amount and wireless channels. It is remarkably interesting that these conditions increasingly become loose as Eves becomes dense.
2. Secrecy Performance Models for Hybrid Duplex RA-WMB Networks
2.1. System Model
- (i)
- RxOnly (denoted by ): A node only gathers BMs broadcast by other legitimate nodes and it does not transmit any signal.
- (ii)
- TxRx (denoted by ): A node transmits the BM that it generates as an information source, using transmit power p, and simultaneously attempts to decode BMs generated from other nodes through canceling the self-interference from its own transmission.
- (iii)
- JamRx (denoted by ): A part of legitimate nodes transmit AN with transmit power in order to confound unknown Eves, and they also attempt to receive BMs from other legitimate nodes employing SIC, similar to the TxRx mode.
2.2. Network-Wide Secrecy Performance
3. Spatial Secrecy Performance Analysis of Hybrid Duplex RA-WMB
3.1. Properties of Spatial Secrecy Performance
- (i)
- When and , whereand .
- (ii)
- When , in an interference-limited scenario,As a result,In particular, when and are given, for is maximized at .
- (iii)
- Assuming that Eve’s receiver capability is not less than that of a legitimate node, i.e., ,where .
- (iv)
- In a coverage-limited scenario without any interference,whereIn particular, when and , is maximized at
- (v)
- When and , there exists such that as long as .
3.2. Impact of Internal and External Jammers
4. Design Principles for Secrecy Performance Improvement in RA-WMB Networks
4.1. Tx Probability Design for Secure RA-WMB
- (i)
- There exists a such that monotonically increases with if . That is, if , .
- (ii)
- If , is log-concave for , and becomes or 1, where is the unique solution of if there exists a solution of for , and
- (iii)
- For a finite , or 1, where , and is defined in (A10).
4.2. FD Optimality for Secure RA-WMB without Any Jamming Signal
4.3. Deployment of External Jamming Nodes for Secure RA-WMB
5. Design Principles of Secure RA-WMB for Full Duplex Case
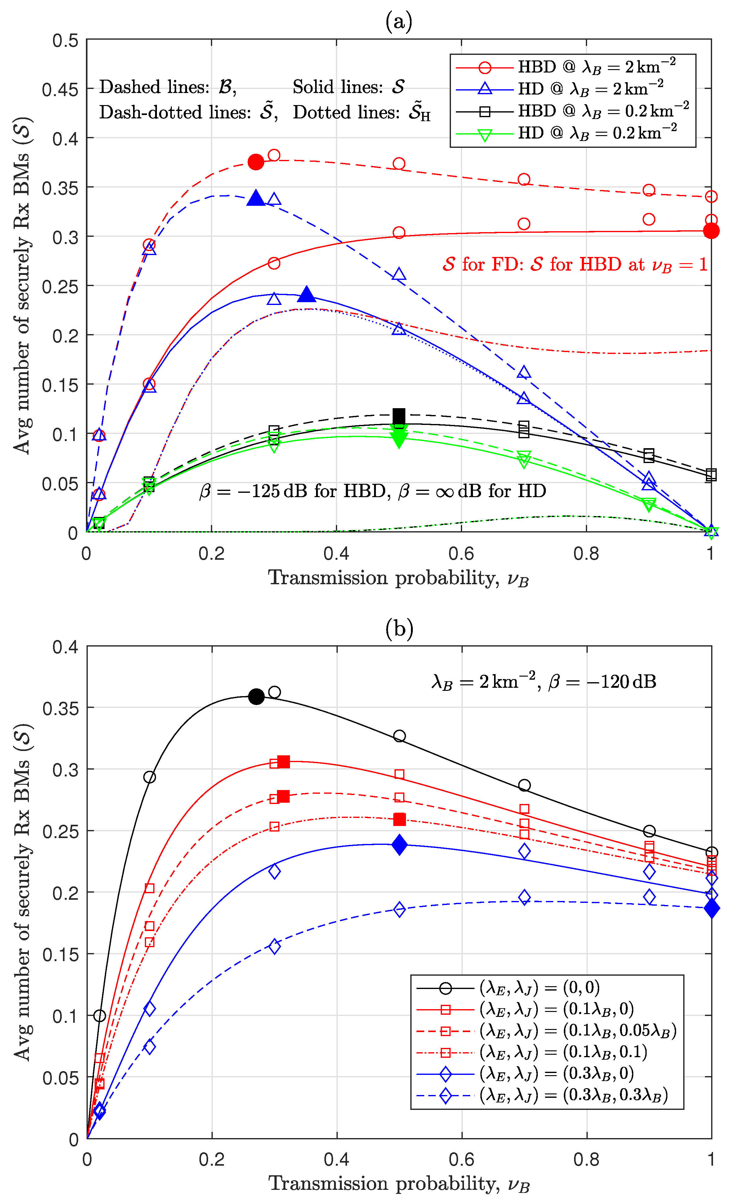
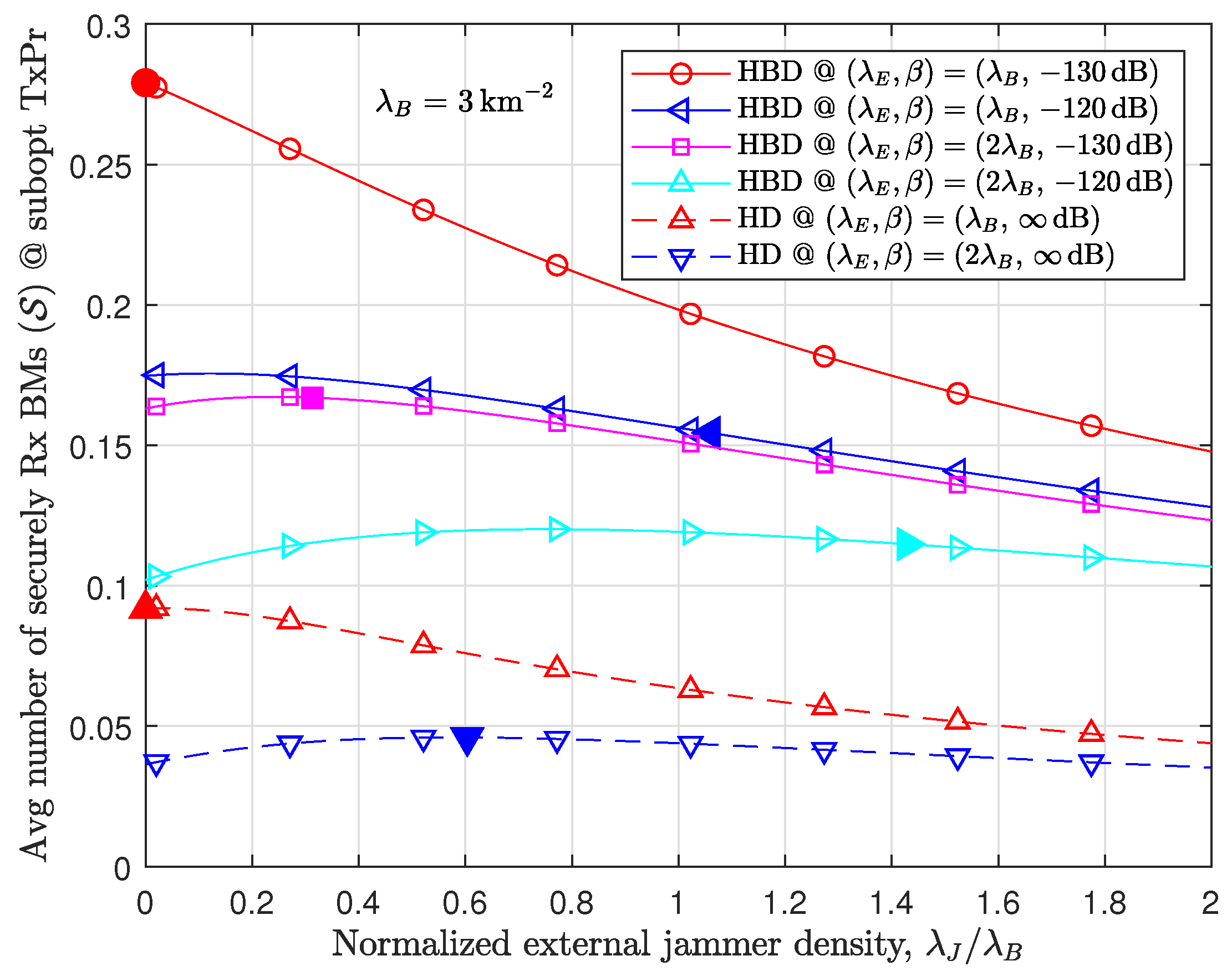
6. Numerical Results and Discussion
7. Conclusions
Author Contributions
Funding
Data Availability Statement
Conflicts of Interest
Abbreviations
| 6G | 6th generation |
| AN | Artificial noise |
| BM | Broadcast message |
| CSMA | Carrier sense multiple access |
| D2D | Device-to-device |
| Eve | Eavesdropper |
| FD | Full duplex |
| HBD | Hybrid duplex |
| HD | Half duplex |
| HPPP | Homogeneous Poisson point process |
| IoT | Internet of things |
| PLS | Physical layer security |
| pgfl | Probability generating functional |
| PPP | Poisson point process |
| RA-WMB | Random access based wireless mutual broadcast |
| RSI | Residual self-interference |
| SIC | Self-interference cancellation |
| TxPr | Transmission probability |
| V2V | Vehicle-to-vehicle |
| WMB | Wireless mutual broadcast |
Appendix A. Proof of Lemma 1
Appendix B. Proof of Proposition 1
- (i)
- follows fromwhere (a) follows from .Furthermore, follows fromwhere (a) follows from the definition of random variable U that is exponentially distributed with the mean of , (b) follows from the Jensen’s inequality, and (c) follows from .
- (ii)
- Further, when and are fixed, from (12), for increases with ; thus, maximizes for a given and , when .
- (iii)
- This proof is similar to the one for Lemma 3.1(ii) of [11] which is only for HD. However, the result and proof in this paper are for a more general case, i.e., HBD. The inequalities in (13) are indexed as follows:Note that from (8) and ; thus, (a) holds. Further, from the assumption of , (b) holds. For the proof of (c), consider . Because , if , while if ; thus, the maximum value of over is which is achieved when . Furthermore, this upperbound, i.e., , is maximized at . As a result, (iii) holds.
- (iv)
- In (6), a scenario with no interference can be expressed through setting to 0; thus, from (8) for , (15) is obtained.If and ,When considering that both and are now independent of , is log-concave for . As a result, can be maximized at or such thatFrom (A8), (16) is derived.
- (v)
- Consider that and .From Propositons 1(i) and 1(iii) of [34], when , for FD always outperforms the maximum for HD, i.e., for any . Further, for because decreases as transmitter density increases. Therefore, when , .Furthermore, is continuous and monotonically decreases with respect to , and .As a result, Proposition 1-(v) holds.
Appendix C. Proof of Proposition 2
- (i)
- From (A10), when , for all because . Further, note that is continuous with respect to ; thus, there exists an such that it always holds that if .
- (ii)
- This is the same as the result in Proposition 3.1 of [11]. The proof is fully provided due to its completeness and differences in notation. Assume that . Then, each term of in (A9) is concave for ; thus, is log-concave for , and if the solution of exists between 0 and 1, it is unique. Note that can be recast into , whereSimilarly, if there exists a such that for , it is unique. When , is equivalent to . As a result, if , can be maximized through setting to or one.
- (iii)
- is a necessary condition for maximizing .
Appendix D. Proof of Proposition 3
References
- Shen, L.H.; Feng, K.T.; Hanzo, L. Five Facets of 6G: Research Challenges and Opportunities. ACM Compt. Surv. 2023, 55, 1–39. [Google Scholar] [CrossRef]
- Lin, Z.; de Cola, T.; Wang, J.B.; Zhu, W.P.; Cheng, J. Supporting IoT With Rate-Splitting Multiple Access in Satellite and Aerial-Integrated Networks. IEEE Internet Things J. 2021, 8, 11123–11134. [Google Scholar] [CrossRef]
- Hayat, O.; Ngah, R.; Hashim, S.Z.M.; Dahri, M.H.; Malik, R.F.; Rahayu, Y. Device Discovery in D2D Communication: A Survey. IEEE Access 2019, 7, 131114–131134. [Google Scholar] [CrossRef]
- Hayat, O.; Ngah, R.; Kaleem, Z.; Hashim, S.Z.M.; Rodrigues, J.J.P.C. A Survey on Security and Privacy Challenges in Device Discovery for Next-Generation Systems. IEEE Access 2020, 8, 84584–84603. [Google Scholar] [CrossRef]
- Sun, Y.; Cao, J.; Ma, M.; Zhang, Y.; Li, H.; Niu, B. EAP-DDBA: Efficient Anonymity Proximity Device Discovery and Batch Authentication Mechanism for Massive D2D Communication Devices in 3GPP 5G HetNet. IEEE Trans. Dependable Secure Comput. 2022, 19, 370–387. [Google Scholar] [CrossRef]
- Liu, W.; Nakauchi, K.; Shoji, Y. A Neighbor-Based Probabilistic Broadcast Protocol for Data Dissemination in Mobile IoT Networks. IEEE Access 2018, 8, 12260–12268. [Google Scholar] [CrossRef]
- Jeon, K.E.; She, J.; Soonsawad, P.; Ng, P.C. BLE Beacons for Internet of Things Applications: Survey, Challenges, and Opportunities. IEEE Internet Things J. 2018, 5, 811–828. [Google Scholar] [CrossRef]
- Qiu, T.; Chen, B.; Sangaiah, A.K.; Ma, J.; Huang, R. A Survey of Mobile Social Networks: Applications, Social Characteristics, and Challenges. IEEE Syst. J. 2018, 12, 3932–3947. [Google Scholar] [CrossRef]
- Ghazi, M.U.; Khattak, M.A.K.; Shabir, B.; Malik, A.W.; Ramzan, M.S. Emergency Message Dissemination in Vehicular Networks: A Review. IEEE Access 2020, 8, 38606–38621. [Google Scholar] [CrossRef]
- Alghamdi, S.A. Cellular V2X With D2D Communications for Emergency Message Dissemination and QoS Assured Routing in 5G Environment. IEEE Access 2021, 9, 56049–56065. [Google Scholar] [CrossRef]
- Kwon, T.; Ju, H. Design Principles for Improving Spatial Secrecy Performance in Random Access based Wireless Mutual Broadcast Networks. IEEE Commun. Lett. 2020, 24, 917–921. [Google Scholar] [CrossRef]
- Wyner, A.D. The Wire-Tap Channel. Bell Syst. Tech. J. 1975, 54, 1355–1387. [Google Scholar] [CrossRef]
- Poor, H.V. Information and Inference in the Wireless Physical Layer. IEEE Wirel. Commun. Mag. 2012, 19, 40–47. [Google Scholar] [CrossRef]
- Illi, E.; Qaraqe, M.; Althunibat, S.; Alhasanat, A.; Alsafasfeh, M.; de Ree, M.; Mantas, G.; Rodriguez, J.; Aman, W.; Al-Kuwari, S. Physical Layer Security for Authentication, Confidentiality, and Malicious Node Detection: A Paradigm Shift in Securing IoT Networks. IEEE Commun. Surv. Tutor. 2024, 26, 347–388. [Google Scholar] [CrossRef]
- Solaija, M.S.J.; Salman, H.; Arslan, H. Towards a Unified Framework for Physical Layer Security in 5G and Beyond Networks. IEEE Open J. Veh. Technol. 2022, 3, 321–3435. [Google Scholar] [CrossRef]
- Lin, Z.; Lin, M.; Champagne, B.; Zhu, W.P.; Al-Dhahir, N. Secrecy-Energy Efficient Hybrid Beamforming for Satellite-Terrestrial Integrated Networks. IEEE Trans. Commun. 2021, 69, 6345–6360. [Google Scholar] [CrossRef]
- Niu, H.; Chu, Z.; Zhou, F.; Zhu, Z.; Zhen, L.; Wong, K.K. Robust Design for Intelligent Reflecting Surface-Assisted Secrecy SWIPT network. IEEE Trans. Wirel. Commun. 2022, 21, 4133–4149. [Google Scholar] [CrossRef]
- Ma, R.; Yang, W.; Guan, X.; Lu, X.; Song, Y.; Chen, D. Covert mmWave Communications with Finite Blocklength Against Spatially Random Wardens. IEEE Internet Things J. 2024, 11, 3402–3416. [Google Scholar] [CrossRef]
- Mohammadi, M.; Mobini, Z.; Galappaththige, D.; Tellambura, C. A Comprehensive Survey on Full-Duplex Communication: Current Solutions, Future Trends, and Open Issues. IEEE Commun. Surv. Tutor. 2023, 25, 2190–2244. [Google Scholar] [CrossRef]
- Ju, Y.; Liu, W.; Yang, M.; Liu, L.; Pei, Q.; Zhang, N.; Ota, K.; Dong, M.; Leung, V.C.M. Physical Layer Security in Full-Duplex Millimeter Wave Communication Systems. IEEE Trans. Veh. Technol. 2024, 73, 2816–2829. [Google Scholar] [CrossRef]
- Zheng, T.X.; Wang, H.M.; Yang, Q.; Lee, M.H. Safeguarding Decentralized Wireless Networks Using Full-Duplex Jamming Receivers. IEEE Trans. Wirel. Commun. 2017, 16, 278–292. [Google Scholar] [CrossRef]
- Zheng, T.X.; Wang, H.M.; Yuan, J.; Han, Z.; Lee, M.H. Physical Layer Security in Wireless Ad Hoc Networks Under A Hybrid Full-/Half-Duplex Receiver Deployment Strategy. IEEE Trans. Wirel. Commun. 2017, 16, 3827–3829. [Google Scholar] [CrossRef]
- Zheng, T.X.; Wang, H.M.; Yuan, J.; Han, Z.; Lee, M.H. Physical Layer Security in Heterogeneous Networks with Jammer Selection and Full-Duplex Users. IEEE Trans. Wirel. Commun. 2017, 16, 7982–7995. [Google Scholar]
- Kimura, T.; Saito, H. Theoretical Broadcast Rate Optimization for V2V Communications at Intersection. IEEE Trans. Dependable Secure Comput. 2022, 21, 3360–3372. [Google Scholar] [CrossRef]
- Wu, Z.; Park, V.D.; Li, J. Enabling Device to Device Broadcast for LTE Cellular Networks. IEEE J. Sel. Areas Commun. 2016, 34, 58–70. [Google Scholar] [CrossRef]
- Gismalla, M.S.M.; Azmi, A.I.; Salim, M.R.B.; Abdullah, M.F.L.; Iqbal, F.; Mabrouk, W.A.; Othman, M.B.; Ashyap, A.Y.I.; Supaat, A.S.M. Survey on Device to Device (D2D) Communication for 5GB/6G Networks: Concept, Applications, Challenges, and Future Directions. IEEE Access 2022, 10, 2169–3536. [Google Scholar] [CrossRef]
- Haenggi, M. Stochastic Geometry for Wireless Networks; Cambridge University Press: New York, NY, USA, 2012. [Google Scholar]
- Kwon, T.; Choi, J.W. Spatial Performance Analysis and Design Principles for Wireless Peer Discovery. IEEE Trans. Wirel. Commun. 2014, 13, 4507–4519. [Google Scholar] [CrossRef]
- Kwon, T. Transmission Probability Design for Random Access Based Wireless Peer Discovery. IEEE Commun. Lett. 2014, 18, 1603–1606. [Google Scholar] [CrossRef]
- Xenakis, D.; Kountouris, M.; Merakos, L.; Passas, N.; Verikoukis, C. Performance Analysis of Network-Assisted D2D Discovery in Random Spatial Networks. IEEE Trans. Wirel. Commun. 2016, 15, 5695–5707. [Google Scholar] [CrossRef]
- Martin-Vega, F.J.; Soret, B.; Aguayo-Torres, M.C.; Kovacs, I.Z.; Gomez, G. Geo-Location Based Access for Vehicular Communications: Analysis and Optimization via Stochastic Geometry. IEEE Trans. Veh. Technol. 2018, 67, 3069–3084. [Google Scholar] [CrossRef]
- Ashraf, M.; Lee, K.G. Overall Energy Minimization in the Wireless Peer Discovery System With Multi-Antenna Peers. IEEE Commun. Lett. 2019, 23, 1821–1825. [Google Scholar] [CrossRef]
- Kong, H.B.; Kang, S.; Lee, I. Wireless Peer Discovery in Heterogeneous Half-/Full-Duplex Networks. IEEE Commun. Lett. 2017, 21, 881–884. [Google Scholar] [CrossRef]
- Kwon, T.; Lee, H. Hybrid Duplex Wireless Peer Discovery with Imperfect Self-Interference Cancellation. IEEE Commun. Lett. 2018, 22, 598–601. [Google Scholar] [CrossRef]
- Kang, S.; Kong, H.B.; Song, C.; Lee, H.; Lee, I. Transmit Probability Designs for Wireless Peer Discovery with Energy Harvesting. IEEE Commun. Lett. 2017, 21, 644–647. [Google Scholar] [CrossRef]
- Zhou, X.; Durrani, S.; Guo, J. Drone-Initiated D2D-Aided Multihop Multicast Networks for Emergency Information Dissemination. IEEE Access 2020, 8, 3566–3578. [Google Scholar] [CrossRef]
- Goel, S.; Negi, R. Guaranteeing Secrecy Using Artificial Noise. IEEE Trans. Wirel. Commun. 2008, 7, 2180–2189. [Google Scholar] [CrossRef]
- Zhang, Y.; Shen, Y.; Jiang, X.; Kasahara, S. Secure Millimeter-Wave Ad Hoc Communications Using Physical Layer Security. IEEE Trans. Inf. Forensics Secur. 2021, 17, 99–114. [Google Scholar] [CrossRef]
- Chamkhia, H.; Erbad, A.; Al-Ali, A.K.; Mohamed, A.; Refaey, A.; Guizani, M. 3-D Stochastic Geometry-Based Modeling and Performance Analysis of Efficient Security Enhancement Scheme for IoT Systems. IEEE Internet Things J. 2022, 9, 6663–6677. [Google Scholar] [CrossRef]
- Feng, S.; Lu, X.; Sun, S.; Niyato, D.; Hossain, E. Securing Large-Scale D2D Networks Using Covert Communication and Friendly Jamming. IEEE Trans. Wirel. Commun. 2024, 23, 592–606. [Google Scholar] [CrossRef]
- Wang, C.; Li, Z.; Shi, J.; Si, J.; Ng, D.W.K. Physical Layer Security of Vehicular Networks: A Stochastic Geometry Approach. In Proceedings of the 2020 IEEE International Conference on Communications Workshops (ICC Workshops), Dublin, Ireland, 7–11 June 2020. [Google Scholar]
- Zheng, T.X.; Chen, X.; Wang, C.; Wong, K.K.; Yuan, J. Physical Layer Security in Large-Scale Random Multiple Access Wireless Sensor Networks: A Stochastic Geometry Approach. IEEE Trans. Commun. 2022, 70, 4038–4051. [Google Scholar] [CrossRef]
- Błaszczyszyn, B.; Karray, M.K.; Keeler, H.P. Using Poisson Processes to Model Lattice Cellular Networks. In Proceedings of the 2013 IEEE International Conference on Computer Communications (INFOCOM), Turin, Italy, 14–19 April 2013. [Google Scholar]






| SIC Capability | Recommended Duplexing | Nonsecure vs. Secure Design | Key Designs |
|---|---|---|---|
| None or bad | Half duplex (HD) † | () ‡, | from (19), |
| (high RSI; e.g., ) | (RxOnly + TxRx with ) | from (28) or (30) | |
| Good | Pure hybrid duplex (HBD) | , | from (19) |
| (Medium RSI; e.g., ) | (RxOnly + TxRx) | ||
| Excellent | Full duplex (FD) | , | from (21) or (22) |
| (Low RSI; ) | (TxRx, i.e., ) |
| Notations | Descriptions | Expressions or Values |
|---|---|---|
| Average number of securely received BMs per node | In (3) | |
| Approximation of (almost the same as ) | In (6) | |
| , | Lower and upper bounds of | In Proposition 1-(i) and (iii) |
| Average number of nonsecurely received BMs per node | for | |
| , | ’s for HD and FD | In (5) |
| , , | RxOnly, TxRx, JamRx modes | - |
| , , | Sets of legitimate nodes, external jammers, and eavesdroppers | - |
| Probability of operation mode | In (3) | |
| , | Area where a receiver can successfully decode BMs if transmitters are located therein, in and modes | In (8) |
| , , | Spatial densities of legitimate nodes, external jammers, Eves | to |
| p, , | Tx power of BM, internal jamming, external jamming | , |
| Path loss exponent | 3.5 | |
| K | Path loss gain at a unit distance | |
| Normalized noise power () | ||
| Rayleigh fading gain from node i to node l | Unit mean | |
| , | SINR at legitimate receiver in modes and | In (1) |
| SINR at Eve | In (2) | |
| , | SINR thresholds of legitimate receiver and Eve | |
| Residual self-interference (RSI) normalized by p | to | |
| , | RSI thresholds for FD optimality and FD superiority | In (22) and (30) |
| , | and in a coverage-limited scenario | In (21) and (28) |
| , | Transmission probability (TxPr), internal jamming probability | , |
| , | Optimal and suboptimal TxPrs for HBD, | In (17) and (19) |
| Suboptimal TxPr candidate for HD when and | In Proposition (2)-(ii) |
Disclaimer/Publisher’s Note: The statements, opinions and data contained in all publications are solely those of the individual author(s) and contributor(s) and not of MDPI and/or the editor(s). MDPI and/or the editor(s) disclaim responsibility for any injury to people or property resulting from any ideas, methods, instructions or products referred to in the content. |
© 2024 by the authors. Licensee MDPI, Basel, Switzerland. This article is an open access article distributed under the terms and conditions of the Creative Commons Attribution (CC BY) license (https://creativecommons.org/licenses/by/4.0/).
Share and Cite
Kwon, T.; LEE, H. Secrecy Performance Enhancement Using Self-Interference Cancellation in Wireless Mutual Broadcast Networks for Proximity-Based Services. Sensors 2024, 24, 3389. https://doi.org/10.3390/s24113389
Kwon T, LEE H. Secrecy Performance Enhancement Using Self-Interference Cancellation in Wireless Mutual Broadcast Networks for Proximity-Based Services. Sensors. 2024; 24(11):3389. https://doi.org/10.3390/s24113389
Chicago/Turabian StyleKwon, Taesoo, and HyeonWoo LEE. 2024. "Secrecy Performance Enhancement Using Self-Interference Cancellation in Wireless Mutual Broadcast Networks for Proximity-Based Services" Sensors 24, no. 11: 3389. https://doi.org/10.3390/s24113389
APA StyleKwon, T., & LEE, H. (2024). Secrecy Performance Enhancement Using Self-Interference Cancellation in Wireless Mutual Broadcast Networks for Proximity-Based Services. Sensors, 24(11), 3389. https://doi.org/10.3390/s24113389

