Reliability and Validity of the Strain Gauge “GSTRENGTH” for Measuring Peak Force in the Isometric Belt Squat at Different Joint Angles
Abstract
1. Introduction
2. Materials and Methods
2.1. Participants
2.2. Procedures
2.3. Testing Sessions
2.4. Instruments
2.5. Statistical Analysis
3. Results
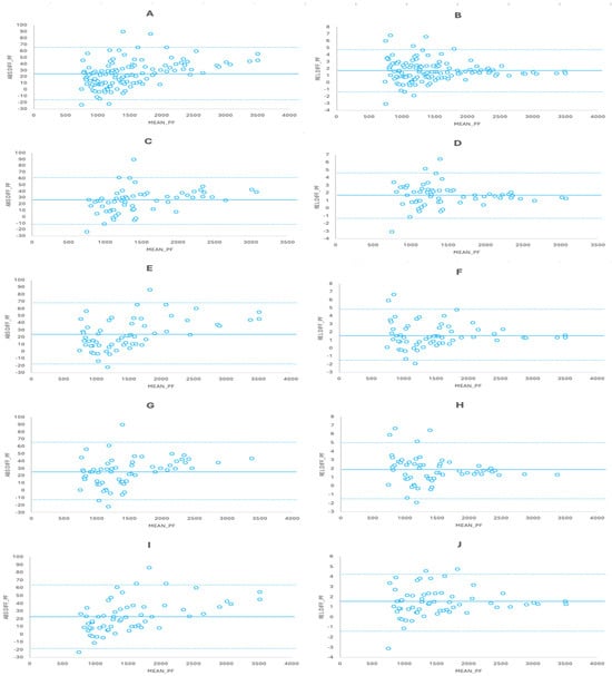
3.1. Concurrent Validity
3.2. Reliability of the SG Compared to the FP
4. Discussion
5. Conclusions
Author Contributions
Funding
Institutional Review Board Statement
Informed Consent Statement
Data Availability Statement
Conflicts of Interest
References
- Babault, N.; Pousson, M.; Ballay, Y.; Van Hoecke, J. Activation of human quadriceps femoris during isometric, concentric, and eccentric contractions. J. Appl. Physiol. 2001, 91, 2628–2634. [Google Scholar] [CrossRef] [PubMed]
- Babault, N.; Pousson, M.; Michaut, A.; Van Hoecke, J. Effect of quadriceps femoris muscle length on neural activation during isometric and concentric contractions. J. Appl. Physiol. 2003, 94, 983–990. [Google Scholar] [CrossRef] [PubMed]
- Ortega, J.O.; Lindstedt, S.L.; Nelson, F.E.; Jubrias, S.A.; Kushmerick, M.J.; Conley, K. Muscle force, work and cost: A novel technique to revisit the Fenn effect. J. Exp. Biol. 2015, 218, 2075–2082. [Google Scholar] [CrossRef] [PubMed]
- Ryschon, T.W.; Fowler, M.D.; Wysong, R.E.; Anthony, A.; Balaban, R.S. Efficiency of human skeletal muscle in vivo: Comparison of isometric, concentric, and eccentric muscle action. J. Appl. Physiol. 1997, 83, 867–874. [Google Scholar] [CrossRef] [PubMed]
- Abbott, B.C.; Wilkie, D.R. The relation between velocity of shortening and the tension-length curve of skeletal muscle. J. Physiol. 1953, 120, 214–223. [Google Scholar] [CrossRef] [PubMed]
- Stotz, A.; Maghames, E.; Mason, J.; Groll, A.; Zech, A. Maximum isometric torque at individually-adjusted joint angles exceeds eccentric and concentric torque in lower extremity joint actions. BMC Sports Sci. Med. Rehabil. 2022, 14, 13. [Google Scholar] [CrossRef]
- Lum, D.; Barbosa, T.M. Brief Review: Effects of Isometric Strength Training on Strength and Dynamic Performance. Int. J. Sports Med. 2019, 40, 363–375. [Google Scholar] [CrossRef] [PubMed]
- Oranchuk, D.J.; Storey, A.G.; Nelson, A.R.; Cronin, J.B. Isometric training and long-term adaptations: Effects of muscle length, intensity, and intent: A systematic review. Scand. J. Med. Sci. Sports 2019, 29, 484–503. [Google Scholar] [CrossRef]
- Folland, J.P.; Hawker, K.; Leach, B.; Little, T.; Jones, D.A. Strength training: Isometric training at a range of joint angles versus dynamic training. J. Sports Sci. 2005, 23, 817–824. [Google Scholar] [CrossRef]
- Lum, D.; Barbosa, T.M.; Aziz, A.R.; Balasekaran, G. Effects of Isometric Strength and Plyometric Training on Running Performance: A Randomized Controlled Study. Res. Q. Exerc. Sport 2023, 94, 263–271. [Google Scholar] [CrossRef]
- Lum, D.; Barbosa, T.M.; Josehp, R.; Balasekaran, G. Effects of Two Isometric Strength Training Methods on Jump and Sprint Performances: A Randomized Controlled Trial. J. Sci. Sports Exerc. 2021, 3, 115–124. [Google Scholar] [CrossRef]
- Lum, D.; Barbosa, T.M.; Balasekaran, G. Sprint Kayaking Performance Enhancement by Isometric Strength Training Inclusion: A Randomized Controlled Trial. Sports 2021, 9, 16. [Google Scholar] [CrossRef] [PubMed]
- Lum, D.; Comfort, P.; Barbosa, T.M.; Balasekaran, G. Comparing the effects of plyometric and isometric strength training on dynamic and isometric force-time characteristics. Biol. Sport 2022, 39, 189–197. [Google Scholar] [CrossRef] [PubMed]
- Rudroff, T.; Barry, B.K.; Stone, A.L.; Barry, C.J.; Enoka, R.M. Accessory muscle activity contributes to the variation in time to task failure for different arm postures and loads. J. Appl. Physiol. 2007, 102, 1000–1006. [Google Scholar] [CrossRef] [PubMed]
- Rudroff, T.; Justice, J.N.; Holmes, M.R.; Matthews, S.D.; Enoka, R.M. Muscle activity and time to task failure differ with load compliance and target force for elbow flexor muscles. J. Appl. Physiol. 2011, 110, 125–136. [Google Scholar] [CrossRef] [PubMed]
- Schaefer, L.V.; Bittmann, F.N. Are there two forms of isometric muscle action? Results of the experimental study support a distinction between a holding and a pushing isometric muscle function. BMC Sports Sci. Med. Rehabil. 2017, 9, 11. [Google Scholar] [CrossRef] [PubMed]
- Russ, D.W.; Ross, A.J.; Clark, B.C.; Thomas, J.S. The Effects of Task Type on Time to Task Failure During Fatigue: A Modified Sørensen Test. J. Mot. Behav. 2018, 50, 96–103. [Google Scholar] [CrossRef]
- Schaefer, L.V.; Carnarius, F.; Dech, S.; Bittmann, F.N. Repeated measurements of Adaptive Force: Maximal holding capacity differs from other maximal strength parameters and preliminary characteristics for non-professional strength vs. endurance athletes. Front. Physiol. 2023, 14, 1020954. [Google Scholar] [CrossRef]
- Ripley, N.; McMahon, J.J. Validation of a commercially available strain gauge against a series of known loads using a short time approach. ISBS 2022, 40, 591–594. [Google Scholar]
- Juneau, C.M.; Diewald, S.N.; Neville, J.; Cronin, J.B.; Oranchuk, D.J. Intersession Variability of Knee Extension Kinetics Using a Strain Gauge Device With Differing Clinically Practical Physical Constraints. J. Sport Rehabil. 2022, 32, 96–101. [Google Scholar] [CrossRef]
- Hopkins, W.G.; Marshall, S.W.; Batterham, A.M.; Hanin, J. Progressive statistics for studies in sports medicine and exercise science. Med. Sci. Sports Exerc. 2009, 41, 3–13. [Google Scholar] [CrossRef] [PubMed]
- Oranchuk, D.J.; Storey, A.G.; Nelson, A.R.; Neville, J.G.; Cronin, J.B. Variability of Multiangle Isometric Force-Time Characteristics in Trained Men. J. Strength Cond. Res. 2022, 36, 284–288. [Google Scholar] [CrossRef] [PubMed]
- Oranchuk, D.J.; Hopkins, W.G.; Nelson, A.R.; Storey, A.G.; Cronin, J.B. The effect of regional quadriceps anatomical parameters on angle-specific isometric torque expression. Appl. Physiol. Nutr. Metab. 2021, 46, 368–378. [Google Scholar] [CrossRef]






| Analysis | Mean Bias | Mean 95%CI | Upper LoA | Upper LoA 95%CI | Lower LoA | Lower LoA 95%CI |
|---|---|---|---|---|---|---|
| General | 24.31 ± 20.16 N | 20.66 N–27.95 N | 63.81 N | 57.5 N–70.12 N | −15.2 N | −21.51 N–(−8.89 N) |
| Random division 1 | 24.7 ± 18.84 N | 19.83 N–29.57 N | 61.63 N | 53.2 N–70.06 N | −12.23 N | −20.66 N–(−3.8 N) |
| Random division 2 | 23.92 ± 21.54 N | 18.35 N–29.48 N | 66.13 N | 56.5 N–75.77 N | −18.3 N | −27.94 N–(−8.67 N) |
| Test 1 | 25.27 ± 19.41 N | 20.23 N–30.28 N | 63.31 N | 54.62 N–71.99 N | −12.77 N | −21.45 N–(−4.08 N) |
| Test 2 | 23.35 ± 21 N | 17.92 N–28.77 N | 64.5 N | 55.11 N–73.9 N | −17.81 N | −27.21 N–(−8.42 N) |
| 90° | 15.35 ± 16.51 N | 10.07 N–20.63 N | 47.72 N | 38.57 N–56.86 N | −17.02 N | −26.16 N–(−7.87 N) |
| 105° | 28.83 ± 18.43 N | 22.94 N–34.73 N | 64.96 N | 54.75 N–75.17 N | −7.3 N | −17.51 N–2.91 N |
| 120° | 28.74 ± 22.44 N | 21.56 N–35.92 N | 72.73 N | 60.3 N–85.16 N | −15.25 N | −27.68 N–(−2.82 N) |
| Subject 1 | 26.53 ± 19.65 N | 18.23 N–34.82 N | 65.04 N | 50.67 N–79.41 N | −11.99 N | −26.36 N–2.39 N |
| Subject 2 | 17.98 ± 24.76 N | 7.52 N–28.44 N | 66.51 N | 48.4 N–84.62 N | −30.55 N | −48.66 N–(−12.44 N) |
| Subject 3 | 21.52 ± 17.47 N | 14.14 N–28.9 N | 55.77 N | 42.99 N–68.55 N | −12.73 N | −25.51 N–0.05 N |
| Subject 4 | 25.71 ± 20.9 N | 16.89 N–34.54 N | 66.69 N | 51.4 N–81.97 N | −15.26 N | −30.55 N–0.03 N |
| Subject 5 | 29.8 ± 16.49 N | 22.84 N–36.76 N | 62.11 N | 50.05 N–74.17 N | −2.51 N | −14.57 N–9.55 N |
| Analysis | Mean Bias | Mean 95%CI | Upper LoA | Upper LoA 95%CI | Lower LoA | Lower LoA 95%CI |
|---|---|---|---|---|---|---|
| General | 1.66 ± 1.52% | 1.38–1.93% | 4.64% | 4.17–5.12% | −1.33% | −1.81–(−0.85)% |
| Random division 1 | 1.68 ± 1.45% | 1.3–2.05% | 4.53% | 3.88–5.18% | −1.17% | −1.83–(−0.52)% |
| Random division 2 | 1.61 ± 1.57% | 1.21–2.02 | 4.69% | 3.99–5.39% | −1.47% | −2.17–(−0.76)% |
| Test 1 | 1.82 ± 1.6% | 1.41–2.24% | 4.96% | 4.24–5.67% | −1.31% | −2.02–(−0.59)% |
| Test 2 | 1.46 ± 1.4% | 1.1–1.83% | 4.21% | 3.59–4.84% | −1.28% | −1.91–(−0.66)% |
| 90° | 1.59 ± 1.74% | 1.03–2.15% | 5% | 4.04–5.97% | −1.82% | −2.79–(−0.86)% |
| 105° | 1.96 ± 1.51% | 1.48–2.44% | 4.92% | 4.08–5.75% | −1% | −1.83–(−0.16)% |
| 120° | 1.38 ± 1.21% | 1–1.77% | 3.75% | 3.08–4.42% | −0.98% | −1.65–(−0.31)% |
| Subject 1 | 1.07 ± 0.88% | 0.69–1.44% | 2.8% | 2.16–3.45% | −0.67% | −1.31–(−0.02)% |
| Subject 2 | 1.32 ± 1.77% | 0.57–2.07% | 4.79% | 3.49–6.08% | −2.15% | −3.44–(−0.85)% |
| Subject 3 | 1.48 ± 1.14% | 0.99–1.96% | 3.72% | 2.88–4.56% | −0.76% | −1.6–(0.07)% |
| Subject 4 | 1.72 ± 1.45% | 1.11–2.33.% | 4.56% | 3.5–5.62% | −1.12% | −2.18–(−0.06)% |
| Subject 5 | 2.63 ± 1.71% | 1.91–3.36% | 5.99% | 4.74–7.24% | −0.72% | −1.97–0.53% |
Disclaimer/Publisher’s Note: The statements, opinions and data contained in all publications are solely those of the individual author(s) and contributor(s) and not of MDPI and/or the editor(s). MDPI and/or the editor(s) disclaim responsibility for any injury to people or property resulting from any ideas, methods, instructions or products referred to in the content. |
© 2024 by the authors. Licensee MDPI, Basel, Switzerland. This article is an open access article distributed under the terms and conditions of the Creative Commons Attribution (CC BY) license (https://creativecommons.org/licenses/by/4.0/).
Share and Cite
Varela-Olalla, D.; Balsalobre-Fernández, C.; Romero-Moraleda, B.; Jiménez-Sáiz, S.L. Reliability and Validity of the Strain Gauge “GSTRENGTH” for Measuring Peak Force in the Isometric Belt Squat at Different Joint Angles. Sensors 2024, 24, 3256. https://doi.org/10.3390/s24103256
Varela-Olalla D, Balsalobre-Fernández C, Romero-Moraleda B, Jiménez-Sáiz SL. Reliability and Validity of the Strain Gauge “GSTRENGTH” for Measuring Peak Force in the Isometric Belt Squat at Different Joint Angles. Sensors. 2024; 24(10):3256. https://doi.org/10.3390/s24103256
Chicago/Turabian StyleVarela-Olalla, Daniel, Carlos Balsalobre-Fernández, Blanca Romero-Moraleda, and Sergio L. Jiménez-Sáiz. 2024. "Reliability and Validity of the Strain Gauge “GSTRENGTH” for Measuring Peak Force in the Isometric Belt Squat at Different Joint Angles" Sensors 24, no. 10: 3256. https://doi.org/10.3390/s24103256
APA StyleVarela-Olalla, D., Balsalobre-Fernández, C., Romero-Moraleda, B., & Jiménez-Sáiz, S. L. (2024). Reliability and Validity of the Strain Gauge “GSTRENGTH” for Measuring Peak Force in the Isometric Belt Squat at Different Joint Angles. Sensors, 24(10), 3256. https://doi.org/10.3390/s24103256

