Characterization of Magnetoresistive Shunts and Its Sensitivity Temperature Compensation
Abstract
1. Introduction
2. MR-Shunt Definition and Thermal Characterization
2.1. MR-Shunt Definition and Its Electronic Interface
2.2. MR-Shunt Compensation Method
3. Experimental Results
3.1. Electronic Interface Validation
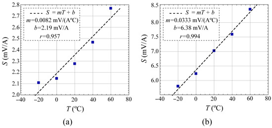
3.2. Sensitivity Temperature Coefficients without Compensation
3.3. Sensitivity Temperature Coefficients with Compensation
4. Discussion
5. Conclusions
Author Contributions
Funding
Institutional Review Board Statement
Informed Consent Statement
Data Availability Statement
Conflicts of Interest
References
- Patel, A.; Ferdowsi, M. Current Sensing for Automotive Electronics—A Survey. IEEE Trans. Veh. Technol. 2009, 58, 4108–4119. [Google Scholar] [CrossRef]
- Chen, H.; Lin, W.; Shao, S.; Wu, X.; Zhang, J. Application of Tunnel Magnetoresistance for PCB Tracks Current Sensing in High-Frequency Power Converters. IEEE Trans. Instrum. Meas. 2023, 72, 9003011. [Google Scholar] [CrossRef]
- Ziegler, S.; Woodward, R.C.; Iu, H.H.-C.; Borle, L.J. Current Sensing Techniques: A Review. IEEE Sens. J. 2009, 9, 354–376. [Google Scholar] [CrossRef]
- Biglarbegian, M.; Nibir, S.J.; Jafarian, H.; Parkhideh, B. Development of Current Measurement Techniques for High Frequency Power Converters. In Proceedings of the 2016 IEEE International Telecommunications Energy Conference (INTELEC), Austin, TX, USA, 23–27 October 2016; pp. 1–7. [Google Scholar]
- Ikeda, K.; Masuda, H. High-Precision, Wideband, Highly Stable Current Sensing Technology. Available online: https://www.hioki.com/download/31445 (accessed on 10 May 2024).
- Ward, D.A.; Exon, J.L.T. Using Rogowski Coils for Transient Current Measurements. Eng. Sci. Educ. J. 1993, 2, 105–113. [Google Scholar] [CrossRef]
- Emerald, P. Non-Intrusive Hall-Effect Current Sensing Techniques Provide Safe, Reliable Detection and Protection for Power Electronics. Available online: https://www.allegromicro.com/-/media/files/technical-documents/product-information/stp98-1-non-intrusive-hall-effect-current-sensing-techniques.pdf (accessed on 10 May 2024).
- Crescentini, M.; Syeda, S.F.; Gibiino, G.P. Hall-Effect Current Sensors: Principles of Operation and Implementation Techniques. IEEE Sens. J. 2022, 22, 10137–10151. [Google Scholar] [CrossRef]
- Bernieri, A.; Ferrigno, L.; Laracca, M.; Rasile, A. An AMR-Based Three-Phase Current Sensor for Smart Grid Applications. IEEE Sens. J. 2017, 17, 7704–7712. [Google Scholar] [CrossRef]
- Weiss, R.; Mattheis, R.; Reiss, G. Advanced Giant Magnetoresistance Technology for Measurement Applications. Meas. Sci. Technol. 2013, 24, 082001. [Google Scholar] [CrossRef]
- Li, J.; Liu, H.; Bi, T. Tunnel Magnetoresistance-Based Noncontact Current Sensing and Measurement Method. IEEE Trans. Instrum. Meas. 2022, 71, 9503609. [Google Scholar] [CrossRef]
- Schuina Neves, C.; Magalhaes, D.P.; Hall Barbosa, C.R.; Oliveira, E.C. A Contactless Ammeter Based on GMR Magnetometers. In Journal of Physics: Conference Series; Institute of Physics Publishing: Bristol, UK, 2018; Volume 1044. [Google Scholar]
- Franco, F.; Cardoso, S.; Freitas, P.P. Reconfigurable Spintronics Wheatstone Bridge Sensors with Offset Voltage Compensation at Wafer Level. IEEE Trans. Magn. 2019, 55, 4400705. [Google Scholar] [CrossRef]
- Sen, T.; Maity, A.; Sen, S. On-Chip Implementation of Different Analog Linearization Schemes for Giant-Magnetoresistance Sensors with a Comparative Study. AEU—Int. J. Electron. Commun. 2021, 139, 153903. [Google Scholar] [CrossRef]
- Monteblanco, E.; Solignac, A.; Chopin, C.; Moulin, J.; Belliot, P.; Belin, N.; Campiglio, P.; Fermon, C.; Pannetier-Lecoeur, M. Normalization and Correction Factors for Magnetic Tunnel Junction Sensor Performances Comparison. IEEE Sens. J. 2021, 21, 15993–15998. [Google Scholar] [CrossRef]
- Li, J.; Pan, F.; Li, J.; Ji, Y.; Song, H.; Wang, B. Research on TMR Current Transducer With Temperature Compensation Based on Reference Magnetic Field. IEEE Access 2023, 11, 121828–121834. [Google Scholar] [CrossRef]
- Zhu, H.; Qian, Z.; Zhang, J.; Sun, Y.; Bai, R.; Zhu, J. Temperature Relevant Performance and Calibration of Spin-Valve Sensor. Sens. Rev. 2019, 39, 881–886. [Google Scholar] [CrossRef]
- Lei, M.; Peng, T.; Zhou, F.; Yu, J.; Liang, S.; Liu, J.; Li, L. Optimal Design and Implementation of Tunnelling Magnetoresistance Based Small Current Sensor with Temperature Compensation. Energy Rep. 2022, 8, 137–146. [Google Scholar] [CrossRef]
- Borole, U.P.; Barshilia, H.C.; Ananda, C.M.; Chowdhury, P. Design, Development, and Performance Evaluation of GMR-Based Current Sensor for Industrial and Aerospace Applications. IEEE Sens. J. 2023, 23, 12687–12694. [Google Scholar] [CrossRef]
- Smith, C.H.; Schneider, R.W.; Pohm, A.V. High-Resolution Giant Magnetoresistance on-Chip Arrays for Magnetic Imaging. J. Appl. Phys. 2003, 93, 6864–6866. [Google Scholar] [CrossRef]
- Reig, C.; Pardo, F.; Boluda, J.A.; Vegara, F.; Cubells-Beltran, M.D.; Sanchis, J.; Abrunhosa, S.; Cardoso, S. Advanced Giant Magnetoresistance (GMR) Sensors for Selective-Change Driven (SCD) Circuits. In Proceedings of the 2021 13th Spanish Conference on Electron Devices, CDE 2021, Sevilla, Spain, 9 June 2021; Institute of Electrical and Electronics Engineers Inc.: Piscataway, NJ, USA, 2021; pp. 58–61. [Google Scholar]
- Meena, K.V.; Mathew, R.; Leelavathi, J.; Ravi Sankar, A. Performance Comparison of a Single Element Piezoresistor with a Half-Active Wheatstone Bridge for Miniaturized Pressure Sensors. Measurement 2017, 111, 340–350. [Google Scholar] [CrossRef]
- Zhang, H.; Xu, H.; Li, Y.; Song, Z.; San, H.; Yu, Y. A Si-Glass Based Pressure Sensor with A Single Piezoresistive Element for Harsh Environment Applications. In Proceedings of the 2013 8th IEEE International Conference on Nano/Micro Engineered and Molecular Systems (NEMS), Suzhou, China, 7–10 April 2013. [Google Scholar]
- Prochaska, M.; Rohrmann, K.; Sandner, M.; Meier, P.; Freund, F. A Readout Concept for AC-Driven XMR Sensors in Automotive Wheel Speed Applications. In Proceedings of the 2018 IEEE 9th Latin American Symposium on Circuits & Systems (LASCAS), Puerto Vallarta, Mexico, 25–28 February 2018; pp. 1–4. [Google Scholar]
- Sun, X.; Lui, K.S.; Wong, K.K.Y.; Lee, W.K.; Hou, Y.; Huang, Q.; Pong, P.W.T. Novel Application of Magnetoresistive Sensors for High-Voltage Transmission-Line Monitoring. IEEE Trans. Magn. 2011, 47, 2608–2611. [Google Scholar] [CrossRef]
- Ouyang, Y.; He, J.; Hu, J.; Wang, S.X. A Current Sensor Based on the Giant Magnetoresistance Effect: Design and Potential Smart Grid Applications. Sensors 2012, 12, 15520–15541. [Google Scholar] [CrossRef]
- Liu, J.; Lee, C.-K.; Pong, P.W.T. Enhanced Direct-Current Bias Detection Method Based on AC-Modulated Tunneling Magnetoresistive Sensor for Transformer-Based Renewable Energy Systems. IEEE Trans. Magn. 2023, 59, 4400309. [Google Scholar] [CrossRef]
- Kitchin, C.; Counts, L. A Designer’s Guide to Instrumentation Amplifiers; Analog Devices: Wilmington, MA, USA, 2000. [Google Scholar]
- Franco, S. Voltage References and Regulators. In Design with Operational Amplifiers and Analog Integrated Circuits, 4th ed.; McGraw-Hill Education, Inc.: New York, NY, USA, 2015; pp. 541–548. ISBN 978-0-07-802816-8. [Google Scholar]
- Fraden, J. Interface Electronic Circuits. In Handbook of Modern Sensors: Physics, Designs, and Applications; Fraden, J., Ed.; Springer: New York, NY, USA, 2004; pp. 151–225. ISBN 978-0-387-21604-1. [Google Scholar]
- Swartz, C.; Derrington, C.; Gragg, J. AN840/D Temperature Compensation Methods for the Freescale X-Ducer Pressure Sensor Element; Freescale Semiconductor Inc.: Austin, TX, USA, 2004; Available online: https://www.nxp.com/docs/en/application-note/AN840.pdf (accessed on 2 May 2024).
- Fraden, J. Temperature Sensors. In Handbook of Modern Sensors: Physics, Designs, and Applications; Springer International Publishing: Cham, Switzerland, 2016; pp. 585–643. ISBN 978-3-319-19303-8. [Google Scholar]
- Reverter, F. A Tutorial on Thermal Sensors in the 200th Anniversary of the Seebeck Effect. IEEE Sens. J. 2021, 21, 22122–22132. [Google Scholar] [CrossRef]
- Turkani, V.S.; Maddipatla, D.; Narakathu, B.B.; Altay, B.N.; Fleming, P.D.; Bazuin, B.J.; Atashbar, M.Z. Nickel Based RTD Fabricated via Additive Screen Printing Process for Flexible Electronics. IEEE Access 2019, 7, 37518–37527. [Google Scholar] [CrossRef]
- Gopel, W.; Hesse, J.; Zemel, J. Sensors: A Comprehensive Survey; John Wiley & Sons: Hoboken, NJ, USA, 2008; Volume 1. [Google Scholar]
- Texas Instruments Temperature Sensing with Thermistors. Available online: https://www.ti.com/lit/wp/slay054a/slay054a.pdf?ts=1711099551805&ref_url=https%253A%252F%252Fwww.google.com%252F#:~:text=Thermistors%20alter%20their%20resistance%20with,thermistors%20increase%20their%20resistance%20value (accessed on 22 March 2024).
- Sánchez, J.; Morón, M.; Ramirez, D.; Casans, S.; Navarro, E. An Electrical Current Smart Transducer Based on PSoC Platform and Integrated Spin-Valve Sensor with Embedded Thin Film Ruthenium Temperature Sensor. In Proceedings of the 2011 IEEE International Instrumentation and Measurement Technology Conference, Hangzhou, China, 10–12 May 2011; pp. 1–5. [Google Scholar]
- Sánchez Moreno, J.; Ramírez Muñoz, D.; Cardoso, S.; Casans Berga, S.; Navarro Antón, A.E.; de Freitas, P.J. A Non-Invasive Thermal Drift Compensation Technique Applied to a Spin-Valve Magnetoresistive Current Sensor. Sensors 2011, 11, 2447–2458. [Google Scholar] [CrossRef]
- Ravelo Arias, S.I.; Ramírez Muñoz, D.; Cardoso, S.; Freitas, P.P. Ru-Based Thin Film Temperature Sensor for Space Environments: Microfabrication and Characterization under Total Ionizing Dose. J. Sens. 2016, 2016, 6086752. [Google Scholar] [CrossRef]







| Temperature Sensor | TC (%/°C) (To = 20 °C) |
|---|---|
| RTD-Pt100 | 0.342 |
| RTD-Pt1k | 0.353 |
| Ru | 0.188 |
| KTY81-122 | 0.758 |
| MR-Shunt | TCwnc (%/°C) | TCwc (%/°C) | R (%) | ||
|---|---|---|---|---|---|
| Pt1k | KTY | Pt1k | KTY | ||
| TMR46 | 0.3482 | 0.0192 | −0.0086 | 94.5 | 97.5 |
| LCEL1 | 0.4743 | - | −0.0071 | - | 98.5 |
Disclaimer/Publisher’s Note: The statements, opinions and data contained in all publications are solely those of the individual author(s) and contributor(s) and not of MDPI and/or the editor(s). MDPI and/or the editor(s) disclaim responsibility for any injury to people or property resulting from any ideas, methods, instructions or products referred to in the content. |
© 2024 by the authors. Licensee MDPI, Basel, Switzerland. This article is an open access article distributed under the terms and conditions of the Creative Commons Attribution (CC BY) license (https://creativecommons.org/licenses/by/4.0/).
Share and Cite
Ramírez-Muñoz, D.; García-Gil, R.; Cardoso, S.; Freitas, P. Characterization of Magnetoresistive Shunts and Its Sensitivity Temperature Compensation. Sensors 2024, 24, 3047. https://doi.org/10.3390/s24103047
Ramírez-Muñoz D, García-Gil R, Cardoso S, Freitas P. Characterization of Magnetoresistive Shunts and Its Sensitivity Temperature Compensation. Sensors. 2024; 24(10):3047. https://doi.org/10.3390/s24103047
Chicago/Turabian StyleRamírez-Muñoz, Diego, Rafael García-Gil, Susana Cardoso, and Paulo Freitas. 2024. "Characterization of Magnetoresistive Shunts and Its Sensitivity Temperature Compensation" Sensors 24, no. 10: 3047. https://doi.org/10.3390/s24103047
APA StyleRamírez-Muñoz, D., García-Gil, R., Cardoso, S., & Freitas, P. (2024). Characterization of Magnetoresistive Shunts and Its Sensitivity Temperature Compensation. Sensors, 24(10), 3047. https://doi.org/10.3390/s24103047

