A Deep Learning Model with a Self-Attention Mechanism for Leg Joint Angle Estimation across Varied Locomotion Modes
Abstract
1. Introduction
2. Materials and Methods
2.1. Data Preparation
2.2. Baseline Model
2.3. Attention Model
2.4. Model Training
2.5. Transfer Learning
2.6. Paired T-Test
2.7. Frequency Analysis
3. Results
3.1. Model Evaluation
3.2. Fine-Tuned Models
3.3. Statistical Tests for Model Performance
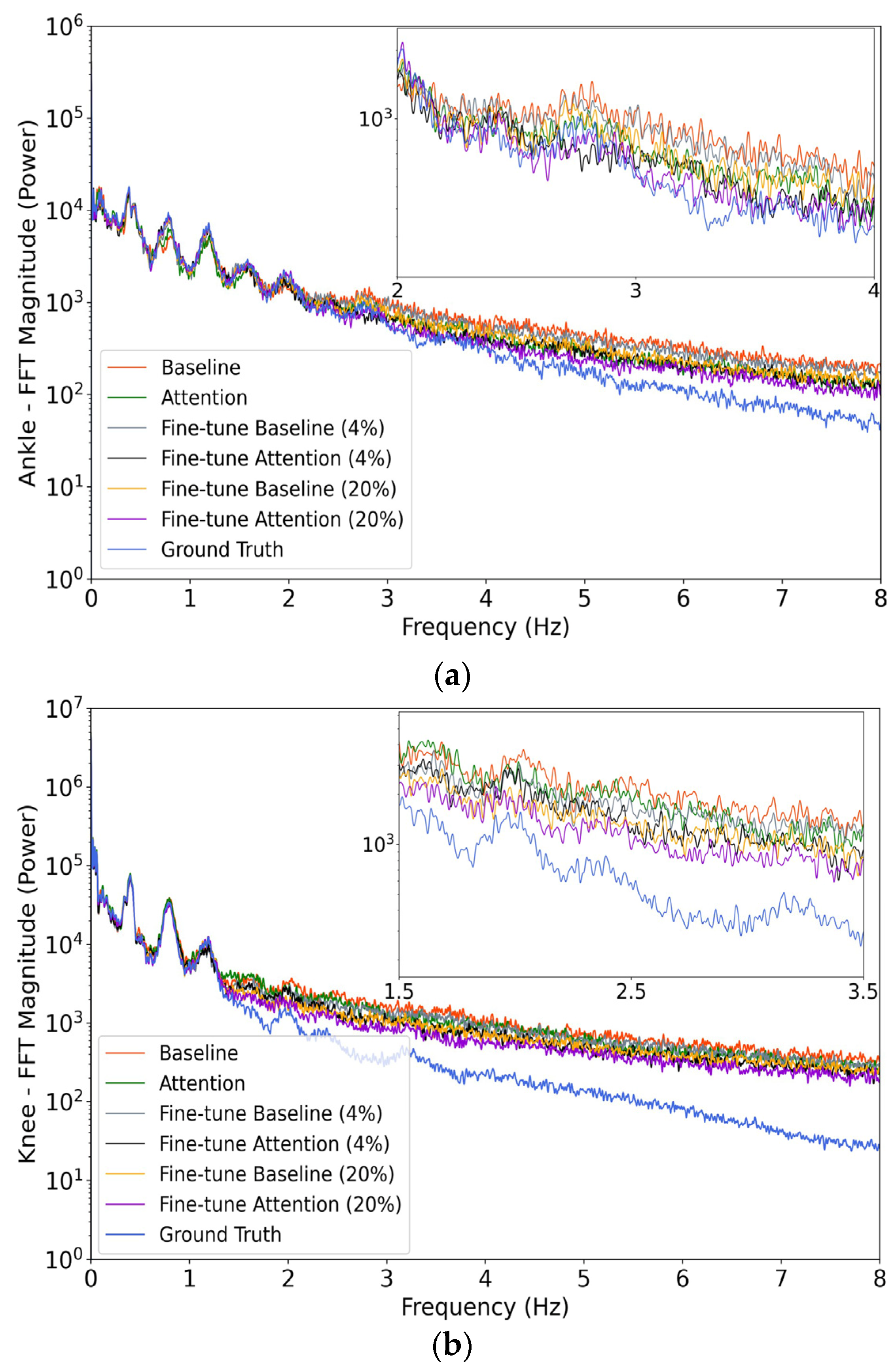
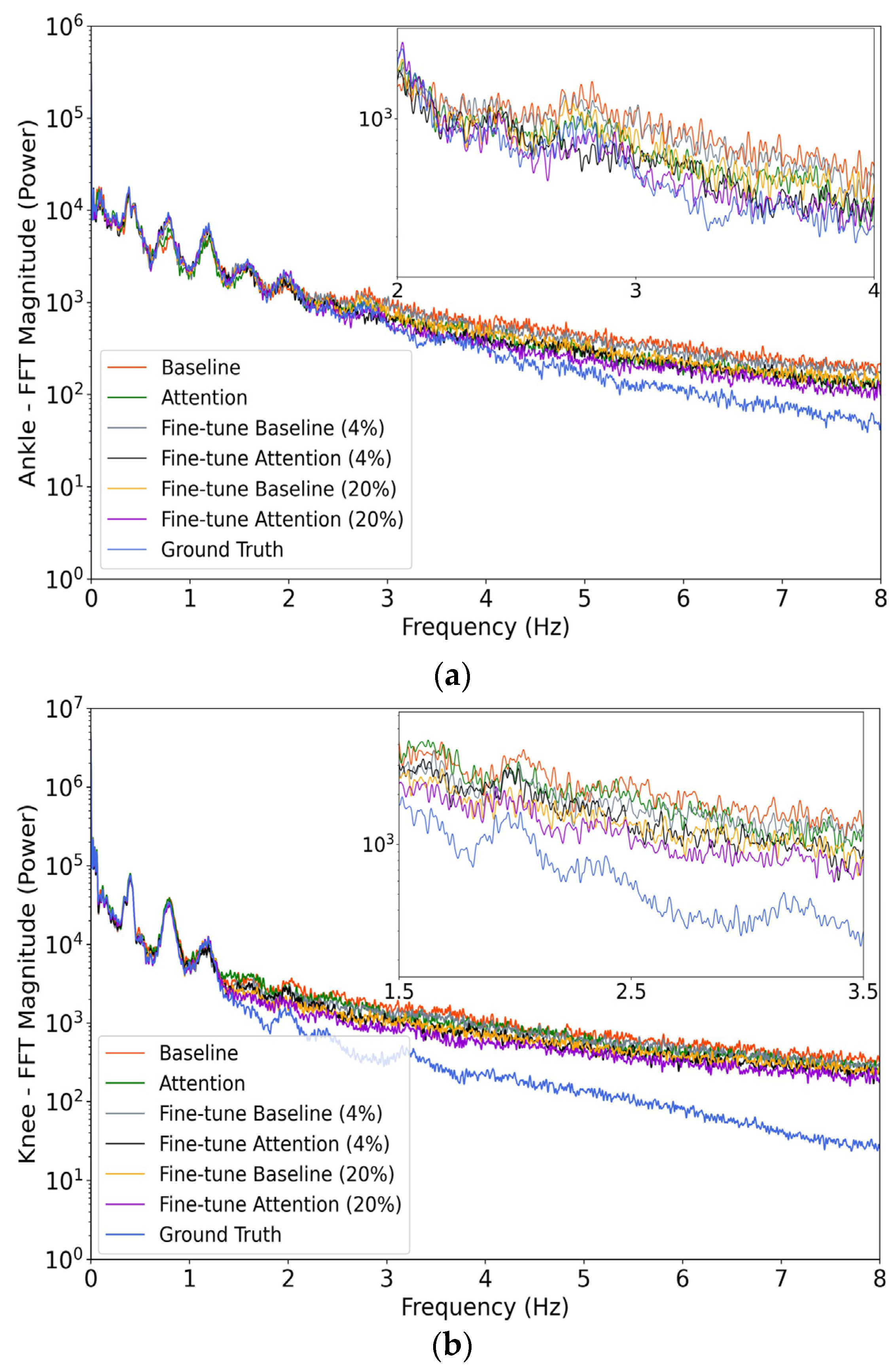
3.4. Frequency Analysis
4. Discussion
5. Conclusions
Author Contributions
Funding
Institutional Review Board Statement
Informed Consent Statement
Data Availability Statement
Conflicts of Interest
References
- Boudali, A.M.; Sinclair, P.J.; Manchester, I.R. Predicting Transitioning Walking Gaits: Hip and Knee Joint Trajectories From the Motion of Walking Canes. IEEE Trans. Neural Syst. Rehabil. Eng. 2019, 27, 1791–1800. [Google Scholar] [CrossRef] [PubMed]
- Bian, Q.; Shepherd, D.E.; Ding, Z. A Hybrid Method Integrating A Musculoskeletal Model with Long Short-Term Memory (LSTM) for Human Motion Prediction. In Proceedings of the 2022 44th Annual International Conference of the IEEE Engineering in Medicine & Biology Society (EMBC), Glasgow, UK, 11–15 July 2022; IEEE: Glasgow, UK, 2022; pp. 4230–4236. [Google Scholar]
- Umar, U.; Minhas, H.S.; Naseer, N.; Nazeer, H.; Iqbal, S.; Ahmed, M.N. Design and Simulation of Lower-Limb Exoskeleton to Assist Paraplegic People in Walking. In Proceedings of the 2022 8th International Conference on Control, Decision and Information Technologies (CoDIT), Istanbul, Turkey, 17–20 May 2022; IEEE: Istanbul, Turkey, 2022; pp. 855–860. [Google Scholar]
- Tucker, M.R.; Olivier, J.; Pagel, A.; Bleuler, H.; Bouri, M.; Lambercy, O.; del Millán, J.R.; Riener, R.; Vallery, H.; Gassert, R. Control Strategies for Active Lower Extremity Prosthetics and Orthotics: A Review. J. Neuroeng. Rehabil. 2015, 12, 1. [Google Scholar] [CrossRef] [PubMed]
- Rai, V.; Sharma, A.; Preechayasomboon, P.; Rombokas, E. Coordinated Movement for Prosthesis Reference Trajectory Generation: Temporal Factors and Attention. In Proceedings of the 2020 8th IEEE RAS/EMBS International Conference for Biomedical Robotics and Biomechatronics (BioRob), New York, NY, USA, 29 November–1 December 2020; IEEE: New York, NY, USA, 2020; pp. 939–945. [Google Scholar]
- Yi, C.; Jiang, F.; Zhang, S.; Guo, H.; Yang, C.; Ding, Z.; Wei, B.; Lan, X.; Zhou, H. Continuous Prediction of Lower-Limb Kinematics From Multi-Modal Biomedical Signals. IEEE Trans. Circuits Syst. Video Technol. 2022, 32, 2592–2602. [Google Scholar] [CrossRef]
- Sun, N.; Cao, M.; Chen, Y.; Chen, Y.; Wang, J.; Wang, Q.; Chen, X.; Liu, T. Continuous Estimation of Human Knee Joint Angles by Fusing Kinematic and Myoelectric Signals. IEEE Trans. Neural Syst. Rehabil. Eng. 2022, 30, 2446–2455. [Google Scholar] [CrossRef] [PubMed]
- Jamsrandorj, A.; Kumar, K.S.; Arshad, M.Z.; Mun, K.-R.; Kim, J. Deep Learning Networks for View-Independent Knee and Elbow Joint Angle Estimation. In Proceedings of the 2022 44th Annual International Conference of the IEEE Engineering in Medicine & Biology Society (EMBC), Glasgow, UK, 11–15 July 2022; IEEE: Glasgow, UK, 2022; pp. 2703–2707. [Google Scholar]
- Geissinger, J.H.; Asbeck, A.T. Motion Inference Using Sparse Inertial Sensors, Self-Supervised Learning, and a New Dataset of Unscripted Human Motion. Sensors 2020, 20, 6330. [Google Scholar] [CrossRef] [PubMed]
- Wang, Y.; Cheng, X.; Jabban, L.; Sui, X.; Zhang, D. Motion Intention Prediction and Joint Trajectories Generation Toward Lower Limb Prostheses Using EMG and IMU Signals. IEEE Sens. J. 2022, 22, 10719–10729. [Google Scholar] [CrossRef]
- Yu, T.; Plummer, A.; Iravani, P.; Bhatti, J.; Zahedi, S.; Moser, D. The Design, Analysis and Testing of a Compact Electrohydrostatic Powered Ankle Prosthesis. In Proceedings of the BATH/ASME 2016 Symposium on Fluid Power and Motion Control, Bath, UK, 7–9 September 2016; American Society of Mechanical Engineers: Bath, UK, 2016; p. V001T01A034. [Google Scholar]
- Dey, S.; Schilling, A. A Function Approximator Model for Robust Online Foot Angle Trajectory Prediction Using a Single IMU Sensor: Implication for Controlling Active Prosthetic Feet. IEEE Trans. Ind. Inform. 2022, 19, 1467–1475. [Google Scholar] [CrossRef]
- Yin, J.; Xue, T.; Zhang, T. Real-Time Gait Trajectory Prediction Based on Convolutional Neural Network with Multi-Head Attention. In Proceedings of the 2022 27th International Conference on Automation and Computing (ICAC), Bristol, UK, 1–3 September 2022; IEEE: Bristol, UK, 2022; pp. 1–6. [Google Scholar]
- Lv, Y.; Xu, J.; Fang, H.; Zhang, X.; Wang, Q. Data-Mined Continuous Hip-Knee Coordination Mapping With Motion Lag for Lower-Limb Prosthesis Control. IEEE Trans. Neural Syst. Rehabil. Eng. 2022, 30, 1557–1566. [Google Scholar] [CrossRef]
- Au, S.; Berniker, M.; Herr, H. Powered Ankle-Foot Prosthesis to Assist Level-Ground and Stair-Descent Gaits. Neural Netw. 2008, 21, 654–666. [Google Scholar] [CrossRef]
- Simon, A.M.; Ingraham, K.A.; Fey, N.P.; Finucane, S.B.; Lipschutz, R.D.; Young, A.J.; Hargrove, L.J. Configuring a Powered Knee and Ankle Prosthesis for Transfemoral Amputees within Five Specific Ambulation Modes. PLoS ONE 2014, 9, e99387. [Google Scholar] [CrossRef]
- Liu, M.; Zhang, F.; Datseris, P.; Huang, H. Improving Finite State Impedance Control of Active-Transfemoral Prosthesis Using Dempster-Shafer Based State Transition Rules. J. Intell. Robot. Syst. 2014, 76, 461–474. [Google Scholar] [CrossRef]
- Vallery, H.; Burgkart, R.; Hartmann, C.; Mitternacht, J.; Riener, R.; Buss, M. Complementary Limb Motion Estimation for the Control of Active Knee Prostheses. Biomed. Tech./Biomed. Eng. 2011, 56, 45–51. [Google Scholar] [CrossRef] [PubMed][Green Version]
- Huang, Y.; He, Z.; Liu, Y.; Yang, R.; Zhang, X.; Cheng, G.; Yi, J.; Ferreira, J.P.; Liu, T. Real-Time Intended Knee Joint Motion Prediction by Deep-Recurrent Neural Networks. IEEE Sens. J. 2019, 19, 11503–11509. [Google Scholar] [CrossRef]
- Wang, C.; He, B.; Wei, W.; Yi, Z.; Li, P.; Duan, S.; Wu, X. Prediction of Contralateral Lower-Limb Joint Angles Using Vibroarthrography and Surface Electromyography Signals in Time-Series Network. IEEE Trans. Autom. Sci. Eng. 2022, 20, 901–908. [Google Scholar] [CrossRef]
- Zhang, F.; Li, P.; Hou, Z.-G.; Lu, Z.; Chen, Y.; Li, Q.; Tan, M. sEMG-Based Continuous Estimation of Joint Angles of Human Legs by Using BP Neural Network. Neurocomputing 2012, 78, 139–148. [Google Scholar] [CrossRef]
- Quintero, D.; Villarreal, D.J.; Lambert, D.J.; Kapp, S.; Gregg, R.D. Continuous-Phase Control of a Powered Knee–Ankle Prosthesis: Amputee Experiments Across Speeds and Inclines. IEEE Trans. Robot. 2018, 34, 686–701. [Google Scholar] [CrossRef] [PubMed]
- Naeem, A.; Rizwan, M.; Farhan Maqbool, H.; Ahsan, M.; Raza, A.; Abouhossein, A.; Ali Dehghani-Sanij, A. Virtual Constraint Control of Knee-Ankle Prosthesis Using an Improved Estimate of the Thigh Phase-Variable. Biomed. Signal Process. Control 2022, 73, 103366. [Google Scholar] [CrossRef]
- Liu, D.-X.; Wu, X.; Du, W.; Wang, C.; Chen, C.; Xu, T. Deep Spatial-Temporal Model for Rehabilitation Gait: Optimal Trajectory Generation for Knee Joint of Lower-Limb Exoskeleton. Assem. Autom. 2017, 37, 369–378. [Google Scholar] [CrossRef]
- Rai, V.; Sharma, A.; Rombokas, E. Mode-Free Control of Prosthetic Lower Limbs. In Proceedings of the 2019 International Symposium on Medical Robotics (ISMR), Atlanta, GA, USA, 3–5 April 2019; IEEE: Atlanta, GA, USA, 2019; pp. 1–7. [Google Scholar]
- Ding, G.; Plummer, A.; Georgilas, I. Deep Learning with an Attention Mechanism for Continuous Biomechanical Motion Estimation across Varied Activities. Front. Bioeng. Biotechnol. 2022, 10, 1021505. [Google Scholar] [CrossRef]
- Vaswani, A.; Shazeer, N.; Parmar, N.; Uszkoreit, J.; Jones, L.; Gomez, A.N.; Kaiser, Ł.; Polosukhin, I. Attention Is All You Need. In Proceedings of the Advances in Neural Information Processing Systems, Beach, CA, USA, 4–9 December 2017; Guyon, I., Luxburg, U.V., Bengio, S., Wallach, H., Fergus, R., Vishwanathan, S., Garnett, R., Eds.; Curran Associates, Inc.: Red Hook, NY, USA, 2017; Volume 30. [Google Scholar]
- Zeng, A.; Chen, M.; Zhang, L.; Xu, Q. Are Transformers Effective for Time Series Forecasting? Proc. AAAI Conf. Artif. Intell. 2023, 37, 11121–11128. [Google Scholar] [CrossRef]
- Mazumder, O.; Kundu, A.S.; Lenka, P.K.; Bhaumik, S. Multi-Channel Fusion Based Adaptive Gait Trajectory Generation Using Wearable Sensors. J. Intell. Robot. Syst. 2017, 86, 335–351. [Google Scholar] [CrossRef]
- Cimolato, A.; Milandri, G.; Mattos, L.S.; De Momi, E.; Laffranchi, M.; De Michieli, L. Hybrid Machine Learning-Neuromusculoskeletal Modeling for Control of Lower Limb Prosthetics. In Proceedings of the 2020 8th IEEE RAS/EMBS International Conference for Biomedical Robotics and Biomechatronics (BioRob), New York, NY, USA, 29 June–2 July 2020; IEEE: New York, NY, USA, 2020; pp. 557–563. [Google Scholar]
- Hu, B.; Rouse, E.; Hargrove, L. Benchmark Datasets for Bilateral Lower-Limb Neuromechanical Signals from Wearable Sensors during Unassisted Locomotion in Able-Bodied Individuals. Front. Robot. AI 2018, 5, 14. [Google Scholar] [CrossRef] [PubMed]
- Zhang, L.; Soselia, D.; Wang, R.; Gutierrez-Farewik, E.M. Lower-Limb Joint Torque Prediction Using LSTM Neural Networks and Transfer Learning. IEEE Trans. Neural Syst. Rehabil. Eng. 2022, 30, 600–609. [Google Scholar] [CrossRef] [PubMed]
- Lim, B.; Arık, S.Ö.; Loeff, N.; Pfister, T. Temporal Fusion Transformers for Interpretable Multi-Horizon Time Series Forecasting. Int. J. Forecast. 2021, 37, 1748–1764. [Google Scholar] [CrossRef]
- He, K.; Zhang, X.; Ren, S.; Sun, J. Deep Residual Learning for Image Recognition. In Proceedings of the 2016 IEEE Conference on Computer Vision and Pattern Recognition (CVPR), Las Vegas, NV, USA, 27–30 June 2016; IEEE: Las Vegas, NV, USA, 2016; pp. 770–778. [Google Scholar]
- Kingma, D.P.; Ba, J. Adam: A Method for Stochastic Optimization. In Conference Track Proceedings, Proceedings of the 3rd International Conference on Learning Representations, ICLR 2015, San Diego, CA, USA, 7–9 May 2015; Bengio, Y., LeCun, Y., Eds.; ICLR: San Diego, CA, USA, 2015. [Google Scholar]
- Strickland, E. Andrew Ng, AI Minimalist: The Machine-Learning Pioneer Says Small Is the New Big. IEEE Spectr. 2022, 59, 22–50. [Google Scholar] [CrossRef]
- Soleimani, E.; Nazerfard, E. Cross-Subject Transfer Learning in Human Activity Recognition Systems Using Generative Adversarial Networks. Neurocomputing 2021, 426, 26–34. [Google Scholar] [CrossRef]
- Mitchell, P.J. Experimental Design and Statistical Analysis for Pharmacology and the Biomedical Sciences, 1st ed.; Wiley Blackwell: Chichester, UK, 2022. [Google Scholar]
- Sharma, A.; Rombokas, E. Improving IMU-Based Prediction of Lower Limb Kinematics in Natural Environments Using Egocentric Optical Flow. IEEE Trans. Neural Syst. Rehabil. Eng. 2022, 30, 699–708. [Google Scholar] [CrossRef]
- Mäkela, S.-M.; Lämsä, A.; Keränen, J.S.; Liikka, J.; Ronkainen, J.; Peltola, J.; Häikiö, J.; Järvinen, S.; Bordallo López, M. Introducing VTT-ConIot: A Realistic Dataset for Activity Recognition of Construction Workers Using IMU Devices. Sustainability 2021, 14, 220. [Google Scholar] [CrossRef]











| Metric | Architecture | Ankle | Knee |
|---|---|---|---|
| NRMSE | Baseline | 12.44% ± 2.20% | 10.08% ± 1.80% |
| Attention | 11.50% ± 2.37% | 9.31% ± 1.56% | |
| RMSE (deg) | Baseline | 5.63 ± 0.93 | 11.24 ± 2.05 |
| Attention | 5.20 ± 1.07 | 10.38 ± 1.71 | |
| MAE (deg) | Baseline | 4.59 ± 0.91 | 8.59 ± 1.74 |
| Attention | 4.24 ± 1.04 | 7.86 ± 1.42 |
| Metric | Architecture | Ankle | Knee |
|---|---|---|---|
| NRMSE | Fine-tuned Baseline (4%) | 8.24% ± 1.15% | 6.44% ± 0.85% |
| Fine-tuned Attention (4%) | 7.39% ± 0.64% | 5.96% ± 0.67% | |
| Fine-tuned Baseline (20%) | 6.88% ± 1.38% | 5.21% ± 0.91% | |
| Fine-tuned Attention (20%) | 6.45% ± 1.07% | 4.88% ± 0.58% | |
| RMSE (deg) | Fine-tuned Baseline (4%) | 3.75 ± 0.67 | 7.19 ± 1.19 |
| Fine-tuned Attention (4%) | 3.36 ± 0.47 | 6.65 ± 0.91 | |
| Fine-tuned Baseline (20%) | 3.13 ± 0.78 | 5.73 ± 1.28 | |
| Fine-tuned Attention (20%) | 2.94 ± 0.66 | 5.35 ± 0.89 | |
| MAE (deg) | Fine-tuned Baseline (4%) | 2.86 ± 0.54 | 5.13 ± 0.76 |
| Fine-tuned Attention (4%) | 2.55 ± 0.38 | 4.74 ± 0.67 | |
| Fine-tuned Baseline (20%) | 2.34 ± 0.63 | 3.97 ± 0.90 | |
| Fine-tuned Attention (20%) | 2.20 ± 0.52 | 3.77 ± 0.62 |
| Metric | Paired Model Group | Ankle | Knee |
|---|---|---|---|
| NRMSE | Original baseline and attention | 0.574 | 0.705 |
| Fine-tuned baseline and attention (4%) | 0.949 | 0.436 | |
| Fine-tuned baseline and attention (20%) | 0.597 | 0.099 | |
| RMSE | Original baseline and attention | 0.797 | 0.780 |
| Fine-tuned baseline and attention (4%) | 0.700 | 0.261 | |
| Fine-tuned baseline and attention (20%) | 0.517 | 0.046 | |
| MAE | Original baseline and attention | 0.859 | 0.515 |
| Fine-tuned baseline and attention (4%) | 0.893 | 0.923 | |
| Fine-tuned baseline and attention (20%) | 0.570 | 0.548 |
| Metric | Paired Model Group | Ankle | Knee |
|---|---|---|---|
| NRMSE | Original baseline and attention | 0.002 | <0.001 |
| Fine-tuned baseline and attention (4%) | 0.002 | 0.003 | |
| Fine-tuned baseline and attention (20%) | 0.023 | 0.015 | |
| RMSE | Original baseline and attention | <0.001 | <0.001 |
| Fine-tuned baseline and attention (4%) | 0.002 | 0.004 | |
| Fine-tuned baseline and attention (20%) | 0.021 | 0.019 | |
| MAE | Original baseline and attention | 0.002 | <0.001 |
| Fine-tuned baseline and attention (4%) | 0.002 | 0.006 | |
| Fine-tuned baseline and attention (20%) | 0.029 | 0.051 |
Disclaimer/Publisher’s Note: The statements, opinions and data contained in all publications are solely those of the individual author(s) and contributor(s) and not of MDPI and/or the editor(s). MDPI and/or the editor(s) disclaim responsibility for any injury to people or property resulting from any ideas, methods, instructions or products referred to in the content. |
© 2023 by the authors. Licensee MDPI, Basel, Switzerland. This article is an open access article distributed under the terms and conditions of the Creative Commons Attribution (CC BY) license (https://creativecommons.org/licenses/by/4.0/).
Share and Cite
Ding, G.; Georgilas, I.; Plummer, A. A Deep Learning Model with a Self-Attention Mechanism for Leg Joint Angle Estimation across Varied Locomotion Modes. Sensors 2024, 24, 211. https://doi.org/10.3390/s24010211
Ding G, Georgilas I, Plummer A. A Deep Learning Model with a Self-Attention Mechanism for Leg Joint Angle Estimation across Varied Locomotion Modes. Sensors. 2024; 24(1):211. https://doi.org/10.3390/s24010211
Chicago/Turabian StyleDing, Guanlin, Ioannis Georgilas, and Andrew Plummer. 2024. "A Deep Learning Model with a Self-Attention Mechanism for Leg Joint Angle Estimation across Varied Locomotion Modes" Sensors 24, no. 1: 211. https://doi.org/10.3390/s24010211
APA StyleDing, G., Georgilas, I., & Plummer, A. (2024). A Deep Learning Model with a Self-Attention Mechanism for Leg Joint Angle Estimation across Varied Locomotion Modes. Sensors, 24(1), 211. https://doi.org/10.3390/s24010211

