An Overview on Recent Advances in Biomimetic Sensors for the Detection of Perfluoroalkyl Substances
Abstract
:1. Introduction
2. PFAS Sensing with Receptors Made via Imprinting Technology
2.1. Imprinting with Conventional Polymerization Methods
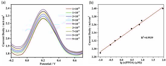
2.2. Imprinting by Electropolymerization
2.3. Imprinting on Nanoparticles
2.4. Imprinting on Nanofibers
3. PFAS Sensing with Other Synthetic Receptors
3.1. PFAS Sensing with Aptamers
3.2. PFAS Sensing with Metal–Organic Frameworks
4. Comparison between the Different Receptor Types
5. Conclusions
Author Contributions
Funding
Institutional Review Board Statement
Informed Consent Statement
Conflicts of Interest
References
- Chen, C.; Wang, J.; Yang, S.; Yan, Z.; Cai, Q.; Yao, S. Analysis of Perfluorooctane Sulfonate and Perfluorooctanoic Acid with a Mixed-Mode Coating-Based Solid-Phase Microextraction Fiber. Talanta 2013, 114, 11–16. [Google Scholar] [CrossRef] [PubMed]
- Kazemi, R.; Potts, E.I.; Dick, J.E. Quantifying Interferent Effects on Molecularly Imprinted Polymer Sensors for Per- and Polyfluoroalkyl Substances (PFAS). Anal. Chem. 2020, 92, 10597–10605. [Google Scholar] [CrossRef] [PubMed]
- Smaili, H.; Ng, C. Adsorption as a Remediation Technology for Short-Chain per- and Polyfluoroalkyl Substances (PFAS) from Water—A Critical Review. Environ. Sci. 2022, 9, 344–362. [Google Scholar] [CrossRef]
- Yu, H.; Chen, Y.F.; Guo, H.Q.; Ma, W.T.; Li, J.; Zhou, S.G.; Lin, S.; Yan, L.S.; Li, K.X. Preparation of Molecularly Imprinted Carbon Microspheres by One-Pot Hydrothermal Method and Their Adsorption Properties to Perfluorooctane Sulfonate. Chin. J. Anal. Chem. 2019, 47, 1776–1784. [Google Scholar] [CrossRef]
- Hassan, M.H.; Khan, R.; Andreescu, S. Advances in Electrochemical Detection Methods for Measuring Contaminants of Emerging Concerns. Electrochem. Sci. Adv. 2022, 2, e2100184. [Google Scholar] [CrossRef]
- Jones, J.L.; Burket, S.R.; Hanley, A.; Shoemaker, J.A. Development of a Standardized Adsorbable Organofluorine Screening Method for Wastewaters with Detection by Combustion Ion Chromatography. Anal. Methods 2022, 14, 3501–3511. [Google Scholar] [CrossRef]
- Bell, E.M.; De Guise, S.; McCutcheon, J.R.; Lei, Y.; Levin, M.; Li, B.; Rusling, J.F.; Lawrence, D.A.; Cavallari, J.M.; O’Connell, C.; et al. Exposure, Health Effects, Sensing, and Remediation of the Emerging PFAS Contaminants—Scientific Challenges and Potential Research Directions. Sci. Total Environ. 2021, 780, 146399. [Google Scholar] [CrossRef]
- Gong, J.; Fang, T.; Peng, D.; Li, A.; Zhang, L. A Highly Sensitive Photoelectrochemical Detection of Perfluorooctanic Acid with Molecularly Imprined Polymer-Functionalized Nanoarchitectured Hybrid of AgI-BiOI Composite. Biosens. Bioelectron. 2015, 73, 256–263. [Google Scholar] [CrossRef]
- Ranaweera, R.; An, S.; Cao, Y.; Luo, L. Highly Efficient Preconcentration Using Anodically Generated Shrinking Gas Bubbles for Per- and Polyfluoroalkyl Substances (PFAS) Detection. Anal. Bioanal. Chem. 2022, 415, 4153–4162. [Google Scholar] [CrossRef]
- Cao, F.; Wang, L.; Ren, X.; Wu, F.; Sun, H.; Lu, S. The Application of Molecularly Imprinted Polymers in Passive Sampling for Selective Sampling Perfluorooctanesulfonic Acid and Perfluorooctanoic Acid in Water Environment. Environ. Sci. Pollut. Res. 2018, 25, 33309–33321. [Google Scholar] [CrossRef]
- Pitruzzella, R.; Arcadio, F.; Perri, C.; Del Prete, D.; Porto, G.; Zeni, L.; Cennamo, N. Ultra-Low Detection of Perfluorooctanoic Acid Using a Novel Plasmonic Sensing Approach Combined with Molecularly Imprinted Polymers. Chemosensors 2023, 11, 211. [Google Scholar] [CrossRef]
- Hill, N.I.; Becanova, J.; Lohmann, R. A Sensitive Method for the Detection of Legacy and Emerging Per- and Polyfluorinated Alkyl Substances (PFAS) in Dairy Milk. Anal. Bioanal. Chem. 2022, 414, 1235–1243. [Google Scholar] [CrossRef] [PubMed]
- Directive (EU) 2020/2184 of the European Parliament and of the Council of 16 December 2020 on the Quality of Water Intended for Human Consumption (Recast). Available online: https://Eur-Lex.Europa.Eu/Eli/Dir/2020/2184/Oj (accessed on 14 November 2023).
- Fenton, S.E.; Ducatman, A.; Boobis, A.; DeWitt, J.C.; Lau, C.; Ng, C.; Smith, J.S.; Roberts, S.M. Per- and Polyfluoroalkyl Substance Toxicity and Human Health Review: Current State of Knowledge and Strategies for Informing Future Research. Environ. Toxicol. Chem. 2021, 40, 606–630. [Google Scholar] [CrossRef] [PubMed]
- Skaggs, C.S.; Logue, B.A. Ultratrace Analysis of Per- and Polyfluoroalkyl Substances in Drinking Water Using Ice Concentration Linked with Extractive Stirrer and High Performance Liquid Chromatography—Tandem Mass Spectrometry. J. Chromatogr. A 2021, 1659, 462493. [Google Scholar] [CrossRef]
- Casey, J.S.; Jackson, S.R.; Ryan, J.; Newton, S.R. The Use of Gas Chromatography—High Resolution Mass Spectrometry for Suspect Screening and Non-Targeted Analysis of per- and Polyfluoroalkyl Substances. J. Chromatogr. A 2023, 1693, 463884. [Google Scholar] [CrossRef]
- Gogoi, P.; Yao, Y.; Li, Y.C. Understanding PFOS Adsorption on a Pt Electrode for Electrochemical Sensing Applications. ChemElectroChem 2023, 10, 202201006. [Google Scholar] [CrossRef]
- Gonzalez de Vega, R.; Cameron, A.; Clases, D.; Dodgen, T.M.; Doble, P.A.; Bishop, D.P. Simultaneous Targeted and Non-Targeted Analysis of per- and Polyfluoroalkyl Substances in Environmental Samples by Liquid Chromatography-Ion Mobility-Quadrupole Time of Flight-Mass Spectrometry and Mass Defect Analysis. J. Chromatogr. A 2021, 1653, 462423. [Google Scholar] [CrossRef]
- Farooq, S.; Nie, J.; Cheng, Y.; Yan, Z.; Li, J.; Bacha, S.A.S.; Mushtaq, A.; Zhang, H. Molecularly Imprinted Polymers’ Application in Pesticide Residue Detection. Analyst 2018, 143, 3971–3989. [Google Scholar] [CrossRef]
- Tarannum, N.; Khatoon, S.; Dzantiev, B.B. Perspective and Application of Molecular Imprinting Approach for Antibiotic Detection in Food and Environmental Samples: A Critical Review. Food Control 2020, 118, 107381. [Google Scholar] [CrossRef]
- Oprea, A.; Weimar, U. Gas Sensors Based on Mass-Sensitive Transducers Part 1: Transducers and Receptors—Basic Understanding. Anal. Bioanal. Chem. 2019, 411, 1761–1787. [Google Scholar] [CrossRef]
- Lian, X.; Zhou, Y.J.; Zhang, H.F.; Li, M.; Huang, X.C. Luminescence Turn-on Detection by an Entanglement-Protected MOF Operating: Via a Divided Receptor-Transducer Protocol. J. Mater. Chem. C 2020, 8, 3622–3625. [Google Scholar] [CrossRef]
- Cheng, Y.H.; Barpaga, D.; Soltis, J.A.; Shutthanandan, V.; Kargupta, R.; Han, K.S.; McGrail, B.P.; Motkuri, R.K.; Basuray, S.; Chatterjee, S. Metal-Organic Framework-Based Microfluidic Impedance Sensor Platform for Ultrasensitive Detection of Perfluorooctanesulfonate. ACS Appl. Mater. Interfaces 2020, 12, 10503–10514. [Google Scholar] [CrossRef] [PubMed]
- Naseri, M.; Mohammadniaei, M.; Sun, Y.; Ashley, J. The Use of Aptamers and Molecularly Imprinted Polymers in Biosensors for Environmental Monitoring: A Tale of Two Receptors. Chemosensors 2020, 8, 32. [Google Scholar] [CrossRef]
- Berhanu, A.; Mutanda, I.; Taolin, J.; Qaria, M.A.; Yang, B.; Zhu, D. A Review of Microbial Degradation of Per- and Polyfluoroalkyl Substances (PFAS): Biotransformation Routes and Enzymes. Sci. Total Environ. 2023, 859, 160010. [Google Scholar] [CrossRef] [PubMed]
- Shahsavari, E.; Rouch, D.; Khudur, L.S.; Thomas, D.; Aburto-Medina, A.; Ball, A.S. Challenges and Current Status of the Biological Treatment of PFAS-Contaminated Soils. Front. Bioeng. Biotechnol. 2021, 8, 602040. [Google Scholar] [CrossRef]
- Ali, G.K.; Omer, K.M. Molecular Imprinted Polymer Combined with Aptamer (MIP-Aptamer) as a Hybrid Dual Recognition Element for Bio(Chemical) Sensing Applications. Review. Talanta 2022, 236, 122878. [Google Scholar] [CrossRef]
- Kamyab, H.; Chelliapan, S.; Tavakkoli, O.; Mesbah, M.; Bhutto, J.K.; Khademi, T.; Kirpichnikova, I.; Ahmad, A.; ALJohani, A.A. A Review on Carbon-Based Molecularly-Imprinted Polymers (CBMIP) for Detection of Hazardous Pollutants in Aqueous Solutions. Chemosphere 2022, 308, 136471. [Google Scholar] [CrossRef]
- Ashley, J.; Shahbazi, M.A.; Kant, K.; Chidambara, V.A.; Wolff, A.; Bang, D.D.; Sun, Y. Molecularly Imprinted Polymers for Sample Preparation and Biosensing in Food Analysis: Progress and Perspectives. Biosens. Bioelectron. 2017, 91, 606–615. [Google Scholar] [CrossRef]
- Rebelo, P.; Costa-Rama, E.; Seguro, I.; Pacheco, J.G.; Nouws, H.P.A.; Cordeiro, M.N.D.S.; Delerue-Matos, C. Molecularly Imprinted Polymer-Based Electrochemical Sensors for Environmental Analysis. Biosens. Bioelectron. 2021, 172, 112719. [Google Scholar] [CrossRef]
- Jiao, Z.; Li, J.; Mo, L.; Liang, J.; Fan, H. A Molecularly Imprinted Chitosan Doped with Carbon Quantum Dots for Fluorometric Determination of Perfluorooctane Sulfonate. Microchim. Acta 2018, 185, 473. [Google Scholar] [CrossRef]
- Yu, Q.; Deng, S.; Yu, G. Selective Removal of Perfluorooctane Sulfonate from Aqueous Solution Using Chitosan-Based Molecularly Imprinted Polymer Adsorbents. Water Res. 2008, 42, 3089–3097. [Google Scholar] [CrossRef] [PubMed]
- Malik, A.A.; Nantasenamat, C.; Piacham, T. Molecularly Imprinted Polymer for Human Viral Pathogen Detection. Mater. Sci. Eng. C 2017, 77, 1341–1348. [Google Scholar] [CrossRef] [PubMed]
- Cennamo, N.; D’Agostino, G.; Sequeira, F.; Mattiello, F.; Porto, G.; Biasiolo, A.; Nogueira, R.; Bilro, L.; Zeni, L. A Simple and Low-Cost Optical Fiber Intensity-Based Configuration for Perfluorinated Compounds in Water Solution. Sensors 2018, 18, 3009. [Google Scholar] [CrossRef] [PubMed]
- Selvolini, G.; Marrazza, G. MIP-Based Sensors: Promising New Tools for Cancer Biomarker Determination. Sensors 2017, 17, 718. [Google Scholar] [CrossRef] [PubMed]
- Peeters, M.; Troost, F.J.; van Grinsven, B.; Horemans, F.; Alenus, J.; Murib, M.S.; Keszthelyi, D.; Ethirajan, A.; Thoelen, R.; Cleij, T.J.; et al. MIP-Based Biomimetic Sensor for the Electronic Detection of Serotonin in Human Blood Plasma. Sens. Actuators B Chem. 2012, 171–172, 602–610. [Google Scholar] [CrossRef]
- Cao, Y.; Feng, T.; Xu, J.; Xue, C. Recent Advances of Molecularly Imprinted Polymer-Based Sensors in the Detection of Food Safety Hazard Factors. Biosens. Bioelectron. 2019, 141, 111447. [Google Scholar] [CrossRef] [PubMed]
- Whitcombe, M.J.; Chianella, I.; Larcombe, L.; Piletsky, S.A.; Noble, J.; Porter, R.; Horgan, A. The Rational Development of Molecularly Imprinted Polymer-Based Sensors for Protein Detection. Chem. Soc. Rev. 2011, 40, 1547–1571. [Google Scholar] [CrossRef]
- Cao, F.; Wang, L.; Ren, X.; Sun, H. Synthesis of a Perfluorooctanoic Acid Molecularly Imprinted Polymer for the Selective Removal of Perfluorooctanoic Acid in an Aqueous Environment. J. Appl. Polym. Sci. 2016, 133, 43192. [Google Scholar] [CrossRef]
- Fang, C.; Chen, Z.; Megharaj, M.; Naidu, R. Potentiometric Detection of AFFFs Based on MIP. Environ. Technol. Innov. 2016, 5, 52–59. [Google Scholar] [CrossRef]
- Chen, S.; Li, A.; Zhang, L.; Gong, J. Molecularly Imprinted Ultrathin Graphitic Carbon Nitride Nanosheets-Based Electrochemiluminescence Sensing Probe for Sensitive Detection of Perfluorooctanoic Acid. Anal. Chim. Acta 2015, 896, 68–77. [Google Scholar] [CrossRef]
- Dickman, R.A.; Aga, D.S. A Review of Recent Studies on Toxicity, Sequestration, and Degradation of per- and Polyfluoroalkyl Substances (PFAS). J. Hazard. Mater. 2022, 436, 129120. [Google Scholar] [CrossRef] [PubMed]
- Tasfaout, A.; Ibrahim, F.; Morrin, A.; Brisset, H.; Sorrentino, I.; Nanteuil, C.; Laffite, G.; Nicholls, I.A.; Regan, F.; Branger, C. Molecularly Imprinted Polymers for Per- and Polyfluoroalkyl Substances Enrichment and Detection. Talanta 2023, 258, 124434. [Google Scholar] [CrossRef] [PubMed]
- Ganesan, S.; Chawengkijwanich, C.; Gopalakrishnan, M.; Janjaroen, D. Detection Methods for Sub-Nanogram Level of Emerging Pollutants—Per and Polyfluoroalkyl Substances. Food Chem. Toxicol. 2022, 168, 113377. [Google Scholar] [CrossRef]
- Pardeshi, S.; Dhodapkar, R. Advances in Fabrication of Molecularly Imprinted Electrochemical Sensors for Detection of Contaminants and Toxicants. Environ. Res. 2022, 212, 113359. [Google Scholar] [CrossRef] [PubMed]
- Chi, T.Y.; Chen, Z.; Kameoka, J. Perfluorooctanesulfonic Acid Detection Using Molecularly Imprinted Polyaniline on a Paper Substrate. Sensors 2020, 20, 7301. [Google Scholar] [CrossRef] [PubMed]
- Vu, O.T.; Nguyen, Q.H.; Nguy Phan, T.; Luong, T.T.; Eersels, K.; Wagner, P.; Truong, L.T.N. Highly Sensitive Molecularly Imprinted Polymer-Based Electrochemical Sensors Enhanced by Gold Nanoparticles for Norfloxacin Detection in Aquaculture Water. ACS Omega 2023, 8, 2887–2896. [Google Scholar] [CrossRef] [PubMed]
- Lowdon, J.W.; Eersels, K.; Arreguin-Campos, R.; Caldara, M.; Heidt, B.; Rogosic, R.; Jimenez-Monroy, K.L.; Cleij, T.J.; Diliën, H.; van Grinsven, B. A Molecularly Imprinted Polymer-Based Dye Displacement Assay for the Rapid Visual Detection of Amphetamine in Urine. Molecules 2020, 25, 5222. [Google Scholar] [CrossRef]
- Cennamo, N.; D’Agostino, G.; Porto, G.; Biasiolo, A.; Perri, C.; Arcadio, F.; Zeni, L. A Molecularly Imprinted Polymer on a Plasmonic Plastic Optical Fiber to Detect Perfluorinated Compounds in Water. Sensors 2018, 18, 1836. [Google Scholar] [CrossRef]
- Ayerdurai, V.; Cieplak, M.; Kutner, W. Molecularly Imprinted Polymer-Based Electrochemical Sensors for Food Contaminants Determination. Trends Anal. Chem. 2023, 158, 116830. [Google Scholar] [CrossRef]
- Jahanban-Esfahlan, A.; Roufegarinejad, L.; Jahanban-Esfahlan, R.; Tabibiazar, M.; Amarowicz, R. Latest Developments in the Detection and Separation of Bovine Serum Albumin Using Molecularly Imprinted Polymers. Talanta 2020, 207, 120317. [Google Scholar] [CrossRef]
- Jamalipour Soufi, G.; Iravani, S.; Varma, R.S. Molecularly Imprinted Polymers for the Detection of Viruses: Challenges and Opportunities. Analyst 2021, 146, 3087–3100. [Google Scholar] [CrossRef] [PubMed]
- McClements, J.; Bar, L.; Singla, P.; Canfarotta, F.; Thomson, A.; Czulak, J.; Johnson, R.E.; Crapnell, R.D.; Banks, C.E.; Payne, B.; et al. Molecularly Imprinted Polymer Nanoparticles Enable Rapid, Reliable, and Robust Point-of-Care Thermal Detection of SARS-CoV-2. ACS Sens. 2022, 7, 1122–1131. [Google Scholar] [CrossRef] [PubMed]
- Stilman, W.; Campolim Lenzi, M.; Wackers, G.; Deschaume, O.; Yongabi, D.; Mathijssen, G.; Bartic, C.; Gruber, J.; Wübbenhorst, M.; Heyndrickx, M.; et al. Low Cost, Sensitive Impedance Detection of E. coli Bacteria in Food-Matrix Samples Using Surface-Imprinted Polymers as Whole-Cell Receptors. Phys. Status Solidi A 2022, 219, 2100405. [Google Scholar] [CrossRef]
- Eersels, K.; Lieberzeit, P.; Wagner, P. A Review on Synthetic Receptors for Bioparticle Detection Created by Surface-Imprinting Techniques—From Principles to Applications. ACS Sens. 2016, 1, 1171–1187. [Google Scholar] [CrossRef]
- Seo, H.B.; Gu, M.B. Aptamer-Based Sandwich-Type Biosensors. J. Biol. Eng. 2017, 11, 11. [Google Scholar] [CrossRef] [PubMed]
- Zhou, W.; Jimmy Huang, P.J.; Ding, J.; Liu, J. Aptamer-Based Biosensors for Biomedical Diagnostics. Analyst 2014, 139, 2627–2640. [Google Scholar] [CrossRef] [PubMed]
- Kudłak, B.; Wieczerzak, M. Aptamer Based Tools for Environmental and Therapeutic Monitoring: A Review of Developments, Applications, Future Perspectives. Crit. Rev. Environ. Sci. Technol. 2020, 50, 816–867. [Google Scholar] [CrossRef]
- Park, J.; Yang, K.A.; Choi, Y.; Choe, J.K. Novel ssDNA Aptamer-Based Fluorescence Sensor for Perfluorooctanoic Acid Detection in Water. Environ. Int. 2022, 158, 107000. [Google Scholar] [CrossRef]
- Mukunzi, D.; Habimana, J.d.D.; Li, Z.; Zou, X. Mycotoxins Detection: View in the Lens of Molecularly Imprinted Polymer and Nanoparticles. Crit. Rev. Food Sci. Nutr. 2022, 63, 6034–6068. [Google Scholar] [CrossRef]
- Vanoursouw, T.M.; Rottiger, T.; Wadzinski, K.A.; Vanderwaal, B.E.; Snyder, M.J.; Bittner, R.T.; Farha, O.K.; Riha, S.C.; Mondloch, J.E. Adsorption of a PFAS Utilizing MOF-808: Development of an Undergraduate Laboratory Experiment in a Capstone Course. J. Chem. Educ. 2023, 100, 861–868. [Google Scholar] [CrossRef]
- Li, R.; Alomari, S.; Stanton, R.; Wasson, M.C.; Islamoglu, T.; Farha, O.K.; Holsen, T.M.; Thagard, S.M.; Trivedi, D.J.; Wriedt, M. Efficient Removal of Per- And Polyfluoroalkyl Substances from Water with Zirconium-Based Metal-Organic Frameworks. Chem. Mater. 2021, 33, 3276–3285. [Google Scholar] [CrossRef]
- FitzGerald, L.I.; Olorunyomi, J.F.; Singh, R.; Doherty, C.M. Towards Solving the PFAS Problem: The Potential Role of Metal-Organic Frameworks. ChemSusChem 2022, 15, e202201136. [Google Scholar] [CrossRef] [PubMed]
- Hu, M.L.; Razavi, S.A.A.; Piroozzadeh, M.; Morsali, A. Sensing Organic Analytes by Metal-Organic Frameworks: A New Way of Considering the Topic. Inorg. Chem. Front. 2020, 7, 1598–1632. [Google Scholar] [CrossRef]
- Menger, R.F.; Funk, E.; Henry, C.S.; Borch, T. Sensors for Detecting Per- and Polyfluoroalkyl Substances (PFAS): A Critical Review of Development Challenges, Current Sensors, and Commercialization Obstacles. Chem. Eng. J. 2021, 417, 129133. [Google Scholar] [CrossRef] [PubMed]
- Karbassiyazdi, E.; Kasula, M.; Modak, S.; Pala, J.; Kalantari, M.; Altaee, A.; Esfahani, M.R.; Razmjou, A. A Juxtaposed Review on Adsorptive Removal of PFAS by Metal-Organic Frameworks (MOFs) with Carbon-Based Materials, Ion Exchange Resins, and Polymer Adsorbents. Chemosphere 2023, 311, 136933. [Google Scholar] [CrossRef] [PubMed]
- Wang, Y.; Ren, R.; Chen, F.; Jing, L.; Tian, Z.; Li, Z.; Wang, J.; Hou, C. Molecularly Imprinted MOFs-Driven Carbon Nanofiber for Sensitive Electrochemical Detection and Targeted Electro-Fenton Degradation of Perfluorooctanoic Acid. Sep. Purif. Technol. 2023, 310, 123257. [Google Scholar] [CrossRef]
- Pirot, S.M.; Omer, K.M.; Alshatteri, A.H.; Ali, G.K.; Shatery, O.B.A. Dual-Template Molecularly Surface Imprinted Polymer on Fluorescent Metal-Organic Frameworks Functionalized with Carbon Dots for Ascorbic Acid and Uric Acid Detection. Spectrochim. Acta Part A Mol. Biomol. Spectrosc. 2023, 291, 122340. [Google Scholar] [CrossRef]
- Lv, M.; Zhou, W.; Tavakoli, H.; Bautista, C.; Xia, J.; Wang, Z.; Li, X.J. Aptamer-Functionalized Metal-Organic Frameworks (MOFs) for Biosensing. Biosens. Bioelectron. 2021, 176, 112947. [Google Scholar] [CrossRef]
- Zhou, Q.; Xu, Z.; Liu, Z. Molecularly Imprinting-Aptamer Techniques and Their Applications in Molecular Recognition. Biosensors 2022, 12, 576. [Google Scholar] [CrossRef]
- Wu, Y.; Li, Y.; Tian, A.; Mao, K.; Liu, J. Selective Removal of Perfluorooctanoic Acid Using Molecularly Imprinted Polymer-Modified TiO2 Nanotube Arrays. Int. J. Photoenergy 2016, 2016, 7368795. [Google Scholar] [CrossRef]
- Abbasian Chaleshtari, Z.; Foudazi, R. A Review on Per- and Polyfluoroalkyl Substances (PFAS) Remediation: Separation Mechanisms and Molecular Interactions. ACS ES T Water 2022, 2, 2258–2272. [Google Scholar] [CrossRef]
- Karadurmus, L.; Bilge, S.; Sınağ, A.; Ozkan, S.A. Molecularly Imprinted Polymer (MIP)-Based Sensing for Detection of Explosives: Current Perspectives and Future Applications. Trends Anal. Chem. 2022, 155, 116694. [Google Scholar] [CrossRef]
- Caldara, M.; van Wissen, G.; Cleij, T.J.; Diliën, H.; van Grinsven, B.; Eersels, K.; Lowdon, J.W. Deposition Methods for the Integration of Molecularly Imprinted Polymers (MIPs) in Sensor Applications. Adv. Sens. Res. 2023, 2, 2200059. [Google Scholar] [CrossRef]
- Cennamo, N.; D’Agostino, G.; Arcadio, F.; Perri, C.; Porto, G.; Biasiolo, A.; Zeni, L. Measurement of MIPs Responses Deposited on Two SPR-POF Sensors Realized by Different Photoresist Buffer Layers. IEEE Trans. Instrum. Meas. 2020, 69, 1464–1473. [Google Scholar] [CrossRef]
- Hasseb, A.A.; Abdel Ghani, N.d.T.; Shehab, O.R.; El Nashar, R.M. Application of Molecularly Imprinted Polymers for Electrochemical Detection of Some Important Biomedical Markers and Pathogens. Curr. Opin. Electrochem. 2022, 31, 100848. [Google Scholar] [CrossRef]
- Metwally, M.G.; Benhawy, A.H.; Khalifa, R.M.; El Nashar, R.M.; Trojanowicz, M. Application of Molecularly Imprinted Polymers in the Analysis of Waters and Wastewaters. Molecules 2021, 26, 6515. [Google Scholar] [CrossRef] [PubMed]
- Jamieson, O.; Mecozzi, F.; Crapnell, R.D.; Battell, W.; Hudson, A.; Novakovic, K.; Sachdeva, A.; Canfarotta, F.; Herdes, C.; Banks, C.E.; et al. Approaches to the Rational Design of Molecularly Imprinted Polymers Developed for the Selective Extraction or Detection of Antibiotics in Environmental and Food Samples. Phys. Status Solidi A 2021, 218, 2100021. [Google Scholar] [CrossRef]
- Irshad, M.; Iqbal, N.; Mujahid, A.; Afzal, A.; Hussain, T.; Sharif, A.; Ahmad, E.; Athar, M.M. Molecularly Imprinted Nanomaterials for Sensor Applications. Nanomaterials 2013, 3, 615–637. [Google Scholar] [CrossRef]
- Yu, H.; Chen, H.; Fang, B.; Sun, H. Sorptive Removal of Per- and Polyfluoroalkyl Substances from Aqueous Solution: Enhanced Sorption, Challenges and Perspectives. Sci. Total Environ. 2023, 861, 160647. [Google Scholar] [CrossRef]
- Crapnell, R.D.; Hudson, A.; Foster, C.W.; Eersels, K.; van Grinsven, B.; Cleij, T.J.; Banks, C.E.; Peeters, M. Recent Advances in Electrosynthesized Molecularly Imprinted Polymer Sensing Platforms for Bioanalyte Detection. Sensors 2019, 19, 1204. [Google Scholar] [CrossRef]
- Wackers, G.; Cornelis, P.; Putzeys, T.; Peeters, M.; Tack, J.; Troost, F.; Doll, T.; Verhaert, N.; Wagner, P. Electropolymerized Receptor Coatings for the Quantitative Detection of Histamine with a Catheter-Based, Diagnostic Sensor. ACS Sens. 2021, 6, 100–110. [Google Scholar] [CrossRef] [PubMed]
- Yang, J.; Li, Y.; Wang, J.; Sun, X.; Cao, R.; Sun, H.; Huang, C.; Chen, J. Molecularly Imprinted Polymer Microspheres Prepared by Pickering Emulsion Polymerization for Selective Solid-Phase Extraction of Eight Bisphenols from Human Urine Samples. Anal. Chim. Acta 2015, 872, 35–45. [Google Scholar] [CrossRef] [PubMed]
- Yang, Y.; Shen, X. Preparation and Application of Molecularly Imprinted Polymers for Flavonoids: Review and Perspective. Molecules 2022, 27, 7355. [Google Scholar] [CrossRef] [PubMed]
- Cui, F.; Zhou, Z.; Zhou, H.S. Molecularly Imprinted Polymers and Surface Imprinted Polymers Based Electrochemical Biosensor for Infectious Diseases. Sensors 2020, 20, 996. [Google Scholar] [CrossRef] [PubMed]
- Caldara, M.; Lowdon, J.W.; Rogosic, R.; Arreguin-Campos, R.; Jimenez-Monroy, K.L.; Heidt, B.; Tschulik, K.; Cleij, T.J.; Diliën, H.; Eersels, K.; et al. Thermal Detection of Glucose in Urine Using a Molecularly Imprinted Polymer as a Recognition Element. ACS Sens. 2021, 6, 4515–4525. [Google Scholar] [CrossRef]
- Tretjakov, A.; Syritski, V.; Reut, J.; Boroznjak, R.; Volobujeva, O.; Öpik, A. Surface Molecularly Imprinted Polydopamine Films for Recognition of Immunoglobulin G. Microchim. Acta 2013, 180, 1433–1442. [Google Scholar] [CrossRef]
- Stilman, W.; Yongabi, D.; Bakhshi Sichani, S.; Thesseling, F.; Deschaume, O.; Putzeys, T.; Pinto, T.C.; Verstrepen, K.; Bartic, C.; Wübbenhorst, M.; et al. Detection of Yeast Strains by Combining Surface-Imprinted Polymers with Impedance-Based Readout. Sens. Actuators B Chem. 2021, 340, 129917. [Google Scholar] [CrossRef]
- Tian, L.; Guo, H.; Li, J.; Yan, L.; Zhu, E.; Liu, X.; Li, K. Fabrication of a Near-Infrared Excitation Surface Molecular Imprinting Ratiometric Fluorescent Probe for Sensitive and Rapid Detecting Perfluorooctane Sulfonate in Complex Matrix. J. Hazard. Mater. 2021, 413, 125353. [Google Scholar] [CrossRef]
- Dong, C.; Shi, H.; Han, Y.; Yang, Y.; Wang, R.; Men, J. Molecularly Imprinted Polymers by the Surface Imprinting Technique. Eur. Polym. J. 2021, 145, 110231. [Google Scholar] [CrossRef]
- Pierpaoli, M.; Szopińska, M.; Olejnik, A.; Ryl, J.; Fudala-Ksiażek, S.; Łuczkiewicz, A.; Bogdanowicz, R. Engineering Boron and Nitrogen Codoped Carbon Nanoarchitectures to Tailor Molecularly Imprinted Polymers for PFOS Determination. J. Hazard. Mater. 2023, 458, 131873. [Google Scholar] [CrossRef]
- Glasscott, M.W.; Vannoy, K.J.; Kazemi, R.; Verber, M.D.; Dick, J.E. μ-MIP: Molecularly Imprinted Polymer-Modified Microelectrodes for the Ultrasensitive Quantification of GenX (HFPO-DA) in River Water. Environ. Sci. Technol. Lett. 2020, 7, 489–495. [Google Scholar] [CrossRef]
- Clark, R.B.; Dick, J.E. Electrochemical Sensing of Perfluorooctanesulfonate (PFOS) Using Ambient Oxygen in River Water. ACS Sens. 2020, 5, 3591–3598. [Google Scholar] [CrossRef] [PubMed]
- Karimian, N.; Stortini, A.M.; Moretto, L.M.; Costantino, C.; Bogialli, S.; Ugo, P. Electrochemosensor for Trace Analysis of Perfluorooctanesulfonate in Water Based on a Molecularly Imprinted Poly(o-Phenylenediamine) Polymer. ACS Sens. 2018, 3, 1291–1298. [Google Scholar] [CrossRef] [PubMed]
- Dery, L.; Zelikovich, D.; Mandler, D. Electrochemistry of Molecular Imprinting of Large Entities. Curr. Opin. Electrochem. 2022, 34, 100967. [Google Scholar] [CrossRef]
- Mahmoudpour, M.; Torbati, M.; Mousavi, M.M.; de la Guardia, M.; Ezzati Nazhad Dolatabadi, J. Nanomaterial-Based Molecularly Imprinted Polymers for Pesticides Detection: Recent Trends and Future Prospects. Trends Anal. Chem. 2020, 129, 115943. [Google Scholar] [CrossRef]
- Ren, J.; Lu, Y.; Han, Y.; Qiao, F.; Yan, H. Novel Molecularly Imprinted Phenolic Resin–Dispersive Filter Extraction for Rapid Determination of Perfluorooctanoic Acid and Perfluorooctane Sulfonate in Milk. Food Chem. 2023, 400, 134062. [Google Scholar] [CrossRef]
- Mostafiz, B.; Bigdeli, S.A.; Banan, K.; Afsharara, H.; Hatamabadi, D.; Mousavi, P.; Hussain, C.M.; Keçili, R.; Ghorbani-Bidkorbeh, F. Molecularly Imprinted Polymer-Carbon Paste Electrode (MIP-CPE)-Based Sensors for the Sensitive Detection of Organic and Inorganic Environmental Pollutants: A Review. Trends Environ. Anal. Chem. 2021, 32, 00144. [Google Scholar] [CrossRef]
- Peeters, M.; Troost, F.J.; Mingels, R.H.G.; Welsch, T.; van Grinsven, B.; Vranken, T.; Ingebrandt, S.; Thoelen, R.; Cleij, T.J.; Wagner, P. Impedimetric Detection of Histamine in Bowel Fluids Using Synthetic Receptors with pH-Optimized Binding Characteristics. Anal. Chem. 2013, 85, 1475–1483. [Google Scholar] [CrossRef]
- ul Gani Mir, T.; Malik, A.Q.; Singh, J.; Shukla, S.; Kumar, D. An Overview of Molecularly Imprinted Polymers Embedded with Quantum Dots and Their Implementation as an Alternative Approach for Extraction and Detection of Crocin. ChemistrySelect 2022, 7, 202200829. [Google Scholar] [CrossRef]
- Akgönüllü, S.; Kılıç, S.; Esen, C.; Denizli, A. Molecularly Imprinted Polymer-Based Sensors for Protein Detection. Polymers 2023, 15, 629. [Google Scholar] [CrossRef]
- Wang, L.; Zhi, K.; Zhang, Y.; Liu, Y.; Zhang, L.; Yasin, A.; Lin, Q. Molecularly Imprinted Polymers for Gossypol via Sol-Gel, Bulk, and Surface Layer Imprinting-A Comparative Study. Polymers 2019, 11, 602. [Google Scholar] [CrossRef] [PubMed]
- Li, T.; Li, X.; Liu, H.; Deng, Z.; Zhang, Y.; Zhang, Z.; He, Y.; Yang, Y.; Zhong, S. Preparation and Characterization of Molecularly Imprinted Polymers Based on β-Cyclodextrin-Stabilized Pickering Emulsion Polymerization for Selective Recognition of Erythromycin from River Water and Milk. J. Sep. Sci. 2020, 43, 3683–3690. [Google Scholar] [CrossRef] [PubMed]
- Tabar, F.A.; Lowdon, J.W.; Caldara, M.; Cleij, T.J.; Wagner, P.; Diliën, H.; Eersels, K.; van Grinsven, B. Thermal Determination of Perfluoroalkyl Substances in Environmental Samples Employing a Molecularly Imprinted Polyacrylamide as a Receptor Layer. Environ. Technol. Innov. 2023, 29, 103021. [Google Scholar] [CrossRef]
- van Grinsven, B.; Eersels, K.; Peeters, M.; Losada-Pérez, P.; Vandenryt, T.; Cleij, T.J.; Wagner, P. The Heat-Transfer Method: A Versatile Low-Cost, Label-Free, Fast, and User-Friendly Readout Platform for Biosensor Applications. ACS Appl. Mater. Interfaces 2014, 6, 13309–13318. [Google Scholar] [CrossRef] [PubMed]
- Wagner, P.; Bakhshi Sichani, S.; Khorshid, M.; Lieberzeit, P.; Losada-Pérez, P.; Yongabi, D. Bioanalytical Sensors Using the Heat-Transfer Method HTM and Related Techniques. tm-Tech. Mess. 2023, 90, 761–785. [Google Scholar] [CrossRef]
- Lowdon, J.W.; Diliën, H.; van Grinsven, B.; Eersels, K.; Cleij, T.J. Colorimetric Sensing of Amoxicillin Facilitated by Molecularly Imprinted Polymers. Polymers 2021, 13, 2221. [Google Scholar] [CrossRef]
- Wang, Z.; Zhang, Z.; Yan, R.; Fu, X.; Wang, G.; Wang, Y.; Li, Z.; Zhang, X.; Hou, J. Facile Fabrication of Snowman-like Magnetic Molecularly Imprinted Polymer Microspheres for Bisphenol A via One-Step Pickering Emulsion Polymerization. React. Funct. Polym. 2021, 164, 104911. [Google Scholar] [CrossRef]
- Chen, H.; Son, S.; Zhang, F.; Yan, J.; Li, Y.; Ding, H.; Ding, L. Rapid Preparation of Molecularly Imprinted Polymers by Microwave-Assisted Emulsion Polymerization for the Extraction of Florfenicol in Milk. J. Chromatogr. B 2015, 983–984, 32–38. [Google Scholar] [CrossRef]
- Zhao, G.; Liu, J.; Liu, M.; Han, X.; Peng, Y.; Tian, X.; Liu, J.; Zhang, S. Synthesis of Molecularly Imprinted Polymer via Emulsion Polymerization for Application in Solanesol Separation. Appl. Sci. 2020, 10, 2868. [Google Scholar] [CrossRef]
- Pardeshi, S.; Singh, S.K. Precipitation Polymerization: A Versatile Tool for Preparing Molecularly Imprinted Polymer Beads for Chromatography Applications. RSC Adv. 2016, 6, 23525–23536. [Google Scholar] [CrossRef]
- Alizadeh, T.; Memarbashi, N. Evaluation of the Facilitated Transport Capabilities of Nano- and Micro-Sized Molecularly Imprinted Polymers (MIPs) in a Bulk Liquid Membrane System. Sep. Purif. Technol. 2012, 90, 83–91. [Google Scholar] [CrossRef]
- Rehman, A.U.; Crimi, M.; Andreescu, S. Current and Emerging Analytical Techniques for the Determination of PFAS in Environmental Samples. Trends Environ. Anal. Chem. 2023, 37, 00198. [Google Scholar] [CrossRef]
- Islam, G.J.; Arrigan, D.W.M. Voltammetric Selectivity in Detection of Ionized Perfluoroalkyl Substances at Micro-Interfaces between Immiscible Electrolyte Solutions. ACS Sens. 2022, 7, 2960–2967. [Google Scholar] [CrossRef] [PubMed]
- Clark, R.B.; Dick, J.E. Towards Deployable Electrochemical Sensors for Per- And Polyfluoroalkyl Substances (PFAS). ChemComm 2021, 57, 8121–8130. [Google Scholar] [CrossRef] [PubMed]
- Moro, G.; Cristofori, D.; Bottari, F.; Cattaruzza, E.; De Wael, K.; Moretto, L.M. Redesigning an Electrochemical MIP Sensor for PFOS: Practicalities and Pitfalls. Sensors 2019, 19, 4433. [Google Scholar] [CrossRef]
- Chi, H.; Liu, G. Carbon Nanomaterial-Based Molecularly Imprinted Polymer Sensors for Detection of Hazardous Substances in Food: Recent Progress and Future Trends. Food Chem. 2023, 420, 136100. [Google Scholar] [CrossRef]
- Gao, M.; Gao, Y.; Chen, G.; Huang, X.; Xu, X.; Lv, J.; Wang, J.; Xu, D.; Liu, G. Recent Advances and Future Trends in the Detection of Contaminants by Molecularly Imprinted Polymers in Food Samples. Front. Chem. 2020, 8, 616326. [Google Scholar] [CrossRef]
- Feng, H.; Wang, N.; Trant, T.; Yuan, L.; Li, J.; Cai, Q. Surface Molecular Imprinting on Dye-(NH2)-SiO2 NPs for Specific Recognition and Direct Fluorescent Quantification of Perfluorooctane Sulfonate. Sens. Actuators B Chem. 2014, 195, 266–273. [Google Scholar] [CrossRef]
- Steigerwald, J.M.; Peng, S.; Ray, J.R. Novel Perfluorooctanesulfonate-Imprinted Polymer Immobilized on Spent Coffee Grounds Biochar for Selective Removal of Perfluoroalkyl Acids in Synthetic Wastewater. ACS EST Eng. 2022, 3, 520–532. [Google Scholar] [CrossRef]
- Du, L.; Wu, Y.; Zhang, X.; Zhang, F.; Chen, X.; Cheng, Z.; Wu, F.; Tan, K. Preparation of Magnetic Molecularly Imprinted Polymers for the Rapid and Selective Separation and Enrichment of Perfluorooctane Sulfonate. J. Sep. Sci. 2017, 40, 2819–2826. [Google Scholar] [CrossRef]
- Lin, L.; Guo, H.; Lin, S.; Chen, Y.; Yan, L.; Zhu, E.; Li, K. Selective Extraction of Perfluorooctane Sulfonate in Real Samples by Superparamagnetic Nanospheres Coated with a Polydopamine-Based Molecularly Imprinted Polymer. J. Sep. Sci. 2021, 44, 1015–1025. [Google Scholar] [CrossRef] [PubMed]
- Du, L.; Cheng, Z.; Zhu, P.; Chen, Q.; Wu, Y.; Tan, K. Preparation of Mesoporous Silica Nanoparticles Molecularly Imprinted Polymer for Efficient Separation and Enrichment of Perfluorooctane Sulfonate. J. Sep. Sci. 2018, 41, 4363–4369. [Google Scholar] [CrossRef] [PubMed]
- Guo, H.; Liu, Y.; Ma, W.; Yan, L.; Li, K.; Lin, S. Surface Molecular Imprinting on Carbon Microspheres for Fast and Selective Adsorption of Perfluorooctane Sulfonate. J. Hazard. Mater. 2018, 348, 29–38. [Google Scholar] [CrossRef] [PubMed]
- Lu, D.; Zhu, D.Z.; Gan, H.; Yao, Z.; Luo, J.; Yu, S.; Kurup, P. An Ultra-Sensitive Molecularly Imprinted Polymer (MIP) and Gold Nanostars (AuNS) Modified Voltammetric Sensor for Facile Detection of Perfluorooctance Sulfonate (PFOS) in Drinking Water. Sens. Actuators B Chem. 2022, 352, 131005. [Google Scholar] [CrossRef]
- Gao, Y.; Gou, W.; Zeng, W.; Chen, W.; Jiang, J.; Lu, J. Determination of Perfluorooctanesulfonic Acid in Water by Polydopamine Molecularly Imprinted/Gold Nanoparticles Sensor. Microchem. J. 2023, 187, 108378. [Google Scholar] [CrossRef]
- Zheng, L.; Zheng, Y.; Liu, Y.; Long, S.; Du, L.; Liang, J.; Huang, C.; Swihart, M.T.; Tan, K. Core-Shell Quantum Dots Coated with Molecularly Imprinted Polymer for Selective Photoluminescence Sensing of Perfluorooctanoic Acid. Talanta 2019, 194, 1–6. [Google Scholar] [CrossRef] [PubMed]
- Tran, T.T.; Li, J.; Feng, H.; Cai, J.; Yuan, L.; Wang, N.; Cai, Q. Molecularly Imprinted Polymer Modified TiO2 Nanotube Arrays for Photoelectrochemical Determination of Perfluorooctane Sulfonate (PFOS). Sens. Actuators B Chem. 2014, 190, 745–751. [Google Scholar] [CrossRef]
- Yang, S.; Teng, Y.; Cao, Q.; Bai, C.; Fang, Z.; Xu, W. Electrochemical Sensor Based on Molecularly Imprinted Polymer-Aptamer Hybrid Receptor for Voltammetric Detection of Thrombin. J. Electrochem. Soc. 2019, 166, B23–B28. [Google Scholar] [CrossRef]
- Hayat, A.; Marty, J.L. Aptamer Based Electrochemical Sensors for Emerging Environmental Pollutants. Front. Chem. 2014, 2, 41. [Google Scholar] [CrossRef]
- Karimzadeh, Z.; Mahmoudpour, M.; Guardia, M.d.l.; Ezzati Nazhad Dolatabadi, J.; Jouyban, A. Aptamer-Functionalized Metal Organic Frameworks as an Emerging Nanoprobe in the Food Safety Field: Promising Development Opportunities and Translational Challenges. Trends Anal. Chem. 2022, 152, 116622. [Google Scholar] [CrossRef]
- Wolter, O.; Mayer, G. Aptamers as Valuable Molecular Tools in Neurosciences. J. Neurosci. 2017, 37, 2517–2523. [Google Scholar] [CrossRef] [PubMed]
- Assen, A.H.; Yassine, O.; Shekhah, O.; Eddaoudi, M.; Salama, K.N. MOFs for the Sensitive Detection of Ammonia: Deployment of Fcu-MOF Thin Films as Effective Chemical Capacitive Sensors. ACS Sens. 2017, 2, 1294–1301. [Google Scholar] [CrossRef] [PubMed]
- Daniel, M.; Mathew, G.; Anpo, M.; Neppolian, B. MOF Based Electrochemical Sensors for the Detection of Physiologically Relevant Biomolecules: An Overview. Coord. Chem. Rev. 2022, 468, 214627. [Google Scholar] [CrossRef]
- Wang, G.D.; Li, Y.Z.; Shi, W.J.; Zhang, B.; Hou, L.; Wang, Y.Y. A Robust Cluster-Based Eu-MOF as Multi-Functional Fluorescence Sensor for Detection of Antibiotics and Pesticides in Water. Sens. Actuators B Chem. 2021, 331, 129377. [Google Scholar] [CrossRef]
- Varadwaj, A.; Varadwaj, P.R.; Marques, H.M.; Yamashita, K. Revealing Factors Influencing the Fluorine-Centered Non-Covalent Interactions in Some Fluorine-Substituted Molecular Complexes: Insights from First-Principles Studies. ChemPhysChem 2018, 19, 1486–1499. [Google Scholar] [CrossRef] [PubMed]
- Chen, B.; Yang, Z.; Qu, X.; Zheng, S.; Yin, D.; Fu, H. Screening and Discrimination of Perfluoroalkyl Substances in Aqueous Solution Using a Luminescent Metal-Organic Framework Sensor Array. ACS Appl. Mater. Interfaces 2021, 13, 47706–47716. [Google Scholar] [CrossRef]
- Suwannakot, P.; Lisi, F.; Ahmed, E.; Liang, K.; Babarao, R.; Gooding, J.J.; Donald, W.A. Metal-Organic Framework-Enhanced Solid-Phase Microextraction Mass Spectrometry for the Direct and Rapid Detection of Perfluorooctanoic Acid in Environmental Water Samples. Anal. Chem. 2020, 92, 6900–6908. [Google Scholar] [CrossRef]
- Wang, S.; Niu, H.; Zeng, T.; Zhang, X.; Cao, D.; Cai, Y. Rapid Determination of Small Molecule Pollutants Using Metal-Organic Frameworks as Adsorbent and Matrix of MALDI-TOF-MS. Microporous Mesoporous Mater. 2017, 239, 390–395. [Google Scholar] [CrossRef]
- Li, Y.; Lu, Y.; Zhang, X.; Cao, H.; Huang, Y. Cobalt-Embedded Nitrogen-Doped Carbon Nanosheets with Enhanced Oxidase-like Activity for Detecting Perfluorooctane Sulfonate. Microchem. J. 2022, 181, 107814. [Google Scholar] [CrossRef]
- Jia, Y.; Qian, J.; Pan, B. Dual-Functionalized MIL-101(Cr) for the Selective Enrichment and Ultrasensitive Analysis of Trace Per- And Poly-Fluoroalkyl Substances. Anal. Chem. 2021, 93, 11116–11122. [Google Scholar] [CrossRef]
- Tian, Q.; Sun, M. Analysis of GenX and Other Per- and Polyfluoroalkyl Substances in Environmental Water Samples. In Separation Science and Technology (New York); Elsevier Inc.: Amsterdam, The Netherlands, 2019; Volume 11, pp. 355–370. [Google Scholar]
- Wang, Y.; Darling, S.B.; Chen, J. Selectivity of Per- and Polyfluoroalkyl Substance Sensors and Sorbents in Water. ACS Appl. Mater. Interfaces 2021, 13, 60789–60814. [Google Scholar] [CrossRef] [PubMed]
- Wang, L.; Pagett, M.; Zhang, W. Molecularly imprinted polymer (MIP) based electrochemical sensors and their recent advances in health applications. Sens. Actuators Rep. 2023, 5, 100153. [Google Scholar] [CrossRef]
- Díaz-Álvarez, M.; Martin-Esteban, A. Molecularly Imprinted Polymer-Quantum Dot Materials in Optical Sensors: An Overview of Their Synthesis and Applications. Biosensors 2021, 11, 79. [Google Scholar] [CrossRef] [PubMed]
- Bowei, L.; Qi, J.; Liu, F.; Zhao, R.; Arabi, M.; Ostovan, A.; Song, J.; Wang, X.; Zhang, Z.; Chen, L. Molecular imprinting-based indirect fluorescence detection strategy implemented on paper chip for non-fluorescent microcystin. Nature 2023, 14, 6553. [Google Scholar]












| Target | Receptor Material | Receptor Type | Readout Principle | Limit of Detection | Sample Type | Ref. |
|---|---|---|---|---|---|---|
| PFOA | poly acrylamide | MIPs | HTM | 22 pM | river water and soil extract | [104] |
| poly VBT and PFDA | SPR sensor | 2 pM | seawater | [11] | ||
| CdTe@CdS/poly APTES | photoluminescence sensor | 25 nM | river water and tap water | [127] | ||
| AgI–BiOINFs/poly acrylamide | photoelectrochemical sensor | 24 pM | river water and tap water | [8] | ||
| poly pyrrole/ graphitic carbon nitride nanosheets | Electrochemi- luminescence sensor | 24 pM | river water, tap water, and lake water | [41] | ||
| poly pyrrole/Co/Fe@CNF | MIPs and MOFs | DPV | 1.07 nM | wastewater | [67] | |
| HFPO-DA | poly o-PD/gold electrode | MIPs | DPV | 250 fM | river water | [92] |
| PFOS | poly APTES/SiO2 NPs nanoparticles | MIPs | fluorescence quantification | 11 nM | river water and tap water | [119] |
| TiO2 nanotube arrays/poly APTES | photoelectrochemical sensor | 172 nM | river water, tap water, and mountain water | [128] | ||
| polyaniline on paper | DC resistance measurements | 2.4 pM | DI water | [46] | ||
| phenolic resin | LC–MS/MS | 12 pM | milk | [97] | ||
| poly o-PD/GCE | DPV | 0.05 nM | DI water | [2] | ||
| G-UCNPs-SiO2/poly APTES | fluorescence quantification | 1 pM | human serum, egg, lake water | [89] | ||
| Au/poly o-PD | DPV | 0.04 nM | tap water | [94] | ||
| poly o-PD/ AuNS/GCE | DPV | 0.015 nM | tap water | [125] | ||
| poly o-PD/GCE | EIS | 3.4 pM | river water | [93] | ||
| poly DA/AuNPs/GCE | DPV | 4.2 nM | lake water, canal water, tap water | [126] | ||
| CNW/poly o-PD | DPV and EIS | 2.4 nM | tap and wastewater | [91] | ||
| poly chitosan/carbon quantum dots | fluorescence spectrophotometry | 0.8 fM | serum and urine | [31] |
| Target | Receptor Material | Receptor Type | Readout Principle | Limit of Detection | Sample Type | Ref. |
|---|---|---|---|---|---|---|
| PFOA | DNA aptamer | aptamer | fluorescent quantification | 0.17 μM | wastewater | [60] |
| MOFs-coated probes | MOFs | mass spectrometry | 26 pM | tap water, rainwater, and seawater | [138] | |
| PFOS | MOFs Cr-MIL-10 | MOFs | EIS | 1 pM | groundwater | [23] |
| zinc based MOFs | mass spectroscopy | 1.28 nM | tap water and river water | [139] | ||
| MOFs-derived Co-N-C nanosheets | colorimetric measurements | 20 nM | river water, tap water, and lake water | [140] | ||
| PFAS | MIL-101(Cr) | MOFs | UHPLC–MS/MS | 0.004– 0.12 ng/L | tap water, river water, wastewater | [141] |
| zirconium based porphyrinic coordination networks | fluorescent quantification | 111 nM for PFOA | surface water and groundwater | [137] |
Disclaimer/Publisher’s Note: The statements, opinions and data contained in all publications are solely those of the individual author(s) and contributor(s) and not of MDPI and/or the editor(s). MDPI and/or the editor(s) disclaim responsibility for any injury to people or property resulting from any ideas, methods, instructions or products referred to in the content. |
© 2023 by the authors. Licensee MDPI, Basel, Switzerland. This article is an open access article distributed under the terms and conditions of the Creative Commons Attribution (CC BY) license (https://creativecommons.org/licenses/by/4.0/).
Share and Cite
Ahmadi Tabar, F.; Lowdon, J.W.; Bakhshi Sichani, S.; Khorshid, M.; Cleij, T.J.; Diliën, H.; Eersels, K.; Wagner, P.; van Grinsven, B. An Overview on Recent Advances in Biomimetic Sensors for the Detection of Perfluoroalkyl Substances. Sensors 2024, 24, 130. https://doi.org/10.3390/s24010130
Ahmadi Tabar F, Lowdon JW, Bakhshi Sichani S, Khorshid M, Cleij TJ, Diliën H, Eersels K, Wagner P, van Grinsven B. An Overview on Recent Advances in Biomimetic Sensors for the Detection of Perfluoroalkyl Substances. Sensors. 2024; 24(1):130. https://doi.org/10.3390/s24010130
Chicago/Turabian StyleAhmadi Tabar, Fatemeh, Joseph W. Lowdon, Soroush Bakhshi Sichani, Mehran Khorshid, Thomas J. Cleij, Hanne Diliën, Kasper Eersels, Patrick Wagner, and Bart van Grinsven. 2024. "An Overview on Recent Advances in Biomimetic Sensors for the Detection of Perfluoroalkyl Substances" Sensors 24, no. 1: 130. https://doi.org/10.3390/s24010130
APA StyleAhmadi Tabar, F., Lowdon, J. W., Bakhshi Sichani, S., Khorshid, M., Cleij, T. J., Diliën, H., Eersels, K., Wagner, P., & van Grinsven, B. (2024). An Overview on Recent Advances in Biomimetic Sensors for the Detection of Perfluoroalkyl Substances. Sensors, 24(1), 130. https://doi.org/10.3390/s24010130

