Next Article in Journal
Global Visual–Inertial Localization for Autonomous Vehicles with Pre-Built Map
Previous Article in Journal
Prediction of Shooting Events in Soccer Videos Using Complete Bipartite Graphs and Players’ Spatial-Temporal Relations
Previous Article in Special Issue
A Diffusion Model Based on Network Intrusion Detection Method for Industrial Cyber-Physical Systems
 
 
Font Type:
Arial Georgia Verdana
Font Size:
Aa Aa Aa
Line Spacing:
Column Width:
Background:
Article

Research on Data Poisoning Attack against Smart Grid Cyber–Physical System Based on Edge Computing

1
School of Aeronautics and Astronautics, University of Electronic Science and Technology of China, Chengdu 611731, China
2
Aircraft Swarm Intelligent Sensing and Cooperative Control Key Laboratory of Sichuan Province, Chengdu 611731, China
3
Electric Power Research Institute, China Southern Power Grid Co., Ltd., Guangzhou 510663, China
*
Author to whom correspondence should be addressed.
Sensors 2023, 23(9), 4509; https://doi.org/10.3390/s23094509
Submission received: 16 March 2023 / Revised: 26 April 2023 / Accepted: 3 May 2023 / Published: 5 May 2023
(This article belongs to the Special Issue Edge Computing for Smart Grid Cyber-Physical System)

Abstract

Data poisoning attack is a well-known attack against machine learning models, where malicious attackers contaminate the training data to manipulate critical models and predictive outcomes by masquerading as terminal devices. As this type of attack can be fatal to the operation of a smart grid, addressing data poisoning is of utmost importance. However, this attack requires solving an expensive two-level optimization problem, which can be challenging to implement in resource-constrained edge environments of the smart grid. To mitigate this issue, it is crucial to enhance efficiency and reduce the costs of the attack. This paper proposes an online data poisoning attack framework based on the online regression task model. The framework achieves the goal of manipulating the model by polluting the sample data stream that arrives at the cache incrementally. Furthermore, a point selection strategy based on sample loss is proposed in this framework. Compared to the traditional random point selection strategy, this strategy makes the attack more targeted, thereby enhancing the attack’s efficiency. Additionally, a batch-polluting strategy is proposed in this paper, which synchronously updates the poisoning points based on the direction of gradient ascent. This strategy reduces the number of iterations required for inner optimization and thus reduces the time overhead. Finally, multiple experiments are conducted to compare the proposed method with the baseline method, and the evaluation index of loss over time is proposed to demonstrate the effectiveness of the method. The results show that the proposed method outperforms the existing baseline method in both attack effectiveness and overhead.

1. Introduction

The construction of a power grid requires a large number of terminal devices, and the popularity of these devices has made the amount of data on the grid exponentially increase. However, with the increasing number of network structures and the growing number of nodes, the security and real-time performance of the power grid have been greatly challenged while promoting the smart grid [1]. When the network architecture based on the cloud center is faced with a large number of node devices and continuous data, the way of remote communication cannot meet the requirements of the speed bandwidth of the grid. For some time-sensitive tasks of the smart grid, the cloud center can easily reach the bottleneck of the processing capacity. To solve this problem, it is very effective to introduce edge computing in the smart grid [2,3]. Edge computing has unique advantages such as data localization and edge intelligence [4], which not only reduces the time cost for data to reach the cloud, but also enables data processing directly through the edge, thereby reducing communication and computing pressure in the cloud center [5]. However, the advent of edge computing also presents some security challenges. Because of thew less potent security protocols in the resource-constrained edge hardware [6], malicious attackers can invade edge nodes through these terminal devices. At the same time, due to the recent trend of edge intelligence [7,8,9], more and more computing and storage tasks are performed on edge nodes [10,11], so they are vulnerable to malicious network attacks, such as masquerade and spoofing attacks [12,13], data and model poisoning, and evasion attacks [6]. Data poisoning [14] is a typical attack against machine learning models. Malicious attackers pollute training data to manipulate important models and predictive results by disguising as terminal devices, which could be fatal to the operation of a smart grid, causing issues such as large-scale power outages, power market price disruption, and so on. Unfortunately, current research on the data security of the smart grid mainly focuses on false data injection attacks (FDIA) [15,16,17,18] rather than poisoning attacks on machine learning models in edge computing environments. However, compared to traditional FDIA attacks, poisoning attacks are more covert and harmful to the smart grid.
Currently, data poisoning attack research primarily focuses on image processing or classification scenarios, with limited attention being given to regression tasks. Furthermore, the target model is typically trained in an offline environment instead of undergoing online training. In the context of the smart grid, most machine learning tasks involve the prediction of continuous power data through regression instead of classification, and many machine learning algorithms are trained using an online learning process. As such, there is a need for online training, where machine learning models are updated based on new incoming data. However, the existing research on poisoning attacks is not suitable for the edge computing environment of the smart grid. In addition, the computationally expensive nature of poisoning attacks hinders their direct application in resource-constrained edge computing environments in the smart grid. It is necessary to optimize the attack framework and strategies to enhance efficiency and reduce computational overhead. Therefore, the main contributions of this work are as follows:
  • It proposes an online poisoning attack framework based on the online regression task model and applies it to the edge computing environment of the smart grid for the first time. In contrast to traditional offline attacks, the framework achieves the goal of manipulating the model by incrementally polluting the sample data stream that arrives at the appropriately sized cache to optimize the efficiency of the attack.
  • It proposes a point selection strategy based on sample loss. Compared to the traditional random point selection strategy, this strategy makes the attack more targeted, thereby enhancing the attack’s efficiency.
  • It proposes a batch-polluting strategy to update batch poisoning points based on the direction of gradient ascent synchronously. This strategy reduces the number of iterations required for inner optimization and thus reduces the time overhead.
  • It implements online gray-box poisoning attack algorithms with the framework and strategies mentioned above. It evaluates the effectiveness and overhead of the proposed attack on edge devices of the smart grid using an online data stream simulated with offline open-grid datasets.
The rest of this paper is organized as follows. Section 2 presents the related work on data poisoning attack. Section 3 proposes an online incremental poisoning attack framework for the online regression learning task in the edge computing environment of the smart grid. Section 4 introduces online algorithms for gray-box poisoning attack. Section 5 presents the experiment and result analysis. Finally, Section 6 concludes this paper and provides the future research directions.

2. Related Works

The recent literature has demonstrated a significant decrease in the performance of learning models when training data is poisoned [19,20,21,22]. Data poisoning enables attackers to manipulate prediction models, thereby disrupting the automated decision-making process. For instance, Vrablecova et al. propose a load forecasting model for the smart grid [23]. If attackers manipulate the forecasting model to lower the forecasted demand for electricity in a specific period, this can result in power outages due to a shortage of the electricity supply. Conversely, if the forecasted demand is higher than the actual demand, this can lead to excess power, overloading the power distribution system. Therefore, compared to traditional FDIA attacks, data poisoning attacks are more insidious and pose a greater threat to smart grid.
Data poisoning attacks can be classified into three categories based on the adversary’s knowledge of the target prediction model: white-box, black-box, and gray-box attacks. In a white-box attack scenario, attackers have complete knowledge of five factors: feature space, learning type (e.g., DNN or SVM), learning algorithm, learning hyperparameters, and training datasets [24]. A black-box attack scenario is opposite to a white-box one, assuming that attackers have no knowledge of all of the five factors already described previously. In the real world, absolute black-box and white-box attacks usually do not exist. The reasonable assumption is that attackers can know at least part of the training data or surrogate model [25] (also called the substitute model [26]) by model stealing, which is a kind of gray-box attack [24,25,27]. In addition, attackers can only gain partial access to the segments of the sample stream in the scenario of online attacks, which falls within the realm of gray-box attacks.
Based on the poisoning area of training samples, existing data poisoning attacks can be categorized into three types: label poisoning, feature poisoning, and sample poisoning. In label poisoning, the label vector y of a training sample is corrupted. In feature poisoning, the feature matrix X of a training sample is corrupted. In sample poisoning, both X and y of a training sample are corrupted. The implementation of label poisoning is simpler than that of feature poisoning. Biggio et al. [28] assume that attackers can control some training data, and aim to disturb the support vector machines (SVMs)’ learning process. It introduces label noise to training points for impacting the discriminative model learned from the training data deleteriously, which indicates that this attack does have an attack effect on the machine learning model. Xiao et al. [29] evaluate the security of SVMs against well-crafted adversarial label noise attacks, which aim to maximize the classification error of a SVM by flipping multiple labels in the training data. In order to analyze the effectiveness of the considered attacks, they carry out a large number of experiments on both linear and nonlinear SVM models. Paudice et al. [30] develop the heuristic to craft efficient label flipping attacks, of which experiments show the effectiveness at mitigating the effect of label flipping attacks on a linear classifier. Ample evidence suggests that poisoning the feature matrix X is still the most effective approach, compared to modifying the label y alone in label flip attacks. Therefore, we are more concerned with contamination of the feature matrix X.
In terms of feature poisoning, Biggio et al. [31] propose a poisoning attack to tamper with the features of some samples using a gradient ascent strategy in which the gradient is computed based on the model parameters of the support vector machine, the selected loss function and the characteristics of input samples. Experiments show that the gradient ascent procedure has a very significant impact on the classification accuracy of a SVM. Burkard and Lagesse [32] propose poisoning attacks on a SVM that is learning from data stream. In addition to the SVM model, researchers have proposed many attack methods against other machine learning models. Mei et al. [33] present that optimal training set attack can be formulated as a bi-level optimization problem, which can be solved using gradient methods with certain Karush–Kuhn–Tucker conditions, and demonstrate the effectiveness of the method in support vector machines with extensive experiments. In 2016, Zhu et al. [34] constructed poisoning attack methods for the class of linear autoregressive models. In 2017, KOH and Liang [35] developed a form of efficient attack that only requires oracle access to gradients and Hessian-vector products, which is useful for multiple purposes in linear models and convolutional neural networks. In the same year, Battista Biggio et al. [36] proposed a novel poisoning attack based on the idea of back-gradient optimization, which constructs poisoning samples against the regression model. Cisse et al. [37] proposed a poisoning attack named Houdini on the image classification network, which was proven to be effective for cheating the speech recognition model. In 2019, Chen and Zhu [38] presented the optimal attack using the linear quadratic regulator (LQR) for linear models, and model predictive control (MPC) for nonlinear models, which are effective in the black-box setting. Li et al. [39] introduced a data poisoning attack on collaborative filtering systems, showing that attackers with full knowledge of the target model can build malicious data to maximize the attack target, and imitate normal user behavior to avoid being detected.
According to the different poisoning strategies, there are three categories: label flipping poisoning attack, gradient-ascent poisoning attack and statistically based poisoning attack. The first method constructs a poisoned sample by flipping the target value of X or y to the other side of the feasibility domain [40]. The second method uses gradient ascent to iteratively update training points and stop at the convergence, where they obtain a poisoned sample [26]. The third method generates a poisoned sample from a multivariate normal distribution with the mean and covariance estimated from the training data [19]. In general, although label flipping and statistical-based methods are relatively low-cost, these two methods create poisoning samples that are easily detected and discarded by human examiners or automated detectors. The gradient ascent method is the most computationally expensive method, but it is the most effective and confidential.
Table 1 summarizes the various poisoning attack methodologies outlined above. Most of the research mentioned above is focused on image processing or classification scenarios, but little of it is focused on regression tasks. Although Jagielski and Biggio et al. [19,33,36] have proposed possible attack methods against the regression model, the training and poisoning of the methods occur in an offline environment instead of online. Zhang et al. [41] provided the latest research on online learning attacks. Their study provides an optimization control method for poisoning attacks on nonlinear classification models in the black-box mode. Wang et al. [42] presented heuristic attacks against the binary classification with an online gradient descent learner, which is more like the clairvoyant online attacks (with full knowledge of future samples) mentioned in that study. Inspired by these two papers, we apply online poisoning to optimize attacks on regression models.
The core issue of data poisoning attack is the expensive bi-level optimization problem, which has a time complexity of O ( i t e r _ n u m n k 3 ) in the offline mode. Here, n is the total number of samples, k is the dimension of features, and i t e r _ n u m refers to the rounds of updating poisoned sample features according to the gradient ascent’s direction. Therefore, existing research mainly focuses on exploration based on the above factors. Koh et al. [43,44,45] attempted to find the sample set with the largest impact on the model and applied it to attacks. Their method is based on a binary classification model, and their conclusion is that the sample points with the greatest impact on binary classification models can be reduced to two non-repetitive samples. However, these two sample points are not unique, so the sample size is not essentially reduced. Inspired by this study, this paper focuses on the influence of sample selection on attack efficiency and applies it to regression models. Memon et al. [46] studied the impact of the minimum number of samples on model training, and affirmed Green’s sample size principle (Green (1991) [47] recommends N 50 + 8   m , where N and m are the minimum number of samples and the number of parameters in the model, respectively), but did not provide a definitive conclusion. There are also other heuristic methods that bypass the bi-level optimization problem, such as the statistically based methods and label flipping-based methods mentioned above. While more straightforward heuristic attacks [48,49,50] have shown promising results in terms of attack effectiveness and cost optimization, their applicability and robustness are still too limited in the presence of suitable defense mechanisms. Other promising research approaches include building upon the foundations of other research areas, such as meta-learning and hyperparameter optimization, which continuously develop more effective techniques to solve the double-layered problem involving learning algorithms. However, there has been little substantive progress in this area so far.
In summary, this paper focuses on the gray-box attack model against the online regression model using a gradient ascent-based poisoning strategy in the edge environment. We have re-examined the traditional attack model and proposed a novel framework for online attacks that is designed to better suit the resource-constrained environment of the smart grid. Our approach focuses on optimizing selection points and polluting strategies to achieve a more efficient and cost-effective poisoning of sample features.

3. Attack Model

The objective function of a machine learning model is a necessary condition for data poisoning attacks. We design the poisoning attack algorithm based on the objective function to construct poisoned samples that can have the greatest impact on the model’s performance. The definitions of the symbols used in this section are shown in Table 2. We assume that the objective function being attacked of the linear regression model is (1)
y = h ( X ) = θ 1 x 1 + θ 2 x 2 + + θ k x k = θ T X , θ = [ θ 1 , θ 2 , , θ k ] T , X = x 11 x n 1 x 1 k x n k k × n , y = [ y 1 , y 2 , , y n ]
Let θ denote parameter vector, y is label vector. X denotes feature matrix of the model, of which subscript k and n represent the feature dimension and number of samples, respectively. Loss function is denoted by Mean Square Error (MSE):
J ( D s , θ ) = 1 n i = 1 n ( h ( x i ) y i ) 2
As in (2), assume the original input samples is D s = { ( x i , y i ) } i = 1 n , in which x i denotes the feature vector and y i denotes the response label variable of x i . The normal training goal is to calculate the optimal parameter, θ , for the minimum loss function shown in (3). In the edge computing environment, D s represents samples cached in smart-grid edge devices, and n represents the capacity of the cache to store samples. The process of calculating parameter θ is usually iterative, such as the gradient descent method given in is (4). According to the iteration frequency, it can be divided into three methods: SGD (stochastic gradient descent), MBGD (mini-batch gradient descent) and BGD (batch gradient descent). For the BGD method, the parameters of θ i are iterated only once through all samples. For the SGD method, parameters are iterated once for each sample, while for the MBGD method, parameters are iterated once for each batch size sample. SGD can quickly converge under the condition of less computing resources, which is more suitable for a resource-constrained environment in edge computing.
θ = a r g m i n J ( D s , θ )
θ i + 1 = θ i α θ i J ( D s , θ i )
In order to alleviate the catastrophic forgetting problem [51] in incremental learning, we define a cache strategy similar to that of the sliding window. Figure 1 illustrates the strategy of storing the online training sample stream arriving at the edge node at time t and time t + 1 . In Figure 1, the solid and dashed boxes represent the samples cached at time t and time t + 1 , respectively. L denotes the capacity of the cache. β denotes the number of samples being covered (forgotten). According to this strategy, at time t , the sample D s ( t ) = { ( x i , y i ) } i = t t + L . The parameter β is used to control the degree of forgetting for the training data on the edge node. The new samples completely overwrite the historical samples from the previous time step when β = L , while β = 0 means that the new samples do not overwrite any historical samples from the previous time step.
Building upon the above strategy, this paper assumes that attackers can manipulate the D s and inject malicious data to poison the learning process, or use attack points to subvert the online learning process, when the training data is received sequentially. This section will propose a gray poisoning attack model for the regression task of online learning.
We define our adversary model following the framework proposed in [29], which involves identifying the adversary’s goals and describing their knowledge and capabilities. This information is then utilized to define an optimal attack strategy.

3.1. Adversary’s Goal

The objective of attacks can be defined as three types of integrity, availability, or privacy violation [21], of which specificity can be targeted or indiscriminate [52,53]. The integrity attack aims to selectively poison specific samples to cause particular mis-predictions, while the availability attack aims to indiscriminately corrupt learning models by poisoning training samples. The goal of our paper falls into the first type, which is to compromise the integrity of the model by changing its parameters to the greatest extent possible, without being detected by the target model. In the case of online learning, the attack objective is to inject malicious data into the training stream to maximize the loss function value of the model at the end of training.

3.2. Adversary’s Knowledge

In this paper, we consider a gray-box attack method for poisoning, where the attacker is assumed to have knowledge of the learning-type (regression) learning algorithm, L , and partial training samples, D s ( t ) , but does not know the trained parameters. In an online learning environment at the edge, training samples arrive at the edge’s cache one after another, making it impossible for the attacker to know the entire training sample set. The attacker can only access the samples, D s ( t ) , in the cache. In the extreme case, the attacker does not even know anything about the training samples, but fortunately can construct substitute datasets [21,36], from which trained parameters can be estimated by optimizing the learning algorithm.

3.3. Adversary’s Capability

The attacker’s capability is limited to crafting the training sample data; i.e., altering the training process is not allowed. We also assume that the attacker has full control of the training data steam including feature or label values at a certain time point. However, there is a maximum limit to the number of n p samples in the data stream that can only be changed, under which condition the target model incrementally trains the modified data stream of polluted samples not caught by the anomaly defense mechanism. We define the poisoning rate, γ , as the actual fraction of the training stream controlled by the attacker. Let us assume that n p ( i ) samples are poisoned at time i , and that the total number of poisoning samples n p = i = 1 t n p ( i ) at the end of time t . The poisoning rate γ = ( i = 1 t n p ( i ) ) /tL at time t . This paper assumes that the same number of sample points are poisoned at each time, so it is easy to prove that γ = n p ( i ) /L.

3.4. Adversary’s Strategy

In the case of online learning, the strategy of attack is to maximize the prediction error by the training sample stream at the time t instead of offline datasets. Therefore, the bi-level optimization problem [19,33,36,40] for the offline condition is no longer applicable online. The attacker’s strategy is formulated as an online incremental bi-level optimization strategy, which can be written as (5) and (6):
a r g m a x D s t J ( D s ( t ) ( o r D s ( t ) ) , θ p * ) ,
s . t . θ p a r g m i n θ t 1 L ( D s ( t 1 ) ( o r D s ( t 1 ) ) D p ( t 1 ) , θ t 1 )
Equation (6) is called inner optimization, corresponding to retraining the regression algorithm, L , on both the clean training samples, D s ( t 1 ) , and the poisoned samples, D p ( t 1 ) , at time t 1 , which generates the optimal parameter θ p . Equation (5) is called outer optimization, which amounts to selecting the poisoned points, D p ( t 1 ) , to maximize the loss function, J , on the untainted data set, D s ( t ) (which does not contain any poisoning points), at time t . D s ( t 1 ) and D s ( t ) denote training samples stored in the cache at the adjacent time. θ p can also be estimated using the substitute training data stream’s D s instead of D s . The above online attack strategy is not one of one-off poisoning, but continues to poison samples reaching the cache as time progresses. It is also possible to set the frequency of poisoning, such as to poisoning at random or in regular intervals.
Figure 2 illustrates the principle of online poisoning attacks, which consists of four stages: samples monitoring, attack point selection, data polluting, and steam poisoning. Each stage is separated by a dashed line, as shown in the rectangular box. During the monitoring stage, a segment of the length, L, is read from the original sample data stream and stored in the cache. Two strategies are employed in the selection and polluting stages: one is to select and pollute one point at a time until obtaining a poison sample, D p , of size n p , and the other is to select and pollute points in batches until obtaining a poison sample, D p . The light-colored vertical bars in the selecting stage represent the selected clean sample points, and the dark-colored vertical bars in the polluting stage represent the contaminated sample points. The selection and polluting stages are iteratively executed, as indicated by the long dashed line with arrows. The poisoned stream with dark striped arrows in the poisoning stage represents the D p inserted into the original data stream, which is then sent to the target model, indicating the completion of the entire poisoning attack. Figure 3 provides an overall view of the attack process, where the dark striped rectangular bar represents the poisoned stream mixed into the normal data stream and the horizontal axis represents the temporal relationship of the stream. The poisoning attack can be executed repeatedly or separately in intervals.

4. Attack Algorithm

Figure 4 presents the flowchart of the online poisoning attack. In step S1, a certain number of online training samples are obtained during the monitoring of the original stream. After the initialization of step S2, step S3 selects sample data points with a certain poisoning rate from the stream based on the strategy of maximum loss and pollutes these points using the gradient ascent strategy. There are two strategies to select data points from to pollute: single-point selection and batch-point selection from a sliding window, which determine whether or not to pollute a sample point or a batch of sample points, respectively. The polluting operation will update the selected sample points to new values according to the gradient ascent strategy and learning step size. Based on the arithmetic used in the poisoning attack, the selecting and polluting operations will take a certain amount of time, during which the original sample data stream is continuously input into the target model. Once the selecting and poisoning operations are completed, the poisoned data stream is injected into the original training stream being sent to the target model. This section describes the online poisoning attack algorithm step by step. The definitions of the symbols used in this section are shown in Table 2.
Step S1 obtains a certain number of online training samples, D s , during the monitoring of the original training data stream. Samples D s t and D s t + 1 from the adjacent time are saved in the cache as inputs in the attack algorithm. From time zero, training samples arrive one after another, and the model is trained iteratively. When the model reaches a convergence state at time t , the trained parameter θ ( t ) is obtained as the initial parameter of the attack method (cf. line 1 to 4 in Algorithms 1 and 2).
Step S2. Initialize the maximum poisoning sample number, q = γ L , the cache size, L , of the data stream, D s ( L is greater than q ), the width of the slide window, m (according to the cache size, L, in the D s and the number of poisoned samples, q , m < q ) (cf. line 5 in Algorithms 1 and 2).
Step S3. Select and pollute points from the D s to generate poisoned samples, D p , with two strategies: single-point (S3.1) and batch-point (S3.2).
Step S3.1. Pollute points based on single-point selection, and the specific implementation process is shown in Algorithm 1:
Algorithm 1 Online poisoning attack based on single-point strategy (abbreviated as ODPA-SP)
Input: training data stream, D s , L , J , p o s i t i v e   c o n s t a n t , ε (or D s for the black-box mode), poisoning rate, γ , and cache size, L
1: t 0 ( I n i t i a l i z a t i o n   o f   t i m e   t )
2: repeat
3:    t t + 1
4: u n t i l   ( θ ( t ) a r g m i n θ L ( D s t , θ ) ) (initialization of model)
5: q γ L (initialization of poisoned point number)
6: i n d i c e s s o r t ( { J ( D s ( i ) , θ ( t ) ) } i = t t + L 1 ) [ : q ]
7: D p ( t ) ( x [ i n d i c e s ] , y [ i n d i c e s ] )
8: r e p e a t
9:   J ( t ) J ( D s ( t + 1 ) , θ ( t ) )
10:   f o r   c = 1 , , q  do
11:    x c ( t + 1 ) Π ( x c ( t ) + α x c ( t ) J ( D s ( t ) , θ ( t ) ) )
12:    θ ( t + 1 ) a r g m i n θ ( t ) L ( D s ( t ) { ( x c ( t + 1 ) , y c ) } , θ ( t ) )
13:    J ( t + 1 ) J ( D s ( t + 1 ) , θ ( t + 1 ) )
14:  end for
15:  send the poisoned samples, D p ( t ) , to the target model
16:   i n d i c e s s o r t ( { J ( D s ( i ) , θ ( t + 1 ) ) } i = t + 1 t + L ) [ : q ]
17:   D p ( t + 1 ) ( x [ i n d i c e s ] , y [ i n d i c e s ] )
18:   t t + 1
19:  until  J ( t ) J ( t 1 ) < ε
Step S3.1.1. Traverse samples of D s ( t ) , calculate the loss function value according to Formula (7) and sort the loss from large to small, selecting the first q sample points as the initial poisoning sample points (Algorithm 1, line 6 to 7). This selection strategy is established based on the following observation: sample points with a larger loss in the current model have a greater influence on the model, which is grounded on the fact that points with higher loss are typically situated on the decision boundary. Formula (7) provides the method for computing the loss for each point, where θ ( t ) represents the initial model parameters trained using the fragments of the sample stream stored in the cache.
J ( D s ( i ) , θ ( t ) ) = 1 2 ( h ( x i ) y i ) 2
Step S3.1.2. For each point in D p ( t ) , x c is updated (according to Formula (8)) through the ascent direction of the gradient x c J ( D s ( t + 1 ) , θ ( t + 1 ) ) to the outer optimization (evaluated by Formula (5)). Note that x c should be enforced to lie within the feasible domain (e.g., x c 0,1 d ), which can be typically achieved through simple projection operator Π [21,31,36] (Algorithm 1, line 11). Then, add the poisoned samples { ( x c ( t + 1 ) , y c ) } to D s ( t ) , retraining the model to update the parameter of the inner optimization (evaluated by Formula (6)) (Algorithm 1, line 12).
x c = x c + α x c J ( D s ( t + 1 ) , θ ( t + 1 ) )
The algorithm ODPA-SP in this section does not change the complexity of the traditional offline bi-level optimization algorithm but rather converts it into an online version, while also optimizing the selection strategy and poisoning strategy of the adversarial sample points. The operations used to train the model with the samples in lines 4 to 12 of the algorithm have a computational complexity of O ( k 3 ) , where k is the feature dimension. The loops in lines 8 to 19 implement the iterative steps for updating the poison samples using the gradient ascent method. The loops in lines 10 to 14 update each poison sample point iteratively. Therefore, the computational complexity of the ODPA-SP algorithm remains as O ( i t e r _ n u m n k 3 ) .
Step S3.2. is to pollute points based on the batch-point selection from the slide window m , and the specific implementation process is shown in Algorithm 2.
Algorithm 2 Online poisoning attack based on batch-points (abbreviated as ODPA-BP)
Input: training data stream, D s , L , J , positive constant ε (or D s for the black-box mode), poisoning rate, γ , cache size, L, and size of the sliding window, m
1: t 0 (initialization of time t ).
2: repeat
3:    t t + 1
4: u n t i l   ( θ ( t ) a r g m i n θ L ( D s ( t ) , θ ) ) (Initialization of model)
5: q γ L (initialization of poison point number)
6: for  i r a n g e ( t , t + L 1 q , m )   do
7:   i n d i c e s g e t m a x ( J ( D s ( i : i + q 1 ) , θ ( t ) ) )
8: end for
9: D p ( t ) { x i , y i } i = i n d i c e s i n d i c e s + q 1
10: r e p e a t
11:   J ( t ) J ( D s ( t + 1 ) , θ ( t ) )
12:   x 1 : q ( t + 1 ) Π ( x 1 : q ( t ) + α x 1 : q ( t ) J ( D s ( t ) , θ ( t ) ) )
13:   θ ( t + 1 ) a r g m i n θ ( t ) L ( D s ( t ) { ( x i ( t + 1 ) , y i ) } i = 1 q , θ ( t ) )
14:   J ( t + 1 ) J ( D s ( t + 1 ) , θ ( t + 1 ) )
15:  send the poisoned samples D p ( t ) to target model
16:  for  i r a n g e ( t + 1 , t + L q , m ) d o
17:    i n d i c e s g e t m a x ( J ( D s ( i : i + q 1 ) , θ ( t + 1 ) ) )
18:  end for
19:   D p ( t ) { x i , y i } i = i n d i c e s i n d i c e s + q 1
20:   t t + 1
21: until  J ( t ) J ( t 1 ) < ε
Step S3.2.1. After model initialization, traverse samples of D s ( t ) and calculate the loss function value in the sliding window in accordance with Formula (9). Select batch points with the largest loss as the initial poisoning sample points (Algorithm 2, line 6 to 9). This step, instead of computing the loss for each sample point with respect to the initial model, it computes the loss value for a batch of m sample points in the cache according to Formula (8). It traverses the subsets of size m in the cache samples using a sliding window and identify the subset with the maximum loss as the poison sample points.
J ( D s ( i : i + q 1 ) , θ ( t ) ) = 1 q i = t t + q 1 ( h ( x i ) y i ) 2
Step S3.2.2. Update batch points [ x t , x t + 1 , , x t + q 1 ] in the ascent direction of the gradient at once in accordance with Formula (9); meanwhile, map these points to lie within the feasible domain through projection operator Π (Algorithm 2, line 12). Then, add these samples { ( x i ( t + 1 ) , y i ) } i = 1 q to the D s ( t ) , retraining model to update the parameter of the inner optimization (evaluated by Formula (6)) (Algorithm 2, line 13). In this step, the algorithm synchronously computes the gradient of the loss function with respect to the q poison sample points according to Formula (10).
[ x t , x t + 1 , , x t + q 1 ] = [ x t , x t + 1 , , x t + q 1 ] + α x t : t + q 1 J ( D s ( t + 1 ) , θ ( t + 1 ) )
Step S3.3. Send the poisoned samples, D p ( t ) , to the target model when the q sample points have been poisoned, after which new q points are re-selected for the newly arrived samples D p ( t + 1 ) (Algorithm 1, line 15 to 18 and Algorithm 2, line 16 to 20).
Step S4. Repeat or intermittently implement S2 in S4. At the same time, the predicted results of the model are validated, and when the results are biased, this demonstrates the poisoning attack was successful. Repeat the steps above until there is no significant change in the loss function value (Algorithm 1, line 19 and Algorithm 2, line 21).
From the description of algorithms above, it can be seen that compared to offline methods, online methods of poisoning continuously train with new samples incrementally instead of traversing the same offline samples iteratively. Compared to the offline algorithms, the computational complexity of the online algorithm remains unchanged, but the size of the sample for each calculation is reduced. The difference between the ODPA-BP and ODPA-SP algorithms lies in lines 12–13, which reduce the q computations in ODPA-SP to q / m computations, thereby reducing the overall algorithmic overhead.

5. Experiments and Analysis

This section evaluates the effectiveness of the proposed online poisoning attack framework, loss-based point selection strategy, and batch-point pollution strategy when applied to edge devices. The specific evaluations for the following questions are conducted:
Question 1: Does the online poisoning attack method have less time overhead compared to the offline method?
Question 2: Can the loss-based point selection strategy improve the effectiveness of the poisoning attack effectively?
Question 3: Can the batch-point-selection poisoning strategy reduce the time overhead effectively?
Question 4: What are the optimal strategies for online single-point poisoning and online batch poisoning attacks under different conditions?
Question 5: What is the actual impact of poisoning attacks on power prediction?
Experimental setup. In order to simulate the edge computing environment of the smart grid, the prediction algorithm was run in Linux OS in edge-embedded boards, which were mainly configured with a main chip with a cortex-A7 core, 1.2 GHz, 256 MB RAM, and 512 MB ROM. We developed experiments with python, and processed data with numpy, sklearn, math and pandas libraries. Our code is available at https://github.com/yannickzhu/ODPA.git (accessed on 2 May 2023). The target model used in this experiment is the stochastic gradient descent (SGD) linear regression model, which simulates the process of an online updating model in an edge intelligence environment. The evaluation metrics mainly include MSE loss, the running time of attack, and the loss over time (LOT). The calculation method of MSE loss is to use the poisoned model to predict the test set samples and calculate the MSE loss between the predicted values and the ground truth. The running time of the attack records the time interval from the start of the attack to the end of the attack. The calculation method of LOT is to determine the ratio of the MSE loss to the running time of attack. Compared to the MSE metric, LOT takes into account the factor of time overhead and can provide a more comprehensive evaluation of the effectiveness of the attack. This article uses the OptP method proposed in [19] as the baseline algorithm. The OptP algorithm is a classic offline poisoning attack algorithm that has been widely used as a foundation for many research studies, making it highly representative.
Data set. The dataset came from the combined cycle power plant dataset (the open power dataset), which contains 9568 data samples collected over six years from 2006 to 2011. The features include the average temperature of the environment per hour, the average pressure of the environment per hour, the average relative humidity of the environment per hour, the exhaust vacuum per hour, and the predicted label, which is the net energy output per hour. To simulate online data streams, we input these samples in batches in accordance with the strategy shown in Figure 1. We performed normalization on all sample values, resulting in the feasible range of features and labels being [0, 1]. This normalization process ensured consistency in the range of values for both features and labels.
Basic parameters settings. In the experiments, we poisoned stream D s at 5%, 10%, 15% and 20% poisoning rates. In previous work, poisoning rates higher than 20% were only rarely considered, as the attacker was typically assumed to be able to control only a small fraction of the training data [19]. The termination condition, ε , for algorithm convergence was set to 0.001. The decay parameter, α , for updating feature values of the poisoned sample points in the direction of gradient ascent was set to 0.01. The above parameter settings referred to those in [21].
The following chapters are organized according to those five questions above, with each section corresponding to one question.

5.1. Effectiveness Comparison of Online and Offline Poisoning Attacks

In this experiment, we divided 9568 sample points into 10 parts and sequentially input them into the ODPA-SP algorithm to simulate a scenario in which points of the data stream arrived at the cache one by one. Power data samples exhibited a stronger time series relationship. Therefore, in this experiment, the order of samples was maintained and the same order was used for each simulation training procedure. This approach ensured that the temporal relationship between the power data samples was preserved during the training process, which was critical for achieving accurate and reliable results. After 10 attacks, we recorded the time and loss of each attack, and calculated the average loss and the total time of all executions. We also input all 9568 sample points into the ODPA-SP algorithm at once to simulate the offline poisoning attack scenario, recording the attack time and loss. As shown in Table 3, the total time of the ten attacks was 17.37 s, which is less than half of the time of the offline attack, while the average loss caused by the ten attacks was comparable to that of the offline attack. The results indicate that the online attack method can significantly reduce time overhead while maintaining poisoning effectiveness.

5.2. Performance of Point Selection Strategy

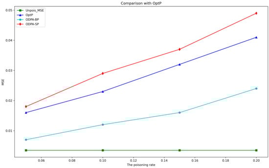
In this section, we selected 1125 sample points and tested the ODPA-SP, ODPA-BP and OptP at different poisoning rates. The experimental results are shown in Table 4 and Figure 5.
It is observed that all three attacks can mislead the predictive performance of linear regression models, and the change in MSE is also linear and upward with the increase in poisoning rates. The red line in Figure 5, representing the ODPA-SP algorithm, shows the best performance with the highest loss, which demonstrates the effectiveness of the point selection strategy. Specifically, the single-point poisoning strategy (ODPA-SP) outperforms the batch-points strategy (ODPA-BP) in terms of model loss function values after attack. This is because the former takes more time to select discontinuous data points one by one for poisoning in exchange for better results, while the latter selects continuous sub-sequent poisoning samples to optimize the objective function and reduce the computation time. The next section of experiments further confirms the time difference between ODPA-SP and ODPA-BP.

5.3. Performance of Batch-Poisoning Strategy

In this section, we conducted experiments on sample sets with 285, 1125, and 9568 data points at four poisoning rates for each of the three algorithms, and record the execution time. The results as Table 5 show that although the ODPA-BP algorithm does not cause a high MSE, it significantly reduces the execution time compared to the other two algorithms. This demonstrates the effectiveness of the batch-poisoning strategy in reducing time overhead of attack.

5.4. Comparison between ODPA-SP and ODPA-BP

Regarding question 4, we conducted a detailed analysis of the MSE, time, and LOT of the three algorithms, based on the experimental settings described in the previous section. The results are presented in Table 6, and the comparative values of LOT are plotted in Figure 6 (where the horizontal axis represents the total number of poisoned samples and the vertical axis represents the LOT index). The analysis indicates that the selection of attack algorithms should not be limited to the degree of improvement in MSE alone, but should consider LOT comprehensively. Figure 6 clearly shows the performance comparison of the three algorithms in the LOT index, with the peak value of the red line being significantly higher than that of the other two lines. This indicates that although the ODPA-BP algorithm performs only moderately effectively in the MSE index, its comprehensive efficiency is optimal; in other words, it achieves the maximum MSE loss with the minimum time cost. In addition, Figure 6 also shows the trend of the performance of the three algorithms as the number of poisoned samples increased. All three algorithms achieved their maximum performance when the number of poisoned samples was around 57 (out of a total of 285 samples with a poisoning rate of 0.2), providing important guidelines for setting the optimal cache size. Table 7 shows the changes in average loss of the three algorithms with respect to the number of catch samples when the poisoning rate was fixed at 0.2. We can observe that when the number of samples was less than 285, the model did not reach a stable state due to the insufficient number of samples, which is reflected in the large fluctuations in the loss values of the model for the clean samples. At this time, the loss values after the model was attacked were also unstable, and the attack had no practical significance. However, when the number of samples exceeded 285, the model reached a stable state, and the loss value of the model for the clean samples stabilized at around 0.0037. At this time, the loss value after the model was attacked stabilized at around 0.04, indicating that when the cache sample size was set to around 285, the attack algorithm reached the optimal state. This conclusion is consistent with the conclusions of Table 6 and Figure 7.

5.5. Actual Impact of Poisoning Attacks on Power Prediction

The effectiveness of attacks introduced in the previous section is reflected only in data indicators such as MSE, which does not directly show their true impact on the power system. This section will directly present the relationship between the MSE index and the predicted results of electric energy, as shown in Figure 7. The horizontal axis in Figure 7 represents the number of prediction samples, and the vertical axis represents the predicted electric energy (the values shown are not the actual values of electric energy, but the normalized results that can still reflect the real data status). The blue line represents the ground truth of electric energy, while the other colored lines represent the predicted values under different MSE. The figure shows that a significant deviation occurs between the predicted energy values generated by attacks and the ground truth. The red and blue solid circles represent the maximum deviation of the predicted values, which becomes more severe as the increase in the MSE. Typically, the deviation of electric energy prediction must be controlled within 5% to ensure sufficient safety. However, the deviation shown in the figure has already exceeded this threshold. If not intervened, it will lead to overestimation or underestimation of the predicted electric energy, causing serious imbalance in the power grid load. Therefore, the purpose of this experiment is to demonstrate the necessity of defending against poisoning attacks.

5.6. Other Questions

In this paper, the setting of parameters such as the sliding window size, m , for batch-points selection, and the number of samples being covered, β , are not extensively discussed. We set m to the number of poisoned samples, considering the extreme case of overall contamination of the poisoning points. This setting could reduce the number of iterations and minimize the time cost. Secondly, for the setting of the forgetting parameter of β , we set β = L , also considering the extreme case of complete forgetting. The experimental results are still quite promising. This paper focuses on feasibility and effectiveness, and optimal parameter settings will be completed in future research.

6. Conclusions

This paper addresses the problem of poisoning online regression in the edge computing environment of the smart grid for the first time. Specifically, we propose an online poisoning attack framework that transforms the bi-level optimization problem from the offline mode to the online mode. This is equivalent to converting a one-time processing of a massive offline sample into multiple batch processing. By optimizing the sample size processed in each batch, we could reduce the time overhead of each processing and achieve the goal of reducing the overall time overhead. Then, this paper applies the loss-based selection strategy and the batch-polluting strategy in poisoning attacks on regression models. Finally, we evaluate the proposed algorithms for the edge device with the data stream being generated using a simulation based on offline open datasets of the smart grid. Our experiments have shown that the proposed method can reduce time overhead by over 50% while also improving average attack effectiveness by more than 1.23 times. The results emphasize the importance of defending against poisoning attacks in the context of smart grid security.
To ensure timeliness, we focused on common online prediction models that are suitable for limited computing and resource-constrained environments in the edge intelligence environment. In future work, we plan to investigate more complex online models of deep learning and neural networks, which will enable us to explore poisoning attack and defense strategies in greater depth.

Author Contributions

Y.Z. contributed to the concept of the research and developed the theory. H.W. and Q.L. organized the work, and revised the draft of the paper. Y.Z. and H.W. designed the experiments. Y.Z. and P.Z. contributed to the main results and code implementation. Y.Z., R.Z. and P.Z. performed the experiments. Y.Z. and H.W. analyzed the experimental results. Y.Z., H.W., R.Z., Y.J. and P.Z. discussed the results. Y.Z. wrote the original manuscript. All authors have read and agreed to the published version of the manuscript.

Funding

This work is supported by Sichuan Provincial Science and Technology Achievement Transformation Project (2022ZHCG0004).

Institutional Review Board Statement

Not applicable.

Informed Consent Statement

Not applicable.

Data Availability Statement

Publicly available datasets were analyzed in this study. This data can be found here: [https://archive.ics.uci.edu/ml/machine-learning-databases/00294/CCPP.zip], accessed on 26 February 2023. The dataset after normalization preprocessing can be downloaded from the code link provided in Section 5 of this paper. Data citation: [dataset] Tüfekci, P.; Kaya, H. 2014. Combined Cycle Power Plant Data Set; UCI Machine Learning Repository [https://archive.ics.uci.edu/ml/]; Version 2014-03-26.

Conflicts of Interest

The authors declare no conflict of interest.

References

  1. Paul, S.; Gupta, S.D.; Islam, K.A.; Saha, K.; Majumder, S. Challenges of Securing the Smart Grid and Their Probable Security Solutions. In Proceedings of the 2012 2nd International Conference on Environment and BioScience, Phnom Penh, Cambodia, 28 September 2012; pp. 6–11. [Google Scholar]
  2. Zhang, C.; Fan, X.; Liu, X.; Pang, H.; Sun, L.; Liu, J. Edge computing enabled smart grid. Big Data Res. 2019, 5, 64–78. [Google Scholar] [CrossRef]
  3. Feng, C.; Wang, Y.; Chen, Q. Smart Grid Encounters Edge Computing: Opportunities and Applications. Adv. Appl. Energy 2020, 2, 100006. [Google Scholar] [CrossRef]
  4. Zhou, Z.; Chen, X.; Li, E.; Zeng, L.; Luo, K.; Zhang, J. Edge intelligence: Paving the last mile of artificial intelligence with edge computing. Proc. IEEE 2019, 107, 1738–1762. [Google Scholar] [CrossRef]
  5. Shi, W.; Cao, J.; Zhang, Q.; Li, Y.; Xu, L. Edge Computing: Vision and Challenges. IEEE IoT J. 2016, 3, 637–646. [Google Scholar] [CrossRef]
  6. Ansari, M.S.; Alsamhi, S.H.; Qiao, Y.; Li, X. Security of distributed intelligence in Edge computing: Threats and countermeasures. In The Cloud-To-Thing Continuum: Opportunities and Challenges in Cloud, Fog and Edge Computing, 1st ed.; Lynn, T., Aalsalem, M.Y., Li, X., Eds.; Springer Nature Switzerland AG: Cham, Switzerland, 2020; pp. 95–122. ISBN 978-3-030-41109-1. [Google Scholar]
  7. Zhou, Z.; Yu, S.; Chen, X. Edge intelligence: A new nexus of edge computing and artificial intelligence. Big Data Res. 2019, 5, 53–63. [Google Scholar] [CrossRef]
  8. Wang, X.; Han, Y.; Leung, V.; Niyato, D.; Yan, X.; Chen, X. Convergence of Edge Computing and Deep Learning: A Comprehensive Survey. IEEE Commun. Surv. Tutorials 2020, 22, 869–904. [Google Scholar] [CrossRef]
  9. Deng, S.; Zhao, H.; Fang, W.; Yin, J.; Dustdar, S.; Zomaya, A.Y. Edge Intelligence: The Confluence of Edge Computing and Artificial Intelligence. IEEE Internet Things J. 2020, 7, 7457–7469. [Google Scholar] [CrossRef]
  10. Mahmoud, M.M. Improved current control loops in wind side converter with the support of wild horse optimizer for enhancing the dynamic performance of PMSG-based wind generation system. Int. J. Model. Simul. 2022, 1–15. [Google Scholar] [CrossRef]
  11. Boudjemai, H.; Ardjoun, S.A.E.M.; Chafouk, H.; Denai, M.; Elbarbary, Z.M.; Omar, A.I.; Mahmoud, M.M. Application of a Novel Synergetic Control for Optimal Power Extraction of a Small-Scale Wind Generation System with Variable Loads and Wind Speeds. Symmetry 2023, 15, 369. [Google Scholar] [CrossRef]
  12. Gul, O.M.; Kulhandjian, M.; Kantarci, B.; Touazi, A.; Ellement, C.; D’amours, C. Secure Industrial IoT Systems via RF Fingerprinting Under Impaired Channels With Interference and Noise. IEEE Access 2023, 11, 26289–26307. [Google Scholar] [CrossRef]
  13. Comert, C.; Kulhandjian, M.; Gul, O.M.; Touazi, A.; Ellement, C.; Kantarci, B.; D’Amours, C. Analysis of Augmentation Methods for RF Fingerprinting under Impaired Channels. In Proceedings of the 2022 ACM Workshop on Wireless Security and Machine Learning (WiseML ‘22), San Antonio, TX, USA, 19 May 2022; pp. 3–8. [Google Scholar]
  14. Cinà, A.E.; Grosse, K.; Demontis, A.; Biggio, B.; Roli, F.; Pelillo, M. Machine Learning Security against Data Poisoning: Are We There Yet? arXiv 2022, arXiv:2204.05986. [Google Scholar] [CrossRef]
  15. Anwar, A.; Mahmood, A.N. Vulnerabilities of smart grid state estimation against false data injection attack. In Renewable Energy Integration. Green Energy and Technology; Hossain, J., Mahmud, A., Eds.; Springer: Singapore, 2014; pp. 411–428. [Google Scholar] [CrossRef]
  16. Sanjab, A.; Saad, W. Smart Grid Data Injection Attacks: To Defend or Not? In Proceedings of the 2015 IEEE International Conference on Smart Grid Communications (SmartGridComm), Miami, FL, USA, 2–5 November 2015; pp. 380–385. [Google Scholar]
  17. Nawaz, R.; Shahid, M.A.; Qureshi, I.M.; Mehmood, M.H. Machine Learning Based False Data Injection in Smart Grid. In Proceedings of the 2018 1st International Conference on Power, Energy and Smart Grid (ICPESG), Mirpur Azad Kashmir, Pakistan, 14–16 March 2018; pp. 1–6. [Google Scholar]
  18. Musleh, A.S.; Chen, G.; Dong, Z.Y.; Wang, C.; Chen, S. Vulnerabilities, Threats, and Impacts of False Data Injection Attacks in Smart Grids: An Overview. In Proceedings of the 2020 International Conference on Smart Grids and Energy Systems (SGES), Perth, Australia, 21–23 September 2020; pp. 77–82. [Google Scholar]
  19. Jagielski, M.; Oprea, A.; Biggio, B.; Nita-Rotaru, C.; Li, B.; Procopiuc, C.; Ghasemian, A.; Srivastava, M.; Singh, S. Manipulating Machine Learning: Poisoning Attacks and Countermeasures for Regression Learning. In Proceedings of the IEEE Symposium on Security and Privacy (SP), San Francisco, CA, USA, 21–25 May 2018; pp. 19–35. [Google Scholar]
  20. Liu, C.; Li, B.; Vorobeychik, Y.; Kantarcioglu, M.; Song, D. Robust Linear Regression Against Training Data Poisoning. In Proceedings of the 10th ACM Workshop on Artificial Intelligence and Security, Dallas, TX, USA, 3–7 November 2017; pp. 91–102. [Google Scholar]
  21. Xiao, H.; Biggio, B.; Brown, G.; Fumera, G.; Eckert, C.; Roli, F. Is Feature Selection Secure Against Training Data Poisoning? In Proceedings of the International Conference on Machine Learning, Lille, France, 6–11 July 2015; pp. 1689–1698. [Google Scholar]
  22. Barreno, M.; Nelson, B.; Joseph, A.D.; Tygar, J.D. The Security of Machine Learning. Mach. Learn. 2010, 81, 121–148. [Google Scholar] [CrossRef]
  23. Vrablecová, P.; Ezzeddine, A.B.; Rozinajová, V.; Chovanec, M.; Vrablec, M. Smart Grid Load Forecasting Using Online Support Vector Regression. Comput. Electr. Eng. 2018, 65, 102–117. [Google Scholar] [CrossRef]
  24. Ramirez, M.A.; Kim, S.-K.; Hamadi, H.A.; Damiani, E.; Byon, Y.J.; Kim, T.Y.; Cho, C.S.; Yeun, C.Y. Poisoning Attacks and Defenses on Artificial Intelligence: A Survey. Comput. Sci. 2016, 4, 1–15. [Google Scholar] [CrossRef]
  25. Wang, Z.; Ma, J.; Wang, X.; Hu, J.; Qin, Z.; Ren, K. Threats to Training: A Survey of Poisoning Attacks and Defenses on Machine Learning Systems. ACM Comput. Surv. 2022, 55, 1–36. [Google Scholar] [CrossRef]
  26. Zhou, M.; Wu, J.; Liu, Y.; Liu, S.; Zhu, C. DaST: Data-free Substitute Training for Adversarial Attacks. In Proceedings of the IEEE/CVF Conference on Computer Vision and Pattern Recognition (CVPR), Seattle, WA, USA, 13–19 June 2020; pp. 231–240. [Google Scholar]
  27. Qiu, W. A Survey on Poisoning Attacks Against Supervised Machine Learning. arXiv 2022, arXiv:2202.02510. [Google Scholar] [CrossRef]
  28. Biggio, B.; Nelson, B.; Laskov, P. Support vector machines under adversarial label noise. In Proceedings of the Asian Conference on Machine Learning, PMLR, Taoyuan, Taiwan, 13–15 November 2011; pp. 97–112. [Google Scholar]
  29. Xiao, H.; Biggio, B.; Nelson, B.; Eckert, C.; Roli, F. Support vector machines under adversarial label contamination. Neurocomputing. 2015, 160, 53–62. [Google Scholar] [CrossRef]
  30. Paudice, A.; Muñoz-González, L.; Lupu, E.C. Label sanitization against label flipping poisoning attacks. In Proceedings of the Joint European Conference on Machine Learning and Knowledge Discovery in Databases; Springer: Cham, Switzerland; Dublin, Ireland, 2018; pp. 5–15. [Google Scholar]
  31. Biggio, B.; Nelson, B.; Laskov, P. Poisoning attacks against support vector machines. Comput. Sci. 2013, 6854, 146–157. [Google Scholar] [CrossRef]
  32. Burkard, C.; Lagesse, B. Analysis of causative attacks against svms learning from data streams. In Proceedings of the 3rd ACM on International Workshop on Security And Privacy Analytics, Scottsdale, AZ, USA, 24 March 2017; pp. 31–36. [Google Scholar]
  33. Mei, S.; Zhu, X. Using machine teaching to identify optimal training-set attacks on machine learners. In Proceedings of the Twenty Ninth AAAI Conference on Artificial Intelligence, Austin, TX, USA, 25–30 January 2015. [Google Scholar]
  34. Alfeld, S.; Zhu, X.; Barford, P. Data poisoning attacks against autoregressive models. In Proceedings of the AAAI Conference on Artificial Intelligence, Phoenix, AZ, USA, 12–17 February 2016; Volume 30. [Google Scholar]
  35. Koh, P.W.; Liang, P. Understanding black-box predictions via influence functions. In Proceedings of the International Conference on Machine Learning, Sydney, Australia, 6–11 August 2017; pp. 1885–1894. [Google Scholar]
  36. Muñoz-González, L.; Biggio, B.; Demontis, A.; Paudice, A. Towards poisoning of deep learning algorithms with back-gradient optimization. In Proceedings of the 10th ACM Workshop on Artificial Intelligence and Security, Dallas, TX, USA, 3 November 2017; pp. 27–38. [Google Scholar]
  37. Cisse, M.M.; Adi, Y.; Neverova, N.; Keshet, J. Houdini: Fooling deep structured visual and speech recognition models with adversarial examples. In Proceedings of the 31st International Conference on Neural Information Processing Systems, Long Beach, CA, USA, 4–9 December 2017; pp. 6980–6990. [Google Scholar]
  38. Chen, Y.; Zhu, X. Optimal Adversarial Attack on Autoregressive Models. arXiv 2019, arXiv:1902.00202. [Google Scholar] [CrossRef]
  39. Li, B.; Wang, Y.; Singh, A. Data poisoning attacks on factorization-based collaborative filtering. arXiv 2016, arXiv:1608.08182. [Google Scholar] [CrossRef]
  40. Müller, N.; Kowatsch, D.; Böttinger, K. Data Poisoning Attacks on Regression Learning and Corresponding Defenses. In Proceedings of the 2020 IEEE 25th Pacific Rim International Symposium on Dependable Computing (PRDC), Perth, WA, Australia, 1–4 December 2020; pp. 80–89. [Google Scholar]
  41. Zhang, X.Z.; Zhu, X.J.; Lessard, L. Online Data Poisoning Attacks. In Proceedings of the 2nd Annual Conference on Learning for Dynamics and Control (L4DC 2020), Berkeley, CA, USA, 11–12 June 2020; pp. 201–210. [Google Scholar]
  42. Wang, Y.Z.; Chaudhuri, K. Data Poisoning Attacks against Online Learning. arXiv 2018, arXiv:1808.08994. [Google Scholar] [CrossRef]
  43. Koh, P.W.; Steinhart, J.; Liang, P. Stronger Data Poisoning Attacks Break Data Sanitization Defenses. Mach. Learn. 2021, 111, 1–47. [Google Scholar] [CrossRef]
  44. Koh, P.W.; Ang, K.S.; Teo, H.K.; Liang, P. On the Accuracy of Influence Functions for Measuring Group Effects. In Proceedings of the 33rd International Conference on Neural Information Processing Systems, Vancouver, BC, Canada, 8–14 December 2019; pp. 5254–5264. [Google Scholar]
  45. Wojnowicz, M.; Cruz, B.; Zhao, X.; Wallace, B.; Wolf, M.; Luan, J.; Crable, C. “Influence Sketching”: Finding Influential Samples in Large-Scale Regressions. In Proceedings of the 2016 IEEE International Conference on Big Data (Big Data), Washington, DC, USA, 5–8 December 2016; pp. 3601–3612. [Google Scholar]
  46. Memon, M.; Hiram, T.; Hwa, C.J.; Ramayah, T.; Chuah, F.; Cham, T. Sample Size for Survey Re-search: Review and Recommendations. J. Appl. Struct. Equ. Model. 2020, 4, 1–20. [Google Scholar] [CrossRef]
  47. Green, S.B. How Many Subjects Does It Take To Do A Regression Analysis. Multivar. Behav. Res. 1991, 26, 499–510. [Google Scholar] [CrossRef]
  48. Feng, J.; Cai, Q.; Zhou, Z. Learning to confuse: Generating training time adversarial data with autoencoder. In Proceedings of the Advances in Neural Information Processing Systems 32: Annual Conference on Neural Information Processing Systems 2019 (NeurIPS 2019), Vancouver, BC, Canada, 8–14 December 2019; pp. 11971–11981. [Google Scholar]
  49. Shafahi, A.; Huang, W.R.; Najibi, M.; Suciu, O.; Studer, C.; Dumitras, T.; Goldstein, T. Poison frogs! targeted clean-label poisoning attacks on neural networks. In Proceedings of the Advances in Neural Information Processing Systems 31: Annual Conference on Neural Information Processing Systems 2018 (NeurIPS 2018), Montreal, QC, Canada, 3–8 December 2018; pp. 6106–6116. [Google Scholar]
  50. Gu, T.Y.; Dolan-Gavitt, B.; Garg, S. Badnets: Identifying vulnerabilities in the machine learning model supply chain. arXiv 2017, arXiv:1708.06733. [Google Scholar] [CrossRef]
  51. Ahmad, M. Mitigating Catastrophic Forgetting in Incremental Learning. Master’s Thesis, National University of Computer and Emerging Sciences, Karachi, Pakistan, 28 December 2019. [Google Scholar]
  52. Barreno, M.; Nelson, B.; Sears, R.; Joseph, A.D.; Tygar, J.D. Can machine learning be secure? In Proceedings of the 2006 ACM Symposium on Information, Computer and Communications Security, Taipei, Taiwan, 21–24 March 2006; pp. 16–25. [Google Scholar]
  53. Biggio, B.; Fumera, G.; Roli, F. Security evaluation of pattern classifiers under attack. IEEE Trans. Knowl. Data Eng. 2014, 26, 984–996. [Google Scholar] [CrossRef]
Figure 1. Cache strategy of samples.
Figure 1. Cache strategy of samples.
Sensors 23 04509 g001
Figure 2. Schematic diagram of attack.
Figure 2. Schematic diagram of attack.
Sensors 23 04509 g002
Figure 3. Schematic diagram of poisoning process during online monitoring, selection, pollution and poisoning of sample points.
Figure 3. Schematic diagram of poisoning process during online monitoring, selection, pollution and poisoning of sample points.
Sensors 23 04509 g003
Figure 4. Flowchart of attack.
Figure 4. Flowchart of attack.
Sensors 23 04509 g004
Figure 5. MSE comparison of attacks.
Figure 5. MSE comparison of attacks.
Sensors 23 04509 g005
Figure 6. LOT competition of attacks.
Figure 6. LOT competition of attacks.
Sensors 23 04509 g006
Figure 7. Impact of poisoning attacks on power prediction.
Figure 7. Impact of poisoning attacks on power prediction.
Sensors 23 04509 g007
Table 1. A summary of the major poisoning attack methodology.
Table 1. A summary of the major poisoning attack methodology.
Poisoning StrategyMethod Already ProposedPoisoning AreaAdversary’s KnowledgeOnline/OfflineClassification/Regression
Label flippingInvFlip [19], ALFA [29], LFA [30], and BFlip [19]yBlack-boxOfflineClassification
Gradient ascent[31,33,34,35,38](X,y),XBlack-box and White-boxOfflineClassification
OptP [19] and BGD [19,43]Regression
[42]XWhite-boxOnlineClassification
Statistical-basedStatP [19](X,y)Black-boxOfflineRegression
General optimal control[41]XBlack-boxOnlineClassification
Table 2. Notation description.
Table 2. Notation description.
SymbolDescription
y The label vector of the sample
XThe feature matrix of the sample, where k represents the feature dimension and n represents the total number of samples
θ The parameter vector of the regression model
h ( X ) The objective function of the learning algorithm
J D s , θ ( a b b r e v i a t e d   a s   J ) The loss function of the mean square error
D s = { ( x i , y i ) } i = 1 n The dataset containing n samples, where each sample consists of a feature vector, x i , and a corresponding label, y i
a r g m i n J ( D s , θ ) Using D s to train the model to minimize the loss function
θ The global optimal parameter vector
θ i J ( D s , θ i ) The gradient of loss function with respect to the parameter
α The learning rate in the gradient algorithm
βThe number of samples being covered
LThe capacity size of the cache
t The time t
D s ( t ) The partial training samples of time t
n p ( i ) The poisoned sample number of time t
γ The poisoning rate
L The learning algorithm
θ ( t ) The parameter of time t
ε The termination condition epsilon (default = 0.001)
Π The projection operator
x c ( t ) J ( D s ( t ) , θ ( t ) ) The gradient of the loss function with respect to x c at time t ,
x 1 : q ( t ) J ( D s ( t ) , θ ( t ) ) The gradient of the loss function with respect to the batch points x 1 to x q at time t , where q represents the number of poisoning sample points.
m Width of slide window during batch point selection
Table 3. Comparison of online and offline poisoning attacks.
Table 3. Comparison of online and offline poisoning attacks.
CacheCache_1Cache_2Cache_3Cache_4Cache_5Cache_6Cache_7Cache_8Cache_9Cache_10
MSE0.044020400.044285210.049319590.039149290.040855010.048012670.048762930.040101140.045110610.04883171
Time1.6999551.6426231.6776151.8699812.0219971.689381.7109461.6928281.6745171.692794
Average_Test_MSE (Online)0.044844856
Total time of 10 caches (Online)17.372636 s
MSE of 9568 (Offline)0.04484707
Total time of 9568 (Offline)34.713239 s
Table 4. MSE comparison of attack effect between loss-based point selection and random point selection.
Table 4. MSE comparison of attack effect between loss-based point selection and random point selection.
The Poisoning RateMSESample Location
Unpoisoned_MSEOptPODPA-BPODPA-SPSingleBatch
0.050.00350.0160.0070.01883,49,30,2,5141,42,43,44,45
0.10.00350.0230.0120.02983,49,30,2,51,
43,27,91,25,85
41,42,43,44,45,
46,47,48,49,50
0.150.00350.0320.0160.03783,49,30,2,51,
43,27,91,25,85,
73,11,79,93,31
6,7,8,9,10,
11,12,13,14,15,
16,17,18,19,20
0.20.00350.0410.0240.04983,49,30,2,51,
43,27,91,25,85,
73,11,79,93,31,
5,63,55,39,59
6,7,8,9,10,
11,12,13,14,15,
16,17,18,19,20,
21,22,23,24,25,
26,27,28,29,30
Table 5. Time comparison of three attacks.
Table 5. Time comparison of three attacks.
Sam_NumPois_RateTime(s)
OptPODPA-BPODPA-SP
2850.050.2864770.0568420.19136
0.10.417820.0808120.284599
0.150.4777850.1027250.346848
0.20.598490.1194080.388027
11250.050.7988810.1828360.779118
0.11.1535830.2767191.188495
0.151.5138190.4172981.542514
0.21.9422880.6069621.911988
95680.0512.3818184.34687212.280106
0.119.3762466.73843118.720726
0.1526.7365129.53560626.131643
0.234.67096312.05949134.033881
Table 6. Comparative study of three attacks.
Table 6. Comparative study of three attacks.
Pois_NumTime(s)MSELoss_Over_Time
(LOT)
OptPODPA-BPODPA-SPOptPODPA-BPODPA-SPOptPODPA-BPODPA-SP
150.2864770.0568420.191360.0160.0060.0160.0558509060.1055557510.08361204
290.417820.0808120.2845990.0250.0080.0230.0598343780.0989951990.080815463
430.4777850.1027250.3468480.0310.0120.0280.064882740.1168167440.080727004
570.598490.1194080.3880270.0380.0150.0380.0634931240.1256197240.09793133
810.7988810.1828360.7791180.0160.0070.0180.0200280140.0382856770.023103047
1131.1535830.2767191.1884950.0230.0120.0290.019937880.0433652910.024400607
1691.5138190.4172981.5425140.0320.0160.0370.0211385910.0383419040.023986816
2251.9422880.6069621.9119880.0410.0240.0490.0211091250.039541190.025627776
47812.3818184.34687212.2801060.0170.0090.0190.0013729810.0020704540.001547218
95719.3762466.73843118.7207260.0240.0130.0250.001238630.0019292320.001335418
143526.7365129.53560626.1316430.0340.0180.0340.0012716690.0018876620.001301105
191434.67096312.05949134.0338810.0430.0250.0500.0012402310.0020730560.001469124
Table 7. Change in loss with sample at fixed poisoning rate.
Table 7. Change in loss with sample at fixed poisoning rate.
Sam_NumUnpois_MSETest_MSE
160.01760.554
760.00390.053
1000.00460.045
1890.00280.045
2850.00350.039
3760.00350.041
11250.00370.037
18760.00380.041
37500.00360.041
95680.00360.042
Disclaimer/Publisher’s Note: The statements, opinions and data contained in all publications are solely those of the individual author(s) and contributor(s) and not of MDPI and/or the editor(s). MDPI and/or the editor(s) disclaim responsibility for any injury to people or property resulting from any ideas, methods, instructions or products referred to in the content.

Share and Cite

MDPI and ACS Style

Zhu, Y.; Wen, H.; Zhao, R.; Jiang, Y.; Liu, Q.; Zhang, P. Research on Data Poisoning Attack against Smart Grid Cyber–Physical System Based on Edge Computing. Sensors 2023, 23, 4509. https://doi.org/10.3390/s23094509

AMA Style

Zhu Y, Wen H, Zhao R, Jiang Y, Liu Q, Zhang P. Research on Data Poisoning Attack against Smart Grid Cyber–Physical System Based on Edge Computing. Sensors. 2023; 23(9):4509. https://doi.org/10.3390/s23094509

Chicago/Turabian Style

Zhu, Yanxu, Hong Wen, Runhui Zhao, Yixin Jiang, Qiang Liu, and Peng Zhang. 2023. "Research on Data Poisoning Attack against Smart Grid Cyber–Physical System Based on Edge Computing" Sensors 23, no. 9: 4509. https://doi.org/10.3390/s23094509

APA Style

Zhu, Y., Wen, H., Zhao, R., Jiang, Y., Liu, Q., & Zhang, P. (2023). Research on Data Poisoning Attack against Smart Grid Cyber–Physical System Based on Edge Computing. Sensors, 23(9), 4509. https://doi.org/10.3390/s23094509

Note that from the first issue of 2016, this journal uses article numbers instead of page numbers. See further details here.

Article Metrics

Back to TopTop