Electrochemical Detection of ompA Gene of C. sakazakii Based on Glucose-Oxidase-Mimicking Nanotags of Gold-Nanoparticles-Doped Copper Metal-organic Frameworks
Abstract
1. Introduction
2. Experimental Section
2.1. Materials
2.2. Apparatus
2.3. Synthesis of AuNPs@Cu-MOF
2.4. Preparation of sDNA-Functionalized AuNPs@Cu-MOF Signal Probes
2.5. Fabrication of the ompA Biosensor
2.6. Preparation of DNA Samples and PCR of the ompA Gene Products
2.7. Electrochemical Measurement
3. Results and Discussion
3.1. Characteristics of Cu-MOF and AuNPs@Cu-MOF
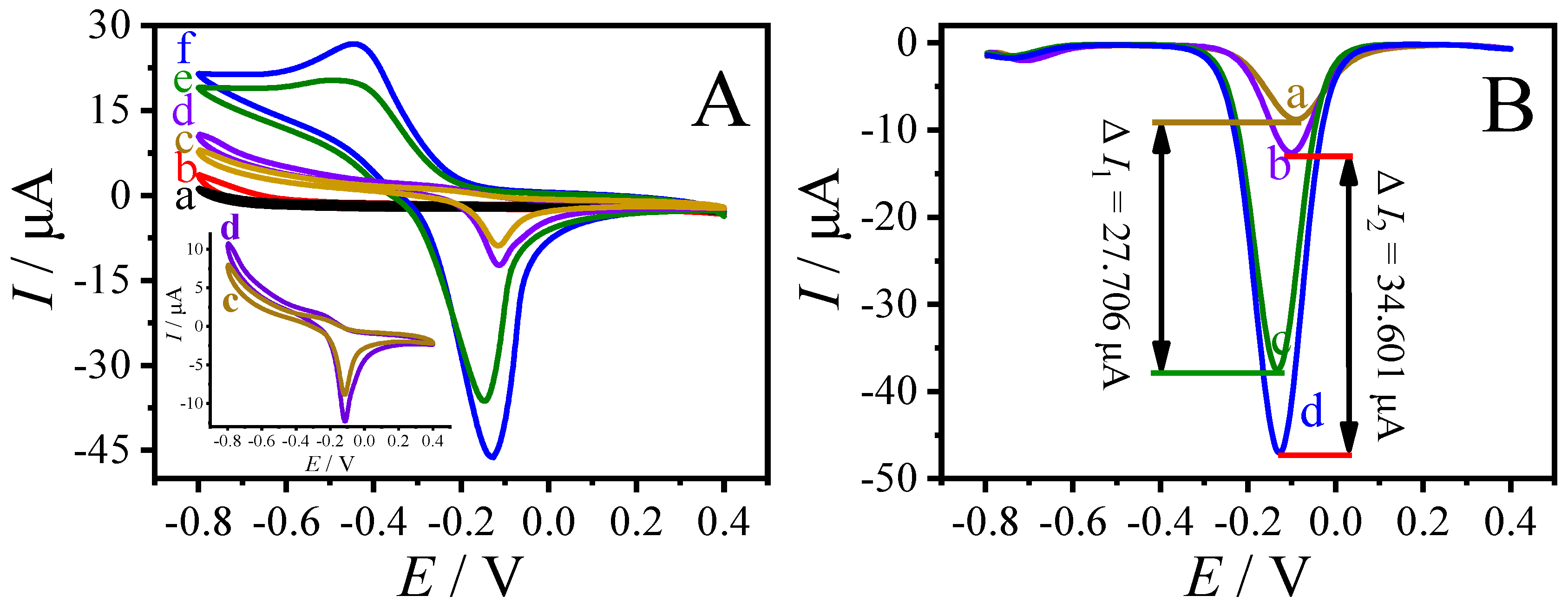
3.2. Electrochemical Characterization of Biosensor Fabrication
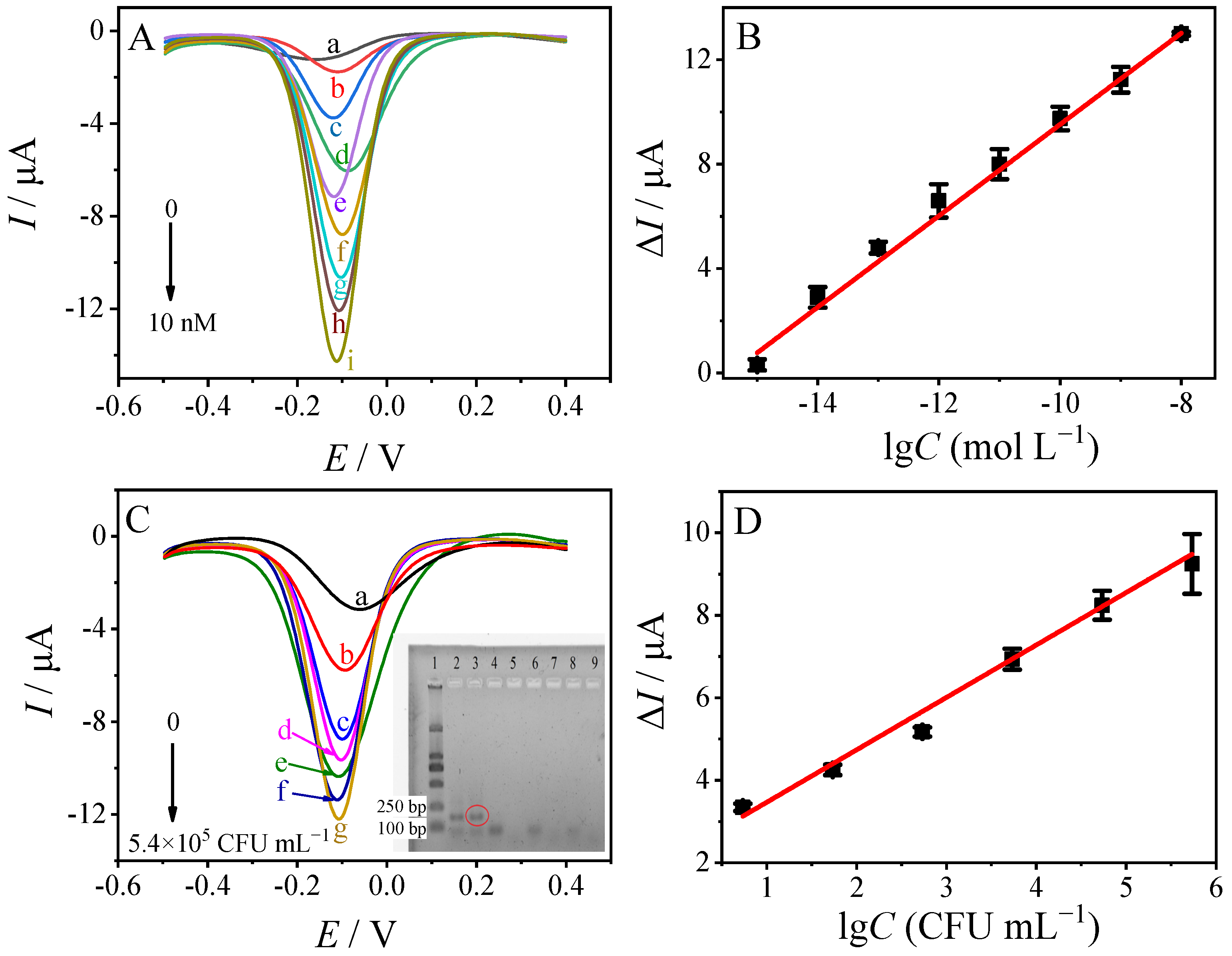
3.3. Analytical Performance of the Biosensor
3.4. Detection of ompA Gene Segments Extracted from Cronobacter sakazakii
3.5. Selectivity, Reproducibility, and Stability of Biosensors
3.6. Application in Direct Detection of C. sakazakii in Real Samples
4. Conclusions
Author Contributions
Funding
Institutional Review Board Statement
Informed Consent Statement
Data Availability Statement
Acknowledgments
Conflicts of Interest
References
- Parra-Flores, J.; Maury-Sintjago, E.; Rodriguez-Fernández, A.; Acuña, S.; Cerda, F.; Aguirre, J.; Holy, O. Microbiological Quality of Powdered Infant Formula in Latin America. J. Food Prot. 2020, 83, 534–541. [Google Scholar] [CrossRef] [PubMed]
- Yin, M.; Wang, Z.; Xie, P.; Han, L.; Li, L.; Wang, H.; Qiao, X.; Deng, Q. Fluorescence sensing platform for Cronobacter sakazakii based on the cationic metal-organic frameworks modified upconversion nanoparticles. Food Control. 2023, 145, 109443. [Google Scholar] [CrossRef]
- Yi, M.; He, P.; Li, J.; Zhang, J.; Lin, L.; Wang, L.; Zhao, L. A portable toolbox based on time-resolved fluoroimmunoassay and immunomagnetic separation for Cronobacter sakazakii on-site detection in dairy. Int. Dairy J. 2022, 133, 105425. [Google Scholar] [CrossRef]
- Zhang, L.; Chen, Y.; Cheng, N.; Xu, Y.; Huang, K.; Luo, Y.; Wang, P.; Duan, D.; Xu, W. Ultrasensitive Detection of Viable Enterobacter sakazakii by a Continual Cascade Nanozyme Biosensor. Anal. Chem. 2017, 89, 10194–10200. [Google Scholar] [CrossRef] [PubMed]
- Wu, Y.; Xiong, Y.; Chen, X.; Luo, D.; Gao, B.; Chen, J.; Huang, X.; Leng, Y.; Xiong, Y. Plasmonic ELISA based on DNA-directed gold nanoparticle growth for Cronobacter detection in powdered infant formula samples. J. Dairy Sci. 2019, 102, 10877–10886. [Google Scholar] [CrossRef]
- Akineden, O.; Wittwer, T.; Geister, K.; Plötz, M.; Usleber, E. Nucleic acid lateral flow immunoassay (NALFIA) with integrated DNA probe degradation for the rapid detection of Cronobacter sakazakii and Cronobacter malonaticus in powdered infant formula. Food Control. 2019, 109, 106952. [Google Scholar]
- Shukla, S.; Haldorai, Y.; Bajpai, V.K.; Rengaraj, A.; Hwang, S.K.; Song, X.; Kim, M.; Huh, Y.S.; Han, Y.-K. Electrochemical coupled immunosensing platform based on graphene oxide/gold nanocomposite for sensitive detection of Cronobacter sakazakii in powdered infant formula. Biosens. Bioelectron. 2018, 109, 139–149. [Google Scholar] [CrossRef]
- Li, P.; Feng, X.; Chen, B.; Wang, X.; Liang, Z.; Wang, L. The Detection of Foodborne Pathogenic Bacteria in Seafood Using a Multiplex Polymerase Chain Reaction System. Foods 2022, 11, 3909. [Google Scholar] [CrossRef]
- Xie, X.; Liu, Z. Simultaneous enumeration of Cronobacter sakazakii and Staphylococcus aureus in powdered infant foods through duplex TaqMan real-time PCR. Int. Dairy J. 2021, 117, 105019. [Google Scholar] [CrossRef]
- Liu, J.; Xie, G.; Xiong, Q.; Mu, D.; Xu, H. A simple and sensitive aptasensor with rolling circle amplification for viable Cronobacter sakazakii detection in powdered infant formula. J. Dairy Sci. 2021, 104, 12365–12374. [Google Scholar] [CrossRef]
- Liu, J.; Zhan, Z.; Liang, T.; Xie, G.; Aguilar, Z.P.; Xu, H. Dual-signal amplification strategy: Universal asymmetric tailing-PCR triggered rolling circle amplification assay for fluorescent detection of Cronobacter spp. in milk. J. Dairy Sci. 2020, 103, 3055–3065. [Google Scholar] [CrossRef]
- Kim, H.S.; Kim, Y.J.; Chon, J.W.; Kim, D.H.; Yim, J.H.; Kim, H.; Seo, K.H. Two-stage label-free aptasensing platform for rapid detection of Cronobacter sakazakii in powdered infant formula. Sens. Actuators B Chem. 2017, 239, 94–99. [Google Scholar] [CrossRef]
- Liu, Z.; Yuan, Y.; Wu, X.; Ning, Q.; Wu, S.; Fu, L. A turn-off colorimetric DNAzyme-aptasensor for ultra-high sensitive detection of viable Cronobacter sakazakii. Sens. Actuators B Chem. 2020, 322, 128646. [Google Scholar] [CrossRef]
- Cao, X.D.; Liu, M.L.; Lu, J.; Lv, H.G.; Han, J.Z.; He, S.D.; Ye, Y.K.; Chen, X.Y.; Wei, Z.J.; Zheng, H.S. An ultrasensitive biosensor for virulence ompA gene of Cronobacter sakazakii based on boron doped carbon quantum dots-AuNPs nanozyme and exonuclease III-assisted target-recycling strategy. Food Chem. 2022, 391, 133268. [Google Scholar] [CrossRef] [PubMed]
- Peng, H.; Hui, Y.; Ren, R.; Wang, B.; Song, S.; He, Y.; Zhang, F. A sensitive electrochemical aptasensor based on MB-anchored GO for the rapid detection of Cronobacter sakazakii. J. Solid State Electrochem. 2019, 23, 3391–3398. [Google Scholar] [CrossRef]
- Yuan, Y.Y.; Wu, X.Y.; Liu, Z.M.; Ning, Q.Q.; Fu, L.Q.; Wu, S.J. A signal cascade amplification strategy based on RT-PCR triggering of a G-quadruplex DNAzyme for a novel electrochemical detection of viable Cronobacter sakazakii. Analyst 2020, 145, 4477–4483. [Google Scholar] [CrossRef]
- Lv, M.; Zhou, W.; Tavakoli, H.; Bautista, C.; Xia, J.; Wang, Z.; Li, X. Aptamer-functionalized metal-organic frameworks (MOFs) for biosensing. Biosens. Bioelectron. 2020, 176, 112947. [Google Scholar] [CrossRef] [PubMed]
- Lokhande, P.; Kulkarni, S.; Chakrabarti, S.; Pathan, H.; Sindhu, M.; Kumar, D.; Singh, J.; Kumar, A.; Mishra, Y.K.; Toncu, D.-C.; et al. The progress and roadmap of Metal-organic frameworks for high-performance supercapacitors. Coord. Chem. Rev. 2022, 473, 214771. [Google Scholar] [CrossRef]
- Chuhadiya, S.; Himanshu; Suthar, D.; Patel, S.L.; Dhaka, M.S. Metal organic frameworks as hybrid porous materials for energy storage and conversion devices: A review. Coord. Chem. Rev. 2021, 446, 214115. [Google Scholar] [CrossRef]
- Hou, R.; Miao, M.; Wang, Q.; Yue, T.; Liu, H.; Park, H.S.; Qi, K.; Xia, B.Y. Integrated Conductive Hybrid Architecture of Metal-organic Framework Nanowire Array on Polypyrrole Membrane for All-Solid-State Flexible Supercapacitors. Adv. Energy Mater. 2019, 10, 190189. [Google Scholar] [CrossRef]
- Jia, T.; Gu, Y.; Li, F. Progress and potential of metal-organic frameworks (MOFs) for gas storage and separation: A review. J. Environ. Chem. Eng. 2022, 10, 108300. [Google Scholar] [CrossRef]
- Coluccia, M.; Parisse, V.; Guglielmi, P.; Giannini, G.; Secci, D. Metal-organic frameworks (MOFs) as biomolecules drug delivery systems for anticancer purposes. Eur. J. Med. Chem. 2022, 244, 114801. [Google Scholar] [CrossRef]
- Kajal, N.; Singh, V.; Gupta, R.; Gautam, S. Metal organic frameworks for electrochemical sensor applications: A review. Environ. Res. 2021, 204, 112320. [Google Scholar] [CrossRef] [PubMed]
- Zhang, S.; Rong, F.; Guo, C.; Duan, F.; He, L.; Wang, M.; Zhang, Z.; Kang, M.; Du, M. Metal-organic frameworks (MOFs) based electrochemical biosensors for early cancer diagnosis in vitro. Coord. Chem. Rev. 2021, 439, 213948. [Google Scholar] [CrossRef]
- Dang, W.; Sun, Y.; Jiao, H.; Xu, L.; Lin, M. AuNPs-NH2/Cu-MOF modified glassy carbon electrode as enzyme-free electrochemical sensor detecting H2O2. J. Electroanal. Chem. 2020, 856, 113592. [Google Scholar] [CrossRef]
- Wang, Z.; Huang, Y.; Xu, K.; Zhong, Y.; He, C.; Jiang, L.; Sun, J.; Rao, Z.; Zhu, J.; Huang, J.; et al. Natural oxidase-mimicking copper-organic frameworks for targeted identification of ascorbate in sensitive sweat sensing. Nat. Commun. 2023, 14, 1–9. [Google Scholar] [CrossRef]
- Ling, Y.; Chu, Y.-R.; Gao, F.; Feng, Q.-Y.; Xie, H.-Q.; Shao, Y.; Wang, Q.-X. Immunoaffinity-Induced Signal Depression of Cu-MOF-74 for Label-Free Electrochemical Detection of Cardiac Troponin I. J. Phys. Chem. C 2022, 126, 9416–9424. [Google Scholar] [CrossRef]
- Rezki, M.; Septiani, N.L.W.; Iqbal, M.; Harimurti, S.; Sambegoro, P.; Adhika, D.R.; Yuliarto, B. Amine-functionalized Cu-MOF nanospheres towards label-free hepatitis B surface antigen electrochemical immunosensors. J. Mater. Chem. B 2021, 9, 5711–5721. [Google Scholar] [CrossRef]
- Guo, X.; Lin, C.; Zhang, M.; Duan, X.; Dong, X.; Sun, D.; Pan, J.; You, T. 2D/3D Copper-Based Metal-Organic Frameworks for Electrochemical Detection of Hydrogen Peroxide. Front. Chem. 2021, 9, 743637. [Google Scholar] [CrossRef]
- Zhang, D.; Zhang, J.; Zhang, R.; Shi, H.; Guo, Y.; Guo, X.; Li, S.; Yuan, B. 3D porous metal-organic framework as an efficient electrocatalyst for nonenzymatic sensing application. Talanta 2015, 144, 1176–1181. [Google Scholar] [CrossRef] [PubMed]
- Sun, Y.M.; Li, Y.X.; Wang, N.; Xu, Q.Q.; Xu, L.; Lin, M. Copper-based Metal-organic Framework for Non-enzymatic Electrochemical Detection of Glucose. Electroanalysis 2018, 30, 474–478. [Google Scholar] [CrossRef]
- Shen, W.-J.; Zhuo, Y.; Chai, Y.-Q.; Yuan, R. Cu-Based Metal-organic Frameworks as a Catalyst To Construct a Ratiometric Electrochemical Aptasensor for Sensitive Lipopolysaccharide Detection. Anal. Chem. 2015, 87, 11345–11352. [Google Scholar] [CrossRef] [PubMed]
- Zhang, X.; Jiang, Y.; Zhu, M.; Xu, Y.; Guo, Z.; Shi, J.; Han, E.; Zou, X.; Wang, D. Electrochemical DNA sensor for inorganic mercury(II) ion at attomolar level in dairy product using Cu(II)-anchored metal-organic framework as mimetic catalyst. Chem. Eng. J. 2019, 383, 123182. [Google Scholar] [CrossRef]
- Arikan, K.; Burhan, H.; Sahin, E.; Sen, F. A sensitive, fast, selective, and reusable enzyme-free glucose sensor based on monodisperse AuNi alloy nanoparticles on activated carbon support. Chemosphere 2022, 291, 132718. [Google Scholar] [CrossRef]
- Soomro, R.A.; Akyuz, O.P.; Ozturk, R.; Ibupoto, Z.H. Highly sensitive non-enzymatic glucose sensing using gold nanocagesas efficient electrode material. Sens. Actuators B Chem. 2016, 233, 230–236. [Google Scholar] [CrossRef]
- Ye, Y.K.; Yan, W.W.; Liu, Y.Q.; He, S.D.; Cao, X.D.; Xu, X.; Zheng, H.S.; Gunasekaran, S. Electrochemical detection of Salmonella using an invA genosensor on polypyrrole-reduced graphene oxide modified glassy carbon electrode and AuNPs-horseradish peroxidase-streptavidin as nanotag. Anal. Chem. Acta 2019, 1074, 80–88. [Google Scholar] [CrossRef]
- Wang, S.; Deng, W.; Yang, L.; Tan, Y.; Xie, Q.; Yao, S. Copper-Based Metal-Organic Framework Nanoparticles with Peroxidase-Like Activity for Sensitive Colorimetric Detection of Staphylococcus aureus. ACS Appl. Mater. Interfaces 2017, 9, 24440–24445. [Google Scholar] [CrossRef]
- Wu, L.; Lu, Z.W.; Ye, J.S. Enzyme-free glucose sensor based on layer-by-layer electrodeposition of multilayer films of multi-walled carbon nanotubes and Cu-based metal framework modified glassy carbon electrode. Biosens. Bioelectron. 2019, 135, 45–49. [Google Scholar] [CrossRef]
- Wang, X.; Ge, C.-Y.; Chen, K.; Zhang, Y.X. An ultrasensitive non-enzymatic glucose sensors based on controlled petal-like CuO nanostructure. Electrochim. Acta 2018, 259, 225–232. [Google Scholar] [CrossRef]








| DNA Sample | Sequences |
|---|---|
| cDNA | 5′-SH-AGC ATG CCG-3′ |
| tDNA | 5′-CGC TCG TCC GGA CAA CGG CAT GCT-3′ |
| sDNA | 5′-SH-TTG TCC GGA CGA GCG-3′ |
| Mis-1 | 5′-CGC TCG TCC GGA CAA CGG CTT GCT-3′ |
| Mis-2 | 5′-CGC TCG TGC GGA CAA CGG CTT GCT-3′ |
| Mis-3 | 5′-CGC TCG TGC GGA CAA CCG CTT GCT-3′ |
| NC | 5′-ACT AGC CTT CCT TGG GAA GTA CTC-3′ |
| Primer F | 5′-CAT TGG TGA CGC GCA GAC T-3′ |
| Primer R | 5′-TGG ACG GGA TAC CTT TGG-3′ |
| Materials/ Nanomaterials | Analytical Method | Linear Range (CFU mL−1) | Detection Limit (CFU mL−1) | Refs. |
|---|---|---|---|---|
| AuNPs | colorimetric | 7.1 × 103~7.1 × 107 | - | [12] |
| G-rich DNA probes formed DNAzyme | colorimetric | 2~1.2 × 103 | 1.2 | [13] |
| BQDs-AuNPs | i-t | 7.8 × 100~7.8 × 106 | 2.6 | [14] |
| MB-anchored GO | DPV | 1.0 × 102~1.0 × 107 | 73 | [15] |
| G-quadruplex DNAzyme | i-t | 3.84 × 104~2.4 × 107 | 501 | [16] |
| Au@Cu-MOF | DPV | 5.4 × 100~5.4 × 105 | 0.35 | This work |
| Sample | Add (CFU mL−1) | Found (CFU mL−1) | Recovery (%) |
|---|---|---|---|
| 1 | 5.4 × 101 | 57.9 ± 2.1 | 107.3 ± 3.7 |
| 2 | 5.4 × 102 | 572.4 ± 54.8 | 105.9 ± 9.5 |
| 3 | 5.4 × 103 | 4824.7 ± 584 | 87.5 ± 7.6 |
Disclaimer/Publisher’s Note: The statements, opinions and data contained in all publications are solely those of the individual author(s) and contributor(s) and not of MDPI and/or the editor(s). MDPI and/or the editor(s) disclaim responsibility for any injury to people or property resulting from any ideas, methods, instructions or products referred to in the content. |
© 2023 by the authors. Licensee MDPI, Basel, Switzerland. This article is an open access article distributed under the terms and conditions of the Creative Commons Attribution (CC BY) license (https://creativecommons.org/licenses/by/4.0/).
Share and Cite
Zhang, H.; Xu, G.; Chen, Y.; Li, X.; Wang, S.; Jiang, F.; Zhan, P.; Lu, C.; Cao, X.; Ye, Y.; et al. Electrochemical Detection of ompA Gene of C. sakazakii Based on Glucose-Oxidase-Mimicking Nanotags of Gold-Nanoparticles-Doped Copper Metal-organic Frameworks. Sensors 2023, 23, 4396. https://doi.org/10.3390/s23094396
Zhang H, Xu G, Chen Y, Li X, Wang S, Jiang F, Zhan P, Lu C, Cao X, Ye Y, et al. Electrochemical Detection of ompA Gene of C. sakazakii Based on Glucose-Oxidase-Mimicking Nanotags of Gold-Nanoparticles-Doped Copper Metal-organic Frameworks. Sensors. 2023; 23(9):4396. https://doi.org/10.3390/s23094396
Chicago/Turabian StyleZhang, Hongyan, Guiqing Xu, Yuming Chen, Xu Li, Shaopeng Wang, Feihao Jiang, Pengyang Zhan, Chuanfu Lu, Xiaodong Cao, Yongkang Ye, and et al. 2023. "Electrochemical Detection of ompA Gene of C. sakazakii Based on Glucose-Oxidase-Mimicking Nanotags of Gold-Nanoparticles-Doped Copper Metal-organic Frameworks" Sensors 23, no. 9: 4396. https://doi.org/10.3390/s23094396
APA StyleZhang, H., Xu, G., Chen, Y., Li, X., Wang, S., Jiang, F., Zhan, P., Lu, C., Cao, X., Ye, Y., & Tao, Y. (2023). Electrochemical Detection of ompA Gene of C. sakazakii Based on Glucose-Oxidase-Mimicking Nanotags of Gold-Nanoparticles-Doped Copper Metal-organic Frameworks. Sensors, 23(9), 4396. https://doi.org/10.3390/s23094396

