Research on Field Source Characteristics of Leakage Current of Arrester Based on TMR Sensor
Abstract
1. Introduction
2. Design of TMR Leakage Current Sensor
2.1. Magnetic Field Measurement Principle of TMR Sensor
2.2. Design of Magnetic Concentrating Ring Structure
3. Analysis of Electromagnetic Characteristics of the Arrester Simulation Model
3.1. Establishment of Arrester Simulation Model
3.2. The Effect of AC Voltage Amplitude on the Leakage Current of the Arrester
3.3. Electromagnetic Characteristics of Arresters under Moisture
4. Leakage Current Measurement Experiment
4.1. Leakage Current Experiment Platform
4.2. Results and Analysis of the Experiment
4.2.1. Analysis of Leakage Current of Arrester under Different AC Voltages
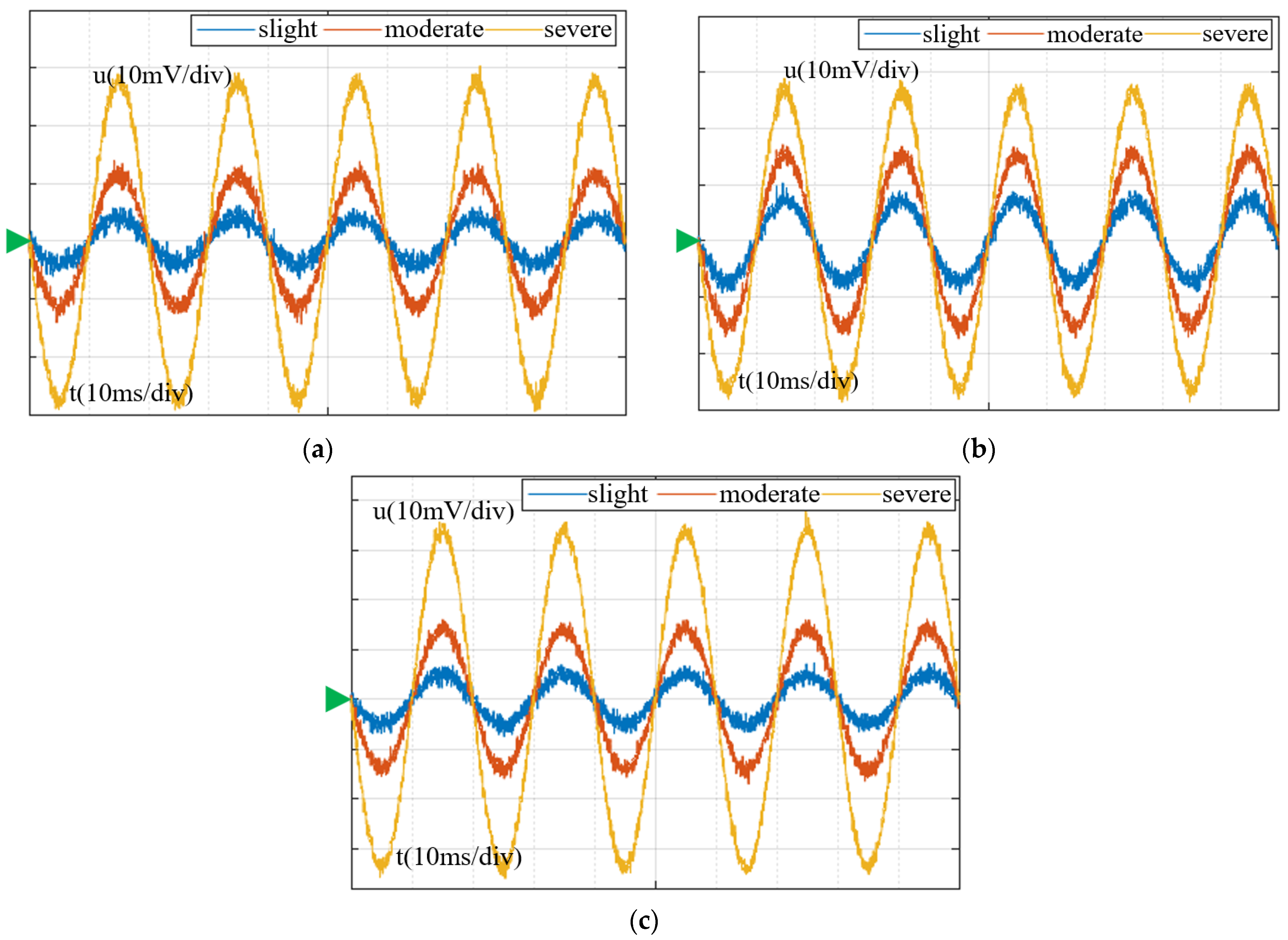
4.2.2. Analysis of Leakage Current of Damp Arrester under Line Rated Phase Voltage
5. Conclusions
Author Contributions
Funding
Institutional Review Board Statement
Informed Consent Statement
Data Availability Statement
Acknowledgments
Conflicts of Interest
References
- Khodsuz, M.; Mirzaie, M. Harmonics ratios of resistive leakage current as metal oxide surge arresters diagnostic tools. Measurement 2015, 70, 148–155. [Google Scholar] [CrossRef]
- Khodsuz, M.; Mirzaie, M.; Seyyedbarzegar, S. Metal oxide surge arrester condition monitoring based on analysis of leakage current components. Int. J. Electr. Power Energy Syst. 2015, 66, 188–193. [Google Scholar] [CrossRef]
- Paplinski, P.; Wankowicz, J. Application of Leakage Current Parameters for Technical Diagnostics of Surge Arresters. Ieee Trans. Dielectr. Electr. Insul. 2016, 23, 3458–3465. [Google Scholar] [CrossRef]
- Voncina, V.; Pihler, J.; Milanovic, M. Extracting the Resistive Current Component from a Surge Arrester’s Leakage Current without Voltage Reference. Sensors 2021, 21, 1257. [Google Scholar] [CrossRef] [PubMed]
- Xu, W.; Sheng, F. Improved method for extracting resistive leakage current of surge protectors. J. Eng. Joe 2019, 2019, 8737–8742. [Google Scholar] [CrossRef]
- Metwally, I.A.; Eladawy, M.; Feilat, E.A. Online Condition Monitoring of Surge Arresters Based on Third-Harmonic Analysis of Leakage Current. IEEE Trans. Dielectr. Electr. Insul. 2017, 24, 2274–2281. [Google Scholar] [CrossRef]
- Goel, N.; Babuta, A.; Kumar, A.; Ganguli, S. Hall effect instruments, evolution, implications, and future prospects. Rev. Sci. Instrum. 2020, 91, 071502. [Google Scholar] [CrossRef] [PubMed]
- Qian, S.; Guo, J.; Huang, H.; Chen, C.; Wang, H.; Li, Y. Measurement of Small-Magnitude Direct Current Mixed With Alternating Current by Tunneling Magnetoresistive Sensor. IEEE Sens. Lett. 2022, 6, 5501004. [Google Scholar] [CrossRef]
- Lei, M.; Peng, T.; Zhou, F.; Yu, J.; Liang, S.; Liu, J.; Li, L. Optimal design and implementation of tunnelling magnetoresistance based small current sensor with temperature compensation. Energy Rep. 2022, 8, 137–146. [Google Scholar] [CrossRef]
- Ge, J.-M.; Shen, Y.; Yu, W.-B.; Han, Y.; Duan, F.-W. Study on the Application of Optical Current Sensor for Lightning Current Measurement of Transmission Line. Sensors 2019, 19, 4110. [Google Scholar] [CrossRef]
- Zhang, Y.; Song, H.; Gao, Q.; Zhong, D.-T.; Sheng, G.-H.; Jiang, X.-C.; Destech Publicat, I. Research on Live Detection Technology of Metal Oxide Surge Arresters. In Proceedings of the International Conference on Electrical Engineering and Automation (ICEEA), Xiamen, China, 18–19 December 2016. [Google Scholar]
- Andrade, A.F.; Costa, E.G.; Fernandes, J.M.B.; Alves, H.M.M.; Amorim Filho, C.R.C. Thermal behaviour analysis in a porcelain-housed ZnO surge arrester by computer simulations and thermography. High Volt. 2019, 4, 173–177. [Google Scholar] [CrossRef]
- Ge, Y.-P.; Xie, Y.-Z.; Liang, T.; Dong, N.; Wu, Y.-Y.; Wang, Y.-B.; Li, Z.-T.; Zhou, Y. A Test Method for Response Behavior of Metal-Oxide Arrester Subjected to Transient Electromagnetic Disturbances. IEEE Trans. Power Deliv. 2022, 37, 4749–4756. [Google Scholar] [CrossRef]
- Zhang, L.; Wang, M.; Zhao, N.; Zhang, L.; Hao, W.; Xue, Y.; Lin, H.; Wang, C.; Song, Y.; Zhang, Q. Analysis on Internal Cavity Invasion Moisture of 220kV Oxide Arrester. In Proceedings of the 4th International Workshop on Materials Engineering and Computer Sciences (IWMECS), Xian, China, 16–17 March 2019; pp. 463–467. [Google Scholar]
- Sun, J.; Ding, F.; Lv, Y.; Ren, J.; Song, S.; Li, T.; Zhi, Q.; Guo, C. Leakage current characteristics and ageing assessment technology of roof arrester under ultra harmonics overvoltage. High Volt. 2022, 7, 346–356. [Google Scholar] [CrossRef]
- Da Silva, D.A.; Lahti, K.; Buontempo, R.C.; Pissolato Filho, J. Aspects of moisture ingress in polymer housed surge arresters. Electr. Power Syst. Res. 2017, 148, 162–170. [Google Scholar] [CrossRef]
- Das, S.; Ghosh, R.; Dalai, S.; Chatterjee, B.; Ieee. Study on The Effect of Moisture Ingression into Metal Oxide Surge Arrester Using Leakage Current Analysis. In Proceedings of the 3rd International Conference on Condition Assessment Techniques in Electrical Systems (CATCON), Rupnagar, India, 16–18 November 2017; pp. 330–334. [Google Scholar]
- Das, A.K.; Dalai, S.; Chatterjee, B. A Novel Approach to Estimate the Quantity of Ingressed Moisture Content Inside Metal Oxide Surge Arrester Using Dielectric Modulus Technique. IEEE Trans. Dielectr. Electr. Insul. 2021, 28, 2178–2185. [Google Scholar] [CrossRef]
- Wang, S.; Ou, Q.; Zhang, Q.; Mao, S.; Dong, X. Research on the electrical performance variation characteristics of internal damp roof arrester of EMU. Energy Rep. 2022, 8, 1028–1037. [Google Scholar] [CrossRef]
- D’Angelo, L.A.M.; Spaeck-Leigsnering, Y.; De Gersem, H. Electroquasistatic quasi-3D finite element simulation of a graded surge arrester. Int. J. Numer. Model. -Electron. Netw. Devices Fields 2020, 33, e2575. [Google Scholar] [CrossRef]
- Guo, J.; Wu, X.; Li, M.; Zhao, Z.; Xu, L. Electrical field distribution of 35KV Igla under polluted and ice-covered situation at power frequency. J. Eng. Joe 2019, 2019, 2445–2447. [Google Scholar] [CrossRef]
- Cai, L.; Yu, W.; Wang, J.; Xu, Z.; Zhou, M.; Fan, Y. Study on the thermal behaviour and non-linear coefficient of the 10 kV ZnO surge arrester. IET Gener. Transm. Distrib. 2020, 14, 5287–5293. [Google Scholar] [CrossRef]
- Spaeck-Leigsnering, Y.; Ruppert, M.G.; Gjonaj, E.; De Gersem, H.; Hinrichsen, V. Simulation Analysis of Critical Parameters for Thermal Stability of Surge Arresters. IEEE Trans. Power Deliv. 2022, 37, 871–879. [Google Scholar] [CrossRef]
- Fan, Y.; Zhang, P.; Shang, B.; Wang, D.; Li, W.a.; Zhuang, D.; Chen, Z.; Zhang, Z.; Wen, W. Thermal Characteristic Simulation Study of Multicolumn Parallel Zinc Oxide Arresters under Extreme Operating Conditions. Electronics 2023, 12, 100. [Google Scholar] [CrossRef]






















| Model | Height (mm) | Component Height (mm) | Creepage Ratio (mm/kV) | The Outer Diameter of Sheds (mm) | Weight (kg) |
|---|---|---|---|---|---|
| Y20W-444/1106 | 6280 | 1880 | ≥31 | Φ430 | 1550 |
| Boundary | Boundary Conditions | Expression |
|---|---|---|
| Air boundary | Magnetic insulation | n × A = 0 |
| Ground | Zero potential | V = 0 |
| Terminal | Operating voltage | V = V0 (frequency) |
| All inner boundaries | Conservation of current |
| Degree of Moisture | Soak Duration (Day) |
|---|---|
| Slight | 5 |
| Moderate | 15 |
| Severe | 30 |
| Experimental Equipment | Model |
|---|---|
| Console | KZT(Z,X)-30/0.5 |
| Transformer | YD1W-30/100 |
| Voltage divider | SGB-50C |
| 10 kV arrester | HY5WR-17/45 |
| Tek oscilloscope | TBS1104 |
| TMR current sensor | TMR2905 |
| Model | Range | Accuracy | Minimum Detectable Current | Size |
|---|---|---|---|---|
| ETCR6300 | 0~60 A | ±1.5% | 0.01 mA | 175 mm × 70 × 38 mm |
| TMR2905 | 0~150 mA | ±1% | 0.01 mA | 116 × 55 × 36 mm |
Disclaimer/Publisher’s Note: The statements, opinions and data contained in all publications are solely those of the individual author(s) and contributor(s) and not of MDPI and/or the editor(s). MDPI and/or the editor(s) disclaim responsibility for any injury to people or property resulting from any ideas, methods, instructions or products referred to in the content. |
© 2023 by the authors. Licensee MDPI, Basel, Switzerland. This article is an open access article distributed under the terms and conditions of the Creative Commons Attribution (CC BY) license (https://creativecommons.org/licenses/by/4.0/).
Share and Cite
Fu, Y.; Li, T.; Li, Y.; Hu, X.; Jiang, X.; Dong, Y.; Zhao, P.; Yu, C.; Wang, J. Research on Field Source Characteristics of Leakage Current of Arrester Based on TMR Sensor. Sensors 2023, 23, 3830. https://doi.org/10.3390/s23083830
Fu Y, Li T, Li Y, Hu X, Jiang X, Dong Y, Zhao P, Yu C, Wang J. Research on Field Source Characteristics of Leakage Current of Arrester Based on TMR Sensor. Sensors. 2023; 23(8):3830. https://doi.org/10.3390/s23083830
Chicago/Turabian StyleFu, Yameng, Tanxiao Li, Yongfu Li, Xiaoxu Hu, Xiping Jiang, Yiran Dong, Pengcheng Zhao, Chuanxiang Yu, and Jingang Wang. 2023. "Research on Field Source Characteristics of Leakage Current of Arrester Based on TMR Sensor" Sensors 23, no. 8: 3830. https://doi.org/10.3390/s23083830
APA StyleFu, Y., Li, T., Li, Y., Hu, X., Jiang, X., Dong, Y., Zhao, P., Yu, C., & Wang, J. (2023). Research on Field Source Characteristics of Leakage Current of Arrester Based on TMR Sensor. Sensors, 23(8), 3830. https://doi.org/10.3390/s23083830

