Nonlinear Deblurring for Low-Light Saturated Image
Abstract
1. Introduction
- We analyze the ringing artifacts caused by estimation errors in the saturation region and introduce a nonlinear function to separate errors in different regions, thereby, reducing the ringing artifacts caused by error-prone estimated saturation regions.
- We propose a unified nonlinear deblurring method within the MAP framework, which can be efficiently solved.
- The proposed method outperforms state-of-the-art methods on both synthetic and real low-light saturated images and is flexible for both natural and saturated images.
2. Related Work
3. The Nonlinear Saturation Deblurring Method
3.1. Motivation of the Nonlinear Model for Saturation
3.1.1. Analysis of Ringing Artifacts
3.1.2. Estimation Error for Different Regions
3.1.3. Rationality of Nonlinear Model for Saturation
3.2. Nonlinear Deblurring with Total Variation
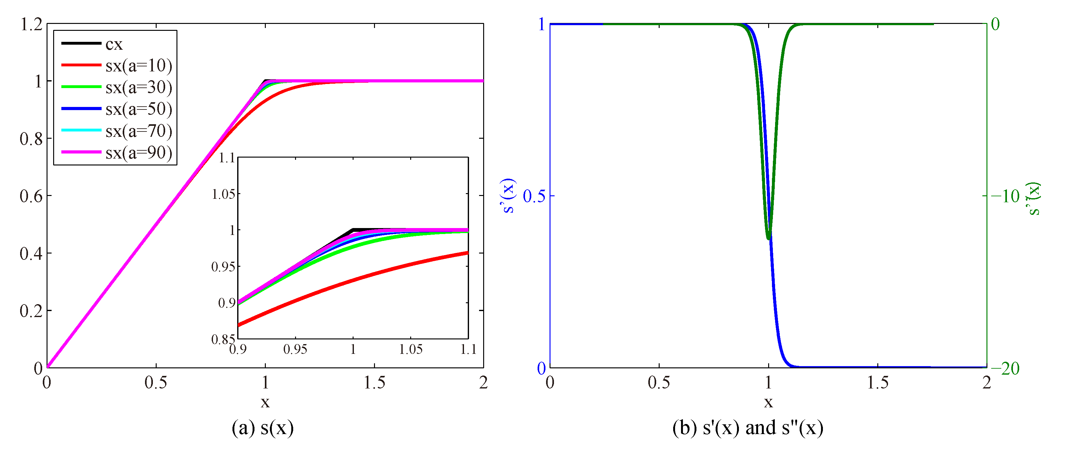
3.2.1. The Clipping Function
3.2.2. The Adaptability of the Approximating Function
3.2.3. The Proposed NLDTV Model
3.3. Numerical Optimization
| Algorithm 1 Solve Subproblem of with the Newton Method |
|
| Algorithm 2 Nonlinear deblurring based on total variation (NLDTV) |
4. Experimental Results
4.1. Experimental Setting
- SOTA learning-based low-light saturated image deblurring methods NBDN [35].
4.2. Non-Blind Deblurring Results
4.2.1. Restoration Results on Simulated Datasets
4.2.2. Robustness to Different Saturation Levels
4.3. Blind Deblurring Results
4.3.1. Combining with Kernel Estimation Method
4.3.2. Deblurring Real-World Image
4.4. Discussion
4.4.1. Effectiveness for the Low-Light Saturated Image Object Detection
4.4.2. The Impact of the Parameters
- The impact of `a’: We performed a sensitivity analysis to investigate the impact of ’a’ on the overall performance of our proposed method, the results are shown in Figure 11a. The line chart of Figure 11a illustrates the variations of PSNR and SSIM values with respect to the parameter ’a’. It is evident from the chart that both PSNR and SSIM are quite robust to changes in the ’a’ parameter. Despite some minor fluctuations in the PSNR and SSIM values, they remain relatively constant throughout the range of ’a’ values. This suggests that the choice of ’a’ has little effect on the performance, and the algorithm is able to produce consistent results across a range of ’a’ values.
- The robustness to : We analyzed the impact of the key regularization parameter on the performance of the proposed algorithm and evaluated the robustness of the algorithm to . The results are shown in the line chart of Figure 11b. From the line chart, it can be observed that there is a certain degree of variation in both PSNR and SSIM values with changes in the lambda parameter; however, the magnitude of these changes is relatively small, indicating that both metrics are quite robust to the lambda parameter. Particularly in the interval where lambda values are greater than 0.001 and less than 0.01, the changes in PSNR and SSIM are relatively small, indicating that lambda has a stable impact on image restoration performance within this range.
4.4.3. Convergence
4.4.4. Effectiveness for Unsaturated Natural Image
4.4.5. Limitations
5. Conclusions
Author Contributions
Funding
Data Availability Statement
Conflicts of Interest
References
- Shan, Q.; Jia, J.; Agarwala, A. High-quality motion deblurring from a single image. ACM Trans. Graph. 2008, 27, 1–10. [Google Scholar]
- Cho, S.; Lee, S. Fast motion deblurring. ACM Trans. Graph. 2009, 28, 145. [Google Scholar] [CrossRef]
- Fergus, R.; Singh, B.; Hertzmann, A.; Roweis, S.T.; Freeman, W.T. Removing camera shake from a single photograph. In ACM Siggraph 2006 Papers; ACM Inc.: New York, NY, USA, 2006; pp. 787–794. [Google Scholar]
- Levin, A.; Weiss, Y.; Durand, F.; Freeman, W.T. Understanding and evaluating blind deconvolution algorithms. Proceedings of IEEE Conference on Computer Vision and Pattern Recognition, Miami, FL, USA, 20–25 June 2009; pp. 1964–1971. [Google Scholar]
- Pan, J.; Sun, D.; Pfister, H.; Yang, M.H. Blind image deblurring using dark channel prior. Proceedings IEEE Conference on Computer Vision and Pattern Recognition, Las Vegas, NV, USA, 27–30 June 2016; pp. 1628–1636. [Google Scholar]
- Perrone, D.; Favaro, P. Total Variation Blind Deconvolution: The Devil Is in the Details. In Proceedings of the IEEE Conference on Computer Vision and Pattern Recognition, Columbus, OH, USA, 23–28 June 2014; pp. 2909–2916. [Google Scholar]
- Xu, L.; Zheng, S.; Jia, J. Unnatural L0 Sparse Representation for Natural Image Deblurring. In Proceedings of the IEEE Conference on Computer Vision and Pattern Recognition, Portland, OR, USA, 23–28 June 2013; pp. 1107–1114. [Google Scholar]
- Gong, D.; Tan, M.; Zhang, Y.; Hengel, A.V.D.; Shi, Q. Blind Image Deconvolution by Automatic Gradient Activation. In Proceedings of the IEEE Conference on Computer Vision and Pattern Recognition, Las Vegas, NV, USA, 27–30 June 2016; pp. 1827–1836. [Google Scholar]
- Xu, L.; Jia, J. Two-phase kernel estimation for robust motion deblurring. In Proceedings of the European Conference on Computer Vision, Crete, Greece, 5–11 September 2010; pp. 157–170. [Google Scholar]
- Harmeling, S.; Sra, S.; Hirsch, M.; Schölkopf, B. Multiframe blind deconvolution, super-resolution, and saturation correction via incremental EM. In Proceedings of the IEEE International Conference on Image Processing, Hong Kong, China, 26–29 September 2010; pp. 3313–3316. [Google Scholar]
- Hirsch, M. Online multi-frame blind deconvolution with super-resolution and saturation correction. Astron. Astrophys. 2011, 531, 1085–1102. [Google Scholar] [CrossRef]
- Cho, S.; Wang, J.; Lee, S. Handling outliers in non-blind image deconvolution. In Proceedings of the International Conference on Computer Vision, Las Palmas, Spain, 20–22 September 2011; pp. 495–502. [Google Scholar]
- Calef, B. Iteratively reweighted blind deconvolution. In Proceedings of the IEEE International Conference on Image Processing, Paris, France, 27–30 October 2014; pp. 1391–1393. [Google Scholar]
- Whyte, O.; Sivic, J.; Zisserman, A. Deblurring shaken and partially saturated images. Int. J. Comput. Vis. 2014, 110, 185–201. [Google Scholar] [CrossRef]
- Liu, H.; Sun, X.; Fang, L.; Wu, F. Deblurring Saturated Night Image With Function-Form Kernel. IEEE Trans. Image Process. 2015, 24, 4637–4650. [Google Scholar] [CrossRef] [PubMed]
- Pan, J.; Lin, Z.; Su, Z.; Yang, M.H. Robust Kernel Estimation with Outliers Handling for Image Deblurring. In Proceedings of the IEEE Conference on Computer Vision and Pattern Recognition, Las Vegas, NV, USA, 27–30 June 2016; pp. 2800–2808. [Google Scholar]
- Dong, J.; Pan, J.; Su, Z.; Yang, M.H. Blind Image Deblurring with Outlier Handling. In Proceedings of the IEEE International Conference on Computer Vision, Venice, Italy, 22–29 October 2017; pp. 2497–2505. [Google Scholar]
- Liu, J.; Yan, M.; Zeng, T. Surface-aware blind image deblurring. IEEE Trans. Pattern Anal. Mach. Intell 2019, 43, 1041–1055. [Google Scholar] [CrossRef] [PubMed]
- Chen, L.; Fang, F.; Zhang, J.; Liu, J.; Zhang, G. Oid: Outlier identifying and discarding in blind image deblurring. In Proceedings of the European Conference on Computer Vision, Glasgow, UK, 23–28 August 2020; pp. 598–613. [Google Scholar]
- Chen, L.; Zhang, J.; Lin, S.; Fang, F.; Ren, J.S. Blind deblurring for saturated images. In Proceedings of the IEEE/CVF Conference on Computer Vision and Pattern Recognition, Online, 19–25 June 2021; pp. 6308–6316. [Google Scholar]
- Zhang, M.; Fang, Y.; Ni, G.; Zeng, T. Pixel Screening Based Intermediate Correction for Blind Deblurring. In Proceedings of the IEEE/CVF Conference on Computer Vision and Pattern Recognition, New Orleans, LA, USA, 18–24 June 2022; pp. 5892–5900. [Google Scholar]
- Hu, Z.; Cho, S.; Wang, J.; Yang, M.H. Deblurring Low-Light Images with Light Streaks. In Proceedings of the IEEE Conference on Computer Vision and Pattern Recognition, Columbus, OH, USA, 23–28 June 2014; pp. 3382–3389. [Google Scholar]
- Krishnan, D.; Tay, T.; Fergus, R. Blind deconvolution using a normalized sparsity measure. In Proceedings of the IEEE Conference on Computer Vision and Pattern Recognition, Colorado Springs, CO, USA, 20–25 June 2011; pp. 233–240. [Google Scholar]
- Cao, S.; Fang, H.; Chen, L.; Zhang, W.; Chang, Y.; Yan, L. Robust blind deblurring under stripe noise for remote sensing images. IEEE Trans. Geosci. Remote Sens. 2022, 60, 1–17. [Google Scholar] [CrossRef]
- Krishnan, D.; Fergus, R. Fast image deconvolution using hyper-Laplacian priors. In Proceedings of the Advances in Neural Information Processing Systems, Vancouver, BC, Canada, 7–8 December 2009; pp. 1033–1041. [Google Scholar]
- Yan, Y.; Ren, W.; Guo, Y.; Wang, R.; Cao, X. Image deblurring via extreme channels prior. In Proceedings of the IEEE Conference on Computer Vision and Pattern Recognition, Honolulu, HI, USA, July 21–26 2017; pp. 4003–4011. [Google Scholar]
- Chen, L.; Fang, F.; Wang, T.; Zhang, G. Blind image deblurring with local maximum gradient prior. In Proceedings of the IEEE Conference on Computer Vision and Pattern Recognition, Long Beach, CA, USA, 15–20 June 2019; pp. 1742–1750. [Google Scholar]
- Bai, Y.; Cheung, G.; Liu, X.; Gao, W. Graph-based blind image deblurring from a single photograph. IEEE Trans. Image Process. 2018, 28, 1404–1418. [Google Scholar] [CrossRef] [PubMed]
- Schuler, C.J.; Hirsch, M.; Harmeling, S.; Schölkopf, B. Learning to deblur. IEEE Trans. Pattern Anal. Mach. Intell. 2015, 38, 1439–1451. [Google Scholar] [CrossRef] [PubMed]
- Chakrabarti, A. A neural approach to blind motion deblurring. In Proceedings of theEuropean Conference on Computer Vision, Amsterdam, The Netherlands, 11–14 October 2016; pp. 221–235. [Google Scholar]
- Tao, X.; Gao, H.; Shen, X.; Wang, J.; Jia, J. Scale-recurrent network for deep image deblurring. In Proceedings of the IEEE Conference on Computer Vision and Pattern Recognition, Salt Lake City, UT, USA, 18–23 June 2018; pp. 8174–8182. [Google Scholar]
- Kupyn, O.; Budzan, V.; Mykhailych, M.; Mishkin, D.; Matas, J. Deblurgan: Blind motion deblurring using conditional adversarial networks. In Proceedings of the IEEE Conference on Computer Vision and Pattern Recognition, Salt Lake City, UT, USA, 18–23 June 2018; pp. 8183–8192. [Google Scholar]
- Kupyn, O.; Martyniuk, T.; Wu, J.; Wang, Z. Deblurgan-v2: Deblurring (orders-of-magnitude) faster and better. In Proceedings of the IEEE International Conference on Computer Vision, Seoul, Republic of Korea, 27 October–2 November 2019; pp. 8878–8887. [Google Scholar]
- Gu, C.; Lu, X.; He, Y.; Zhang, C. Blur removal via blurred-noisy image pair. IEEE Trans. Image Process. 2020, 30, 345–359. [Google Scholar] [CrossRef] [PubMed]
- Chen, M.; Chang, Y.; Cao, S.; Yan, L. Learning blind denoising network for noisy image deblurring. In Proceedings of the IEEE International Conference on Acoustics, Speech and Signal Processing (ICASSP), Barcelona, Spain, 4–8 May 2020; pp. 2533–2537. [Google Scholar]
- Richardson, W.H. Bayesian-Based Iterative Method of Image Restoration. J. Opt. Soc. Am. 1972, 62, 55–59. [Google Scholar] [CrossRef]
- Lucy, L.B. An iterative technique for the rectification of observed distributions. Astron. J. 1974, 79, 745–754. [Google Scholar] [CrossRef]
- Li, W.; Li, Q.; Gong, W.; Tang, S. Total variation blind deconvolution employing split Bregman iteration. J. Vis. Comun. Image Represent. 2012, 23, 409–417. [Google Scholar] [CrossRef]
- Chen, C.; Ng, M.K.; Zhao, X.L. Alternating Direction Method of Multipliers for Nonlinear Image Restoration Problems. IEEE Trans. Image Process. 2015, 24, 33–43. [Google Scholar] [CrossRef] [PubMed]
- Huber, P.J. Robust Statistics; Wiley-Iterscience: Hoboken, NJ, USA, 2011; pp. 1248–1251. [Google Scholar]
- Wang, Y.; Yin, W.; Zhang, Y. A Fast Algorithm for Image Deblurring with Total Variation Regularization; Rice University: Houston, TX, USA, 2007. [Google Scholar]
- Loh, Y.P.; Chan, C.S. Getting to Know Low-light Images with The Exclusively Dark Dataset. Comput. Vis. Image Underst. 2019, 178, 30–42. [Google Scholar] [CrossRef]
- Wang, C.Y.; Bochkovskiy, A.; Liao, H.Y.M. YOLOv7: Trainable bag-of-freebies sets new state-of-the-art for real-time object detectors. arXiv 2022, arXiv:2207.02696. [Google Scholar] [CrossRef]
- Pan, J.; Hu, Z.; Su, Z.; Yang, M.H. L0-Regularized Intensity and Gradient Prior for Deblurring Text Images and Beyond. IEEE Trans. Pattern Anal. Mach. Intell. 2017, 39, 342–355. [Google Scholar] [CrossRef] [PubMed]













| Index | Blurred | RGTV [28] | DCP [5] | Whyte [14] | Chen [19] | NBDN [35] | NLDTV |
|---|---|---|---|---|---|---|---|
| PSNR ↑ | 19.13 | 20.23 | 20.09 | 21.30 | 24.24 | 23.52 | 24.46 |
| SSIM ↑ | 0.6668 | 0.7287 | 0.7401 | 0.7486 | 0.8048 | 0.7777 | 0.8124 |
| BRISQUE ↓ | 48.88 | 39.94 | 43.85 | 39.43 | 25.70 | 27.25 | 24.09 |
| Objects | Clean | Blurry | NLDTV |
|---|---|---|---|
| Car | (0.76, 0.68, 0.62) | (0, 0, 0.41) | (0.76, 0.68, 0.48) |
| Person | (0.88, 0.84, 0.78) | (0, 0.54, 0) | (0.76, 0.68, 0.54) |
Disclaimer/Publisher’s Note: The statements, opinions and data contained in all publications are solely those of the individual author(s) and contributor(s) and not of MDPI and/or the editor(s). MDPI and/or the editor(s) disclaim responsibility for any injury to people or property resulting from any ideas, methods, instructions or products referred to in the content. |
© 2023 by the authors. Licensee MDPI, Basel, Switzerland. This article is an open access article distributed under the terms and conditions of the Creative Commons Attribution (CC BY) license (https://creativecommons.org/licenses/by/4.0/).
Share and Cite
Cao, S.; Chang, Y.; Xu, S.; Fang, H.; Yan, L. Nonlinear Deblurring for Low-Light Saturated Image. Sensors 2023, 23, 3784. https://doi.org/10.3390/s23083784
Cao S, Chang Y, Xu S, Fang H, Yan L. Nonlinear Deblurring for Low-Light Saturated Image. Sensors. 2023; 23(8):3784. https://doi.org/10.3390/s23083784
Chicago/Turabian StyleCao, Shuning, Yi Chang, Shengqi Xu, Houzhang Fang, and Luxin Yan. 2023. "Nonlinear Deblurring for Low-Light Saturated Image" Sensors 23, no. 8: 3784. https://doi.org/10.3390/s23083784
APA StyleCao, S., Chang, Y., Xu, S., Fang, H., & Yan, L. (2023). Nonlinear Deblurring for Low-Light Saturated Image. Sensors, 23(8), 3784. https://doi.org/10.3390/s23083784

