Parabolic-Index Ring-Core Fiber Supporting High-Purity Orbital Angular Momentum Modes
Abstract
1. Introduction
2. Concept and Fiber Structure
2.1. Fiber Structure
2.2. Fabrication Feasibility of the GIRCF
2.3. OAM Modes Supported in the GIRCF
3. OAM Mode Properties
3.1. Intensity and Phase Distributions
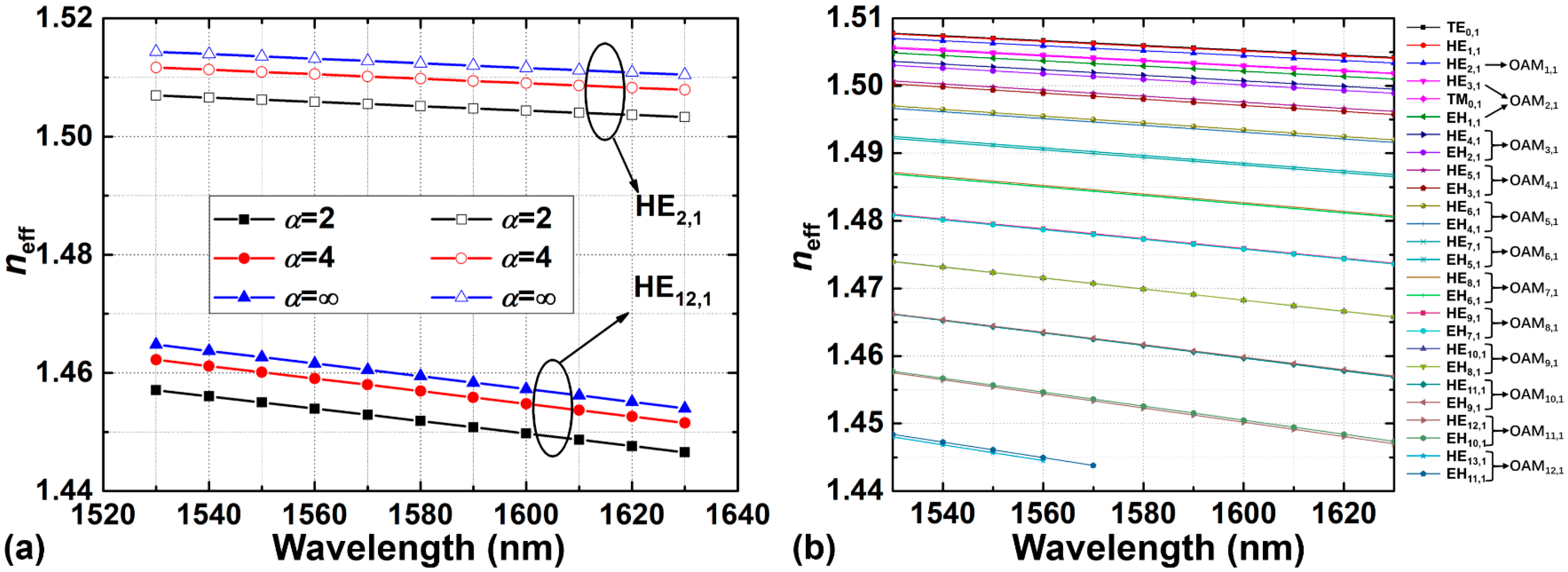
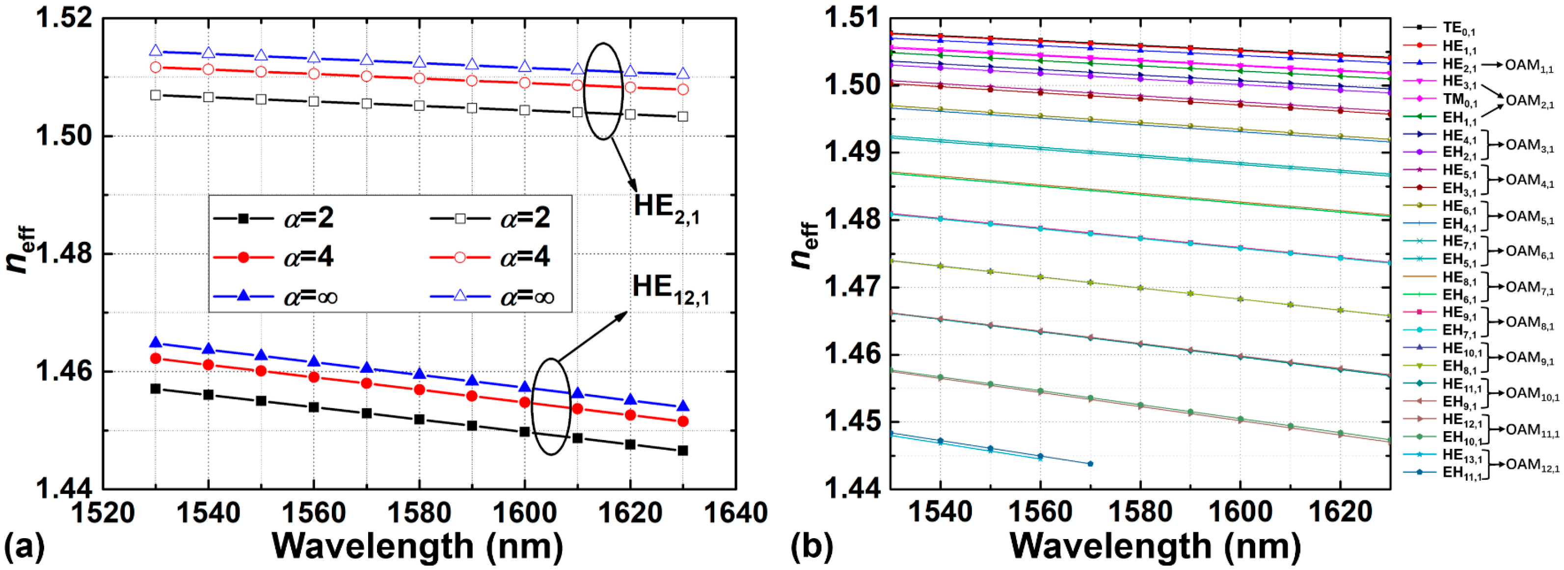
3.2. Supported OAM Mode Number and the Effective Refractive Indices
3.3. Effective Mode Field Area (Aeff) of the OAM Modes
3.4. Mode Purity
4. Conclusions and Perspective
Author Contributions
Funding
Institutional Review Board Statement
Informed Consent Statement
Data Availability Statement
Conflicts of Interest
References
- Li, G.F.; Bai, N.; Zhao, N.B.; Xia, C. Space-division multiplexing: The next frontier in optical communication. Adv. Opt. Photonics 2014, 6, 413–487. [Google Scholar] [CrossRef]
- Wang, A.; Zhu, L.; Liu, J.; Du, C.; Mo, Q.; Wang, J. Demonstration of hybrid orbital angular momentum multiplexing and time-division multiplexing passive optical network. Opt. Express 2015, 23, 29457–29466. [Google Scholar] [CrossRef] [PubMed]
- Willner, A.E.; Pang, K.; Song, H.; Zou, K.; Zhou, H. Orbital angular momentum of light for communications. Appl. Phys. Rev. 2021, 8, 041312. [Google Scholar] [CrossRef]
- Murshid, S.; Grossman, B.; Narakorn, P. Spatial domain multiplexing: A new dimension in fiber optic multiplexing. Opt. Laser Technol. 2008, 40, 1030–1036. [Google Scholar] [CrossRef]
- Nelson, L.E.; Nielsen, T.N.; Kogelnik, H. Observation of PMD-induced coherent crosstalk in polarization-multiplexed transmission. IEEE Photon. Technol. Lett. 2001, 13, 738–740. [Google Scholar] [CrossRef]
- Richardson, D.J.; Fini, J.M.; Nelson, L.E. Space-division multiplexing in optical fibres. Nat. Photonics 2013, 7, 354–362. [Google Scholar] [CrossRef]
- Kingsta, R.M.; Selvakumari, R.S. A review on coupled and uncoupled multicore fibers for future ultra-high capacity optical communication. Optik 2019, 199, 163341. [Google Scholar] [CrossRef]
- Saitoh, K.; Matsuo, S. Multicore Fiber Technology. J. Light. Technol. 2016, 34, 55–66. [Google Scholar] [CrossRef]
- Saitoh, K.; Matsuo, S. Multicore fibers for large capacity transmission. Nanophotonics 2013, 2, 441–454. [Google Scholar] [CrossRef]
- Rademacher, G.; Luis, R.S.; Puttnam, B.J.; Eriksson, T.A.; Ryf, R.; Agrell, E.; Maruyama, R.; Aikawa, K.; Awaji, Y.; Furukawa, H.; et al. High Capacity Transmission With Few-Mode Fibers. J. Lightwave Technol. 2019, 37, 425–432. [Google Scholar] [CrossRef]
- Wakayama, Y.; Soma, D.; Beppu, S.; Sumita, S.; Igarashi, K.; Tsuritani, T. 266.1-Tbit/s Transmission Over 90.4-km 6-Mode Fiber with Inline Dual C+L-Band 6-Mode EDFA. J. Lightwave Technol. 2019, 37, 404–410. [Google Scholar] [CrossRef]
- Xavier, G.B.; Lima, G. Quantum information processing with space-division multiplexing optical fibres. Commun. Phys. 2020, 3, 9. [Google Scholar] [CrossRef]
- Feng, F.; Jin, X.; O’Brien, D.; Payne, F.; Jung, Y.; Kang, Q.; Barna, P.; Sahu, J.K.; Alam, S.-U.; Richardson, D.J.; et al. All-optical mode-group multiplexed transmission over a graded-index ring-core fiber with single radial mode. Opt. Express 2017, 25, 13773–13781. [Google Scholar] [CrossRef] [PubMed]
- Milione, G.; Ip, E.; Ji, P.; Huang, Y.-K.; Wang, T.; Li, M.-J.; Stone, J.; Peng, G. MIMO-less Space Division Multiplexing with Elliptical Core Optical Fibers. In Proceedings of the Optical Fiber Communications Conference and Exhibition (OFC), Los Angeles, CA, USA, 19–23 March 2017. [Google Scholar]
- Zhang, J.; Zhu, G.; Liu, J.; Wu, X.; Zhu, J.; Du, C.; Luo, W.; Chen, Y.; Yu, S. Orbital-angular-momentum mode-group multiplexed transmission over a graded-index ring-core fiber based on receive diversity and maximal ratio combining. Opt. Express 2018, 26, 4243–4257. [Google Scholar] [CrossRef]
- Zhang, X.I.; Chen, S.H.I.; Wang, J.I.A.N. Weakly guiding graded-index ring-core fiber supporting 16-channel long distance mode division multiplexing systems based on OAM modes with low MIMO-DSP complexity. Opt. Express 2022, 30, 35828–35839. [Google Scholar] [CrossRef]
- Liang, J.; Mo, Q.; Fu, S.; Tang, M.; Shum, P.; Liu, D. Design and fabrication of elliptical-core few-mode fiber for MIMO-less data transmission. Opt. Lett. 2016, 41, 3058–3061. [Google Scholar] [CrossRef]
- Ingerslev, K.; Gregg, P.; Galili, M.; Da Ros, F.; Hu, H.; Bao, F.; Castaneda, M.A.U.; Kristensen, P.; Rubano, A.; Marrucci, L. 12 mode, WDM, MIMO-free orbital angular momentum transmission. Opt. Express 2018, 26, 20225–20232. [Google Scholar] [CrossRef]
- Zhang, J.; Liu, J.; Shen, L.; Zhang, L.; Luo, J.; Liu, J.; Yu, S. Mode-division multiplexed transmission of wavelength-division multiplexing signals over a 100-km single-span orbital angular momentum fiber. Photonics Res. 2020, 8, 1236–1242. [Google Scholar] [CrossRef]
- Bozinovic, N.; Yue, Y.; Ren, Y.; Tur, M.; Kristensen, P.; Huang, H.; Willner, A.E.; Ramachandran, S. Terabit-Scale Orbital Angular Momentum Mode Division Multiplexing in Fibers. Science 2013, 340, 1545–1548. [Google Scholar] [CrossRef]
- Allen, L.; Beijersbergen, M.W.; Spreeuw, R.J.; Woerdman, J.P. Orbital angular momentum of light and the transformation of Laguerre-Gaussian laser modes. Phys. Rev. A 1992, 45, 8185–8189. [Google Scholar] [CrossRef]
- Yue, Y.; Yan, Y.; Ahmed, N.; Yang, J.-Y.; Zhang, L.; Ren, Y.; Huang, H.; Birnbaum, K.M.; Erkmen, B.I.; Dolinar, S. Mode properties and propagation effects of optical orbital angular momentum (OAM) modes in a ring fiber. IEEE Photon. J. 2012, 4, 535–543. [Google Scholar]
- Willner, A.E.; Huang, H.; Yan, Y.; Ren, Y.; Ahmed, N.; Xie, G.; Bao, C.; Li, L.; Cao, Y.; Zhao, Z. Optical communications using orbital angular momentum beams. Adv. Opt. Photonics 2015, 7, 66–106. [Google Scholar] [CrossRef]
- Lian, Y.; Yu, Y.; Han, S.; Luan, N.; Wang, Y.; Lu, Z. OAM beams generation technology in optical fiber: A review. IEEE Sens. J. 2022, 22, 3828–3843. [Google Scholar] [CrossRef]
- Wang, J.; Chen, S.; Liu, J. Orbital angular momentum communications based on standard multi-mode fiber. APL Photonics 2021, 6, 060804. [Google Scholar] [CrossRef]
- Wang, J.; Yang, J.-Y.; Fazal, I.M.; Ahmed, N.; Yan, Y.; Huang, H.; Ren, Y.; Yue, Y.; Dolinar, S.; Tur, M.; et al. Terabit free-space data transmission employing orbital angular momentum multiplexing. Nat. Photonics 2012, 6, 488–496. [Google Scholar] [CrossRef]
- Brunet, C.; Rusch, L.A. Optical fibers for the transmission of orbital angular momentum modes. Opt. Fiber Technol. 2017, 35, 2–7. [Google Scholar] [CrossRef]
- Brunet, C.; Ung, B.; Wang, L.; Messaddeq, Y.; LaRochelle, S.; Rusch, L.A. Design of a family of ring-core fibers for OAM transmission studies. Opt. Express 2015, 23, 10553–10563. [Google Scholar] [CrossRef]
- Ramachandran, S.; Kristensen, P.; Yan, M.F. Generation and propagation of radially polarized beams in optical fibers. Opt. Lett. 2009, 34, 2525–2527. [Google Scholar] [CrossRef]
- Brunet, C.; Vaity, P.; Messaddeq, Y.; LaRochelle, S.; Rusch, L.A. Design, fabrication and validation of an OAM fiber supporting 36 states. Opt. Express 2014, 22, 26117–26127. [Google Scholar] [CrossRef]
- Gregg, P.; Kristensen, P.; Ramachandran, S. Conservation of orbital angular momentum in air-core optical fibers. Optica 2015, 2, 267–270. [Google Scholar] [CrossRef]
- Wang, L.; Corsi, A.; Rusch, L.A.; LaRochelle, S. Investigation of Orbital Angular Momentum Mode Purity in Air-Core Optical Fibers. In Proceedings of the IEEE Photonics Society Summer Topical Meeting Series (SUM), Newport Beach, CA, USA, 11–13 July 2016; pp. 203–204. [Google Scholar]
- Zhang, Z.; Gan, J.; Heng, X.; Wu, Y.; Li, Q.; Qian, Q.; Chen, D.; Yang, Z. Optical fiber design with orbital angular momentum light purity higher than 99.9%. Opt. Express 2015, 23, 29331–29341. [Google Scholar] [CrossRef] [PubMed]
- Golowich, S. Asymptotic theory of strong spin-orbit coupling in optical fiber. Opt. Lett. 2014, 39, 92–95. [Google Scholar] [CrossRef] [PubMed]
- Guerra, G.; Lonardi, M.; Galtarossa, A.; Rusch, L.A.; Bononi, A.; Palmieri, L. Analysis of modal coupling due to birefringence and ellipticity in strongly guiding ring-core OAM fibers. Opt. Express 2019, 27, 8308–8326. [Google Scholar] [CrossRef] [PubMed]
- Lu, Q.; Tu, J.; Wang, Z.; Gao, S.; Zhou, J.; Xiao, Q.; Shen, L.; Lan, X.; Liu, W.; Li, Z. Spin-orbit coupling suppressed high-capacity dual-step-index ring-core OAM fiber. Opt. Lett. 2022, 47, 1141–1144. [Google Scholar] [CrossRef]
- Rjeb, A.; Ragheb, A.M.; Esmail, M.A.; Fathallah, H.; Machhout, M.; Alshebeili, S.A. Reciprocal Inverse Graded Index Fiber (R-IGIF) for OAM-SDM Networks. IEEE Photon. J. 2022, 14, 7249211. [Google Scholar] [CrossRef]
- Zhang, X.; Ma, Q.; He, W.; Hong, W.; Deng, Z. Graded ring-core photonic crystal fiber for the transmission of OAM modes with high mode purity and quality in C plus L bands. Opt. Commun. 2022, 520, 128486. [Google Scholar] [CrossRef]
- Prajapati, Y.K.; Srivastava, V.K.; Singh, V.; Saini, J.P. Effect of germanium doping on the performance of silica based photonic crystal fiber. Optik 2018, 155, 149–156. [Google Scholar] [CrossRef]
- Fleming, J.W. Dispersion in GeO2–SiO2 glasses. Appl. Opt. 1984, 23, 4486–4493. [Google Scholar] [CrossRef]
- Doerr, C.R.; Fontaine, N.; Hirano, M.; Sasaki, T.; Buhl, L.; Winzer, P. Silicon photonic integrated circuit for coupling to a ring-core multimode fiber for space-division multiplexing. In Proceedings of the European Conference and Exposition on Optical Communications, Geneva, Switzerland, 18–22 September 2011; p. Th.13.A.3. [Google Scholar]
- Wang, L.; Ruan, Z.; Wang, H.; Shen, L.; Zhang, L.; Luo, J.; Wang, J. Deep learning based recognition of different mode bases in ring-core fiber. Laser Photonics Rev. 2020, 14, 2000249. [Google Scholar] [CrossRef]
- Ge, D.; Gao, Y.; Yang, Y.; Shen, L.; Li, Z.; Chen, Z.; He, Y.; Li, J. A 6-LP-mode ultralow-modal-crosstalk double-ring-core FMF for weakly-coupled MDM transmission. Opt. Commun. 2019, 451, 97–103. [Google Scholar] [CrossRef]
- Zuo, M.; Ge, D.; Gao, Y.; Cui, J.; Huang, S.; Zhou, R.; Guo, Q.; Zhang, Y.; Zhang, D.; Xiao, X.; et al. In 3-Mode Real-Time MDM Transmission Using Single-Mode OTN Transceivers over 300 km Weakly-Coupled FMF. In Proceedings of the Optical Fiber Communication Conference (OFC), San Diego, CA, USA, 6–10 March 2022; p. M4B.4. [Google Scholar]
- Deroh, M.; Kibler, B.; Maillotte, H.; Sylvestre, T.; Beugnot, J.-C. Large Brillouin gain in Germania-doped core optical fibers up to a 98 mol% doping level. Opt. Lett. 2018, 43, 4005–4008. [Google Scholar] [CrossRef] [PubMed]
- Dianov, E.A.; Mashinsky, V.A. Germania-based core optical fibers. J. Light. Technol. 2005, 23, 3500–3508. [Google Scholar] [CrossRef]
- Sakaguchi, S.; Todoroki, S. Optical properties of GeO2 glass and optical fibers. Appl. Opt. 1997, 36, 6809–6814. [Google Scholar] [CrossRef] [PubMed]
- Wang, Y.; Liu, Y.; Zhao, W.; Yang, J.; Geng, W.; Fang, Y.; Bao, C.; Ren, Y.; Wang, Z.; Liu, Y.-g.; et al. Multi-Ring-Air-Core Fiber Supporting Numerous Radially Fundamental OAM Modes. J. Light. Technol. 2022, 40, 4420–4428. [Google Scholar] [CrossRef]
- Wang, W.; Xu, H.-D.; Yang, Q.-H.; Zhou, F.-D.; Li, Z.-R.; Han, Y.; Qi, Y.-F.; Hou, L.-T. Large mode area microstructured fiber supporting 56 super-OAM modes. Opt. Express 2019, 27, 27991–28008. [Google Scholar] [CrossRef]
- Afshar, S.; Monro, T.M. A full vectorial model for pulse propagation in emerging waveguides with subwavelength structures part I: Kerr nonlinearity. Opt. Express 2009, 17, 2298–2318. [Google Scholar] [CrossRef]
- Yue, Y.; Zhang, L.; Wang, J.; Xiao-Li, Y.; Shamee, B.; Karagodsky, V.; Sedgwick, F.G.; Hofmann, W.; Beausoleil, R.G.; Chang-Hasnain, C.J. A “linear” high-contrast gratings hollow-core waveguide and its system level performance. In Proceedings of the Optical Fiber Communication Conference (OFC), San Diego, CA, USA, 21–25 March 2010; p. OTuI5. [Google Scholar]
- Gregg, P.; Kristensen, P.; Rubano, A.; Golowich, S.; Marrucci, L.; Ramachandran, S. Enhanced spin orbit interaction of light in highly confining optical fibers for mode division multiplexing. Nat. Commun. 2019, 10, 4707. [Google Scholar] [CrossRef]









Disclaimer/Publisher’s Note: The statements, opinions and data contained in all publications are solely those of the individual author(s) and contributor(s) and not of MDPI and/or the editor(s). MDPI and/or the editor(s) disclaim responsibility for any injury to people or property resulting from any ideas, methods, instructions or products referred to in the content. |
© 2023 by the authors. Licensee MDPI, Basel, Switzerland. This article is an open access article distributed under the terms and conditions of the Creative Commons Attribution (CC BY) license (https://creativecommons.org/licenses/by/4.0/).
Share and Cite
Liu, Y.; Wang, Y.; Geng, W.; Zhao, W.; Zhang, H.; Zhang, W.; Pan, Z.; Yue, Y. Parabolic-Index Ring-Core Fiber Supporting High-Purity Orbital Angular Momentum Modes. Sensors 2023, 23, 3641. https://doi.org/10.3390/s23073641
Liu Y, Wang Y, Geng W, Zhao W, Zhang H, Zhang W, Pan Z, Yue Y. Parabolic-Index Ring-Core Fiber Supporting High-Purity Orbital Angular Momentum Modes. Sensors. 2023; 23(7):3641. https://doi.org/10.3390/s23073641
Chicago/Turabian StyleLiu, Yuanpeng, Yingning Wang, Wenpu Geng, Wenqian Zhao, Hao Zhang, Weigang Zhang, Zhongqi Pan, and Yang Yue. 2023. "Parabolic-Index Ring-Core Fiber Supporting High-Purity Orbital Angular Momentum Modes" Sensors 23, no. 7: 3641. https://doi.org/10.3390/s23073641
APA StyleLiu, Y., Wang, Y., Geng, W., Zhao, W., Zhang, H., Zhang, W., Pan, Z., & Yue, Y. (2023). Parabolic-Index Ring-Core Fiber Supporting High-Purity Orbital Angular Momentum Modes. Sensors, 23(7), 3641. https://doi.org/10.3390/s23073641

