Carbon Fiber Paper Sensor for Determination of Trimethoprim Antibiotic in Fish Samples
Abstract
1. Introduction
2. Materials and Methods
2.1. Materials, Reagents, and Solutions
2.2. Instrumentation and Electrochemical Measurements
2.3. Real Sample Preparation and Analysis
3. Results and Discussion
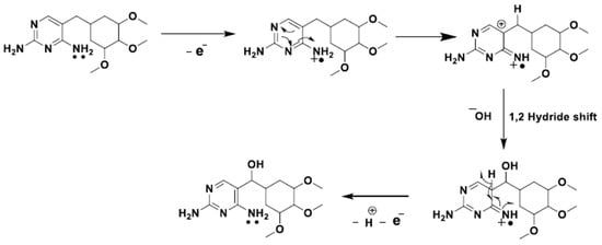
3.1. Electrochemical Behavior of Trimethoprim
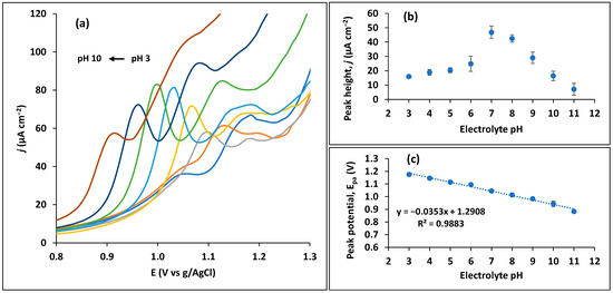
3.2. Optimization of Analytical Conditions
3.3. Analysis of Trimethoprim
3.4. Real Sample
4. Conclusions
Supplementary Materials
Author Contributions
Funding
Institutional Review Board Statement
Informed Consent Statement
Data Availability Statement
Acknowledgments
Conflicts of Interest
References
- FAO. Towards Blue Transformation. In The State of World Fisheries and Aquaculture 2022; FAO: Rome, Italy, 2022. [Google Scholar]
- United Nations Department of Economic and Social Affairs, Population Division. World Population Prospects 2022; Summary of Results; United Nations Department of Economic and Social Affairs, Population Division: New York, NY, USA, 2022. [Google Scholar]
- United Nations World Water Assessment Programme (WWAP). Wastewater: The Untapped Resource. The United Nations World Water Development Report 2017; UNESCO: Paris, France, 2017. [Google Scholar]
- Ebele, A.J.; Abou-Elwafa Abdallah, M.; Harrad, S. Pharmaceuticals and personal care products (PPCPs) in the freshwater aquatic environment. Emerg. Contam. 2017, 3, 1–16. [Google Scholar] [CrossRef]
- Miller, T.H.; Bury, N.R.; Owen, S.F.; MacRae, J.I.; Barron, L.P. A review of the pharmaceutical exposome in aquatic fauna. Environ. Pollut. 2018, 239, 129–146. [Google Scholar] [CrossRef] [PubMed]
- Yang, Y.; Ok, Y.S.; Kim, K.-H.; Kwon, E.E.; Tsang, Y.F. Occurrences and removal of pharmaceuticals and personal care products (PPCPs) in drinking water and water/sewage treatment plants: A review. Sci. Total Environ. 2017, 596–597, 303–320. [Google Scholar] [CrossRef]
- Jurado, A.; Vàzquez-Suñé, E.; Carrera, J.; López de Alda, M.; Pujades, E.; Barceló, D. Emerging organic contaminants in groundwater in Spain: A review of sources, recent occurrence and fate in a European context. Sci. Total Environ. 2012, 440, 82–94. [Google Scholar] [CrossRef] [PubMed]
- Fekadu, S.; Alemayehu, E.; Dewil, R.; Van der Bruggen, B. Pharmaceuticals in freshwater aquatic environments: A comparison of the African and European challenge. Sci. Total Environ. 2019, 654, 324–337. [Google Scholar] [CrossRef]
- Ranjan, N.; Singh, P.K.; Maurya, N.S. Pharmaceuticals in water as emerging pollutants for river health: A critical review under Indian conditions. Ecotoxicol. Environ. Saf. 2022, 247, 114220. [Google Scholar] [CrossRef]
- Haenni, M.; Dagot, C.; Chesneau, O.; Bibbal, D.; Labanowski, J.; Vialette, M.; Bouchard, D.; Martin-Laurent, F.; Calsat, L.; Nazaret, S.; et al. Environmental contamination in a high-income country (France) by antibiotics, antibiotic-resistant bacteria, and antibiotic resistance genes: Status and possible causes. Environ. Int. 2022, 159, 107047. [Google Scholar] [CrossRef]
- Anh, H.Q.; Le, T.P.Q.; Da Le, N.; Lu, X.X.; Duong, T.T.; Garnier, J.; Rochelle-Newall, E.; Zhang, S.; Oh, N.-H.; Oeurng, C.; et al. Antibiotics in surface water of East and Southeast Asian countries: A focused review on contamination status, pollution sources, potential risks, and future perspectives. Sci. Total Environ. 2021, 764, 142865. [Google Scholar] [CrossRef]
- Cheng, D.; Ngo, H.H.; Guo, W.; Chang, S.W.; Nguyen, D.D.; Liu, Y.; Wei, Q.; Wei, D. A critical review on antibiotics and hormones in swine wastewater: Water pollution problems and control approaches. J. Hazard. Mater. 2020, 387, 121682. [Google Scholar] [CrossRef]
- Wang, J.; Chu, L.; Wojnárovits, L.; Takács, E. Occurrence and fate of antibiotics, antibiotic resistant genes (ARGs) and antibiotic resistant bacteria (ARB) in municipal wastewater treatment plant: An overview. Sci. Total Environ. 2020, 744, 140997. [Google Scholar] [CrossRef]
- Kane, S.P. The Top 300 of 2020, ClinCalc DrugStats Database, Version 2022.08. Available online: https://clincalc.com/DrugStats/Top300Drugs.aspx (accessed on 3 January 2022).
- European Commission. Commission implementing decision (EU) 2020/1161MMISSION IMPLEMENTING DECISION (EU) 2020/1161 of 4 August 2020 establishing a watch list of substances for Union-wide monitoring in the field of water policy pursuant to Directive 2008/105/EC of the European Parliament and of the Council. Off. J. Eur. Union 2020, L257, 32–35. [Google Scholar]
- Zamarchi, F.; Silva, T.R.; Winiarski, J.P.; Santana, E.R.; Vieira, I.C. Polyethylenimine-Based Electrochemical Sensor for the Determination of Caffeic Acid in Aromatic Herbs. Chemosensors 2022, 10, 357. [Google Scholar] [CrossRef]
- Martins, E.C.; Santana, E.R.; Spinelli, A. Nitrogen and sulfur co-doped graphene quantum dot-modified electrode for monitoring of multivitamins in energy drinks. Talanta 2023, 252, 123836. [Google Scholar] [CrossRef] [PubMed]
- Niu, B.; Yang, S.; Yang, Y.; Hua, T. Highly conductive fiber with design of dual conductive Ag/CB layers for ultrasensitive and wide-range strain sensing. SmartMat 2023, e1178. [Google Scholar] [CrossRef]
- Wang, Q.; Xue, Q.; Chen, T.; Li, J.; Liu, Y.; Shan, X.; Liu, F.; Jia, J. Recent advances in electrochemical sensors for antibiotics and their applications. Chin. Chem. Lett. 2021, 32, 609–619. [Google Scholar] [CrossRef]
- Yang, Z.; Zhang, X.; Guo, J. Functionalized Carbon-Based Electrochemical Sensors for Food and Alcoholic Beverage Safety. Appl. Sci. 2022, 12, 9082. [Google Scholar] [CrossRef]
- Torrinha, Á.; Morais, S. Electrochemical (bio)sensors based on carbon cloth and carbon paper: An overview. TrAC Trends Anal. Chem. 2021, 142, 116324. [Google Scholar] [CrossRef]
- Rajith, L.; Kumar, K.G. Electroanalysis of trimethoprim on metalloporphyrin incorporated glassy carbon electrode. Drug Test. Anal. 2010, 2, 436–441. [Google Scholar] [CrossRef] [PubMed]
- da Silva, H.; Pacheco, J.G.; McS Magalhães, J.; Viswanathan, S.; Delerue-Matos, C. MIP-graphene-modified glassy carbon electrode for the determination of trimethoprim. Biosens. Bioelectron. 2014, 52, 56–61. [Google Scholar] [CrossRef]
- Golinelli, D.L.C.; Machado, S.A.S.; Cesarino, I. Synthesis of Silver Nanoparticle-Graphene Composites for Electroanalysis Applications using Chemical and Electrochemical Methods. Electroanalysis 2017, 29, 1014–1021. [Google Scholar] [CrossRef]
- Bhengo, T.; Moyo, M.; Shumba, M.; Okonkwo, O.J. Simultaneous oxidative determination of antibacterial drugs in aqueous solutions using an electrode modified with MWCNTs decorated with Fe3O4 nanoparticles. New J. Chem. 2018, 42, 5014–5023. [Google Scholar] [CrossRef]
- Guaraldo, T.T.; Goulart, L.A.; Moraes, F.C.; Lanza, M.R.V. Carbon black nanospheres modified with Cu (II)-phthalocyanine for electrochemical determination of Trimethoprim antibiotic. Appl. Surf. Sci. 2019, 470, 555–564. [Google Scholar] [CrossRef]
- Khanfar, M.F.; Abu-Nameh, E.S.; Saket, M.M.; Al Khateeb, L.T.; Al Ahmad, A.; Asaad, Z.; Salem, Z.; Alnuman, N. Detection of Hydrochlorothiazide, Sulfamethoxazole, and Trimethoprim at Metal Oxide Modified Glassy Carbon Electrodes. Int. J. Electrochem. Sci 2020, 15, 1771–1787. [Google Scholar] [CrossRef]
- Yue, X.; Li, Z.; Zhao, S. A new electrochemical sensor for simultaneous detection of sulfamethoxazole and trimethoprim antibiotics based on graphene and ZnO nanorods modified glassy carbon electrode. Microchem. J. 2020, 159, 105440. [Google Scholar] [CrossRef]
- Andrade, L.S.; de Moraes, M.C.; Rocha-Filho, R.C.; Fatibello-Filho, O.; Cass, Q.B. A multidimensional high performance liquid chromatography method coupled with amperometric detection using a boron-doped diamond electrode for the simultaneous determination of sulfamethoxazole and trimethoprim in bovine milk. Anal. Chim. Acta 2009, 654, 127–132. [Google Scholar] [CrossRef] [PubMed]
- Andrade, L.S.; Rocha-Filho, R.C.; Cass, Q.B.; Fatibello-Filho, O. Simultaneous Differential Pulse Voltammetric Determination of Sulfamethoxazole and Trimethoprim on a Boron-Doped Diamond Electrode. Electroanalysis 2009, 21, 1475–1480. [Google Scholar] [CrossRef]
- Pereira, P.F.; da Silva, W.P.; Muñoz, R.A.A.; Richter, E.M. A simple and fast batch injection analysis method for simultaneous determination of phenazopyridine, sulfamethoxazole, and trimethoprim on boron-doped diamond electrode. J. Electroanal. Chem. 2016, 766, 87–93. [Google Scholar] [CrossRef]
- Martins, T.S.; Bott-Neto, J.L.; Oliveira Jr, O.N.; Machado, S.A.S. Paper-based electrochemical sensors with reduced graphene nanoribbons for simultaneous detection of sulfamethoxazole and trimethoprim in water samples. J. Electroanal. Chem. 2021, 882, 114985. [Google Scholar] [CrossRef]
- Sgobbi, L.F.; Razzino, C.A.; Machado, S.A.S. A disposable electrochemical sensor for simultaneous detection of sulfamethoxazole and trimethoprim antibiotics in urine based on multiwalled nanotubes decorated with Prussian blue nanocubes modified screen-printed electrode. Electrochim. Acta 2016, 191, 1010–1017. [Google Scholar] [CrossRef]
- Kumari, C.T.R.; Mamatha, G.P.; Santhosh, H.M. Voltammetric detection of trimethoprim at CTAB modified carbon paste electrode. Chem. Sci. Trans 2016, 5, 619–626. [Google Scholar]
- Cesarino, I.; Cesarino, V.; Lanza, M.R.V. Carbon nanotubes modified with antimony nanoparticles in a paraffin composite electrode: Simultaneous determination of sulfamethoxazole and trimethoprim. Sens. Actuators B Chem. 2013, 188, 1293–1299. [Google Scholar] [CrossRef]
- Carapuça, H.M.; Cabral, D.J.; Rocha, L.S. Adsorptive stripping voltammetry of trimethoprim: Mechanistic studies and application to the fast determination in pharmaceutical suspensions. J. Pharm. Biomed. Anal. 2005, 38, 364–369. [Google Scholar] [CrossRef]
- Rebelo, T.S.C.R.; Almeida, S.A.A.; Guerreiro, J.R.L.; Montenegro, M.C.B.S.M.; Sales, M.G.F. Trimethoprim-selective electrodes with molecularly imprinted polymers acting as ionophores and potentiometric transduction on graphite solid-contact. Microchem. J. 2011, 98, 21–28. [Google Scholar] [CrossRef]
- Torrinha, Á.; Carneiro, P.; Dias, D.; Delerue-Matos, C.; Morais, S. The simpler the better: Highly sensitive 17α-ethinylestradiol sensor based on an unmodified carbon paper transducer. Talanta 2022, 245, 123457. [Google Scholar] [CrossRef] [PubMed]
- Goyal, R.N.; Kumar, A. Mechanism of electrochemical oxidation of trimethoprim at pyrolytic graphite electrode. Electroanalysis 1990, 2, 539–545. [Google Scholar] [CrossRef]
- Gosser, D.K. Cyclic Voltammetry: Simulation and Analysis of Reaction Mechanisms; VCH: New York, NY, USA, 1993. [Google Scholar]
- Laviron, E. General expression of the linear potential sweep voltammogram in the case of diffusionless electrochemical systems. J. Electroanal. Chem. Interfacial Electrochem. 1979, 101, 19–28. [Google Scholar] [CrossRef]
- Patil, V.B.; Ilager, D.; Tuwar, S.M.; Mondal, K.; Shetti, N.P. Nanostructured ZnO-Based Electrochemical Sensor with Anionic Surfactant for the Electroanalysis of Trimethoprim. Bioengineering 2022, 9, 521. [Google Scholar] [CrossRef] [PubMed]
- Hale, T.; Abbey, J. 23-Drug Transfer During Breast-Feeding. In Fetal and Neonatal Physiology, 5th ed.; Polin, R.A., Abman, S.H., Rowitch, D.H., Benitz, W.E., Fox, W.W., Eds.; Elsevier: Amsterdam, The Netherlands, 2017; pp. 239–248.e5. [Google Scholar] [CrossRef]
- Pereira, D.F.; Santana, E.R.; Spinelli, A. Electrochemical paper-based analytical devices containing magnetite nanoparticles for the determination of vitamins B2 and B6. Microchem. J. 2022, 179, 107588. [Google Scholar] [CrossRef]
- Bard, A.J.; Faulkner, L.R.; White, H.S. Electrochemical Methods: Fundamentals and Applications, 3rd ed.; JohnWiley & Sons: Hoboken, NJ, USA, 2022. [Google Scholar]
- Wang, Y.; Wang, C.-Y.; Chen, K.S. Elucidating differences between carbon paper and carbon cloth in polymer electrolyte fuel cells. Electrochim. Acta 2007, 52, 3965–3975. [Google Scholar] [CrossRef]








| Sensor Configuration | Detection Technique | Linear Range (µM) | Sensitivity (µA µM−1/μA μM−1 cm−2) | LOD (µM) | Real Sample | Reference |
|---|---|---|---|---|---|---|
| CP | SWV | 0.05–2 | 34.3/48.8 | 0.065 | fish | This work |
| GCE/TMOPPMn(III)Cl | DPV | 0.06–1 | - | 0.003 | pharm. formul. urine | [22] |
| GCE/GO/PPy(MIP) | SWV | - | - | 0.13 | urine | [23] |
| GCE/rGO/AgNPs | DPV | 1–10 | 0.1/1.41 | 0.4 | wastewater | [24] |
| GCE/MWCNT/Fe3O4 | DPV | 0.1–0.5 | 162/- | 0.021 | pharm. formul. Water urine | [25] |
| GCE/CuPh-CB | SWAdASV | 0.4–1.1 1.5–6 | 5.82/30 | 0.67 | river water | [26] |
| GCE/MoO2 | DPV | 2–20 | 0.157/2.22 | 0.127 | - | [27] |
| GCE/GR-ZnO | DPV | 1–10 10–180 | 0.412/5.831 | 0.3 | lake water tap water urine serum | [28] |
| BDD | Amperometry | 0.0861–1.38 | - | 0.052 | bovine milk | [29] |
| BDD | DPV | 0.7–7 | 0.67/- | 0.014 | pharm. formul. | [30] |
| BDD | BIA–MPA | 6.9–140 | 0.119/0.92 | 0.52 | pharm. formul. | [31] |
| CPE (paraffin + MWCNT-SbNPs) | DPV | 0.1–0.7 | 0.37/3 | 0.031 | water | [35] |
| CPE/CTAB | CV | 0.2–1 | - | 0.15 | - | [34] |
| SPCE/rGNR | DPV | 1–10 | 0.0303/0.433 | 0.04 | tap water | [32] |
| SPE/MWCNT-PB | DPV | 0.1–10 | 0.108/- | 0.06 | urine | [33] |
| HMDE | SW-AdCSV LS-AdCSV | 0.1–1 | 0.45/- 0.074/- | 0.01 0.008 | pharm. formul. | [36] |
| ISE (MIP) | Potentiometry | 1–1000 | - | 0.3 | aquaculture water | [37] |
| Mixture | Concentration Ratio | Interference Level (%) |
|---|---|---|
| Trimethoprim + sulfamethoxazole | 1:1 | 86.0 |
| Trimethoprim + acetaminophen | 1:1 | 99.4 |
| Trimethoprim + amoxicillin | 1:1 | 106.9 |
| Trimethoprim + aspirin | 1:1 | 103.6 |
| Trimethoprim + ascorbic acid + glutamic acid + glucose + lactose + sodium sulphate + calcium carbonate | 1:100 | 97.3 |
| Extract | Spiking (µM) | Found (µM) | Recovery (%) |
|---|---|---|---|
| 1 | 0 | n.d. | - |
| 2 | 0.25 | 0.258 | 103.3 |
| 3 | 0.25 | 0.269 | 107.4 |
| 4 | 0.25 | 0.267 | 106.9 |
| Mean | 0.269 | 105.9 | |
| RSD | 0.008 | 1.8 |
Disclaimer/Publisher’s Note: The statements, opinions and data contained in all publications are solely those of the individual author(s) and contributor(s) and not of MDPI and/or the editor(s). MDPI and/or the editor(s) disclaim responsibility for any injury to people or property resulting from any ideas, methods, instructions or products referred to in the content. |
© 2023 by the authors. Licensee MDPI, Basel, Switzerland. This article is an open access article distributed under the terms and conditions of the Creative Commons Attribution (CC BY) license (https://creativecommons.org/licenses/by/4.0/).
Share and Cite
Torrinha, Á.; Tavares, M.; Dibo, V.; Delerue-Matos, C.; Morais, S. Carbon Fiber Paper Sensor for Determination of Trimethoprim Antibiotic in Fish Samples. Sensors 2023, 23, 3560. https://doi.org/10.3390/s23073560
Torrinha Á, Tavares M, Dibo V, Delerue-Matos C, Morais S. Carbon Fiber Paper Sensor for Determination of Trimethoprim Antibiotic in Fish Samples. Sensors. 2023; 23(7):3560. https://doi.org/10.3390/s23073560
Chicago/Turabian StyleTorrinha, Álvaro, Miguel Tavares, Vitória Dibo, Cristina Delerue-Matos, and Simone Morais. 2023. "Carbon Fiber Paper Sensor for Determination of Trimethoprim Antibiotic in Fish Samples" Sensors 23, no. 7: 3560. https://doi.org/10.3390/s23073560
APA StyleTorrinha, Á., Tavares, M., Dibo, V., Delerue-Matos, C., & Morais, S. (2023). Carbon Fiber Paper Sensor for Determination of Trimethoprim Antibiotic in Fish Samples. Sensors, 23(7), 3560. https://doi.org/10.3390/s23073560

