Reduced Loss and Prevention of Substrate Modes with a Novel Coplanar Waveguide Based on Gap Waveguide Technology
Abstract
1. Introduction
2. Gap Waveguide Technology
3. Closed-Form Expressions for Electrical Properties
3.1. Open/Encapsulated Gap Coplanar Waveguide
3.2. Inverted Gap Coplanar Waveguide
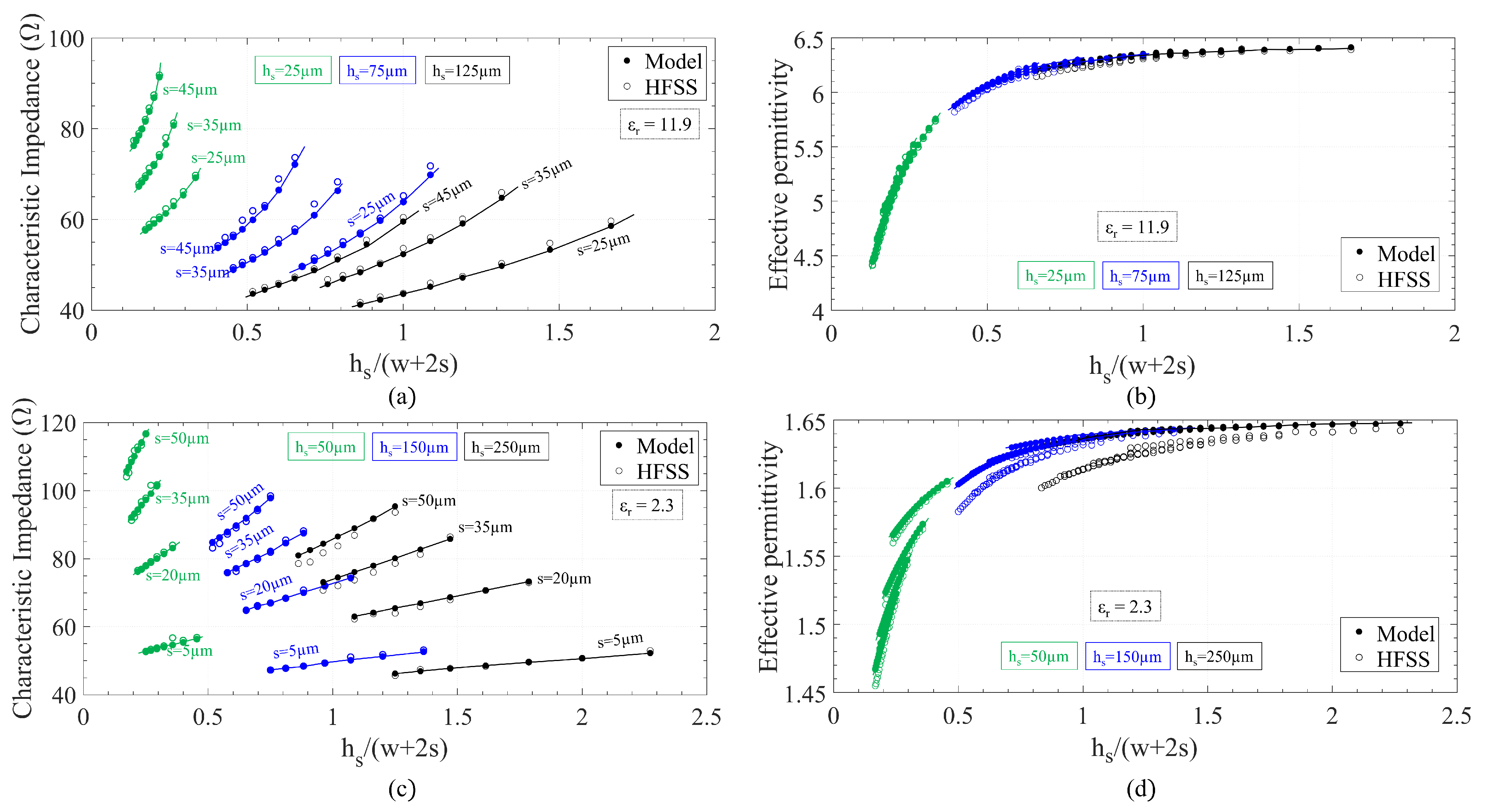
3.3. Validation
4. Modes and Propagation in GapCPW
4.1. Conductor-Backed CPW
4.2. Open Gap Coplanar Waveguide
4.3. Inverted Gap Coplanar Waveguide
5. Reduced Loss in GapCPW
5.1. Conductor Loss
5.2. Dielectric Loss
6. Experimental Validation
6.1. Design
6.2. Fabrication
6.3. Measurements
7. Discussion
8. Conclusions
Author Contributions
Funding
Institutional Review Board Statement
Informed Consent Statement
Data Availability Statement
Conflicts of Interest
References
- Wen, C.P. Coplanar Waveguide: A Surface Strip Transmission Line Suitable for Nonreciprocal Gyromagnetic Device Applications. IEEE Trans. Microw. Theory Tech. 1969, 17, 1087–1090. [Google Scholar] [CrossRef]
- Pozar, D.M. Considerations for Millimeter Wave Printed Antennas. IEEE Trans. Antennas Propag. 1983, 31, 740–747. [Google Scholar] [CrossRef]
- Biurrun-Quel, C.; Teniente-Vallinas, J.; Bocio, C.D.R. New Coplanar Waveguide Based on the Gap Waveguide Technology. In Proceedings of the 15th European Conference on Antennas and Propagation, EuCAP 2021, Dusseldorf, Germany, 22–26 March 2021. [Google Scholar] [CrossRef]
- Kildal, P.S.; Alfonso, E.; Valero-Nogueira, A.; Rajo-Iglesias, E. Local metamaterial-based waveguides in gaps between parallel metal plates. IEEE Antennas Wirel. Propag. Lett. 2009, 8, 84–87. [Google Scholar] [CrossRef]
- Kildal, P. Three metamaterial-based gap waveguides between parallel metal plates for mm/submm waves. In Proceedings of the 2009 3rd European Conference on Antennas and Propagation, Berlin, Germany, 23–27 March 2009; pp. 28–32. [Google Scholar]
- Kildal, P.S.; Zaman, A.U.; Rajo-Iglesias, E.; Alfonso, E.; Valero-Nogueira, A. Design and experimental verification of ridge gap waveguide in bed of nails for parallel-plate mode suppression. IET Microw. Antennas Propag. 2011, 5, 262–270. [Google Scholar] [CrossRef]
- Rajo-Iglesias, E.; Kildal, P.S. Numerical studies of bandwidth of parallel-plate cut-off realised by a bed of nails, corrugations and mushroom-type electromagnetic bandgap for use in gap waveguides. IET Microw. Antennas Propag. 2011, 5, 282–289. [Google Scholar] [CrossRef]
- Algaba Brazalez, A.; Rajo-Iglesias, E.; Vazquez-Roy, J.L.; Vosoogh, A.; Kildal, P.S. Design and Validation of Microstrip Gap Waveguides and Their Transitions to Rectangular Waveguide, for Millimeter-Wave Applications. IEEE Trans. Microw. Theory Tech. 2015, 63, 4035–4050. [Google Scholar] [CrossRef]
- Silveirinha, M.G.; Fernandes, C.A.; Costa, J.R. Electromagnetic characterization of textured surfaces formed by metallic pins. IEEE Trans. Antennas Propag. 2008, 56, 405–415. [Google Scholar] [CrossRef]
- Rajo-Iglesias, E.; Kildal, P. Groove gap waveguide: A rectangular waveguide between contactless metal plates enabled by parallel-plate cut-off. In Proceedings of the Fourth European Conference on Antennas and Propagation, Barcelona, Spain, 12–16 April 2010; pp. 1–4. [Google Scholar]
- Pucci, E.; Rajo-Iglesias, E.; Kildal, P.S. New microstrip gap waveguide on mushroom-type EBG for packaging of microwave components. IEEE Microw. Wirel. Components Lett. 2012, 22, 129–131. [Google Scholar] [CrossRef]
- Ghione, G.; Naldi, C.U. Coplanar Waveguides for MMIC Applications: Effect of Upper Shielding, Conductor Backing, Finite-Extent Ground Planes, and Line-to-Line Coupling. IEEE Trans. Microw. Theory Tech. 1987, 35, 260–267. [Google Scholar] [CrossRef]
- Chen, E.; Chou, S.Y. Characteristics of coplanar transmission lines on multilayer substrates: Modeling and experiments. IEEE Trans. Microw. Theory Tech. 1997, 45, 939–945. [Google Scholar] [CrossRef]
- Carlsson, E.; Gevorgian, S. Conformal mapping of the field and charge distributions in multilayered substrate CPW’s. IEEE Trans. Microw. Theory Tech. 1999, 47, 1544–1552. [Google Scholar] [CrossRef]
- Bedair, S.S.; Wolff, I. Fast and Accurate Analytic Formulas for Calculating the Parameters of a General Broadside-Coupled Coplanar Waveguide for (M) MIC Applications. IEEE Trans. Microw. Theory Tech. 1989, 37, 843–850. [Google Scholar] [CrossRef]
- Joshi, J.S.; Robertson, I.D. An Analytical Method for Direct Calculation of E & H-Field Patterns of Conductor-Backed Coplanar Waveguides. IEEE Trans. Microw. Theory Tech. 1993, 41, 1606–1610. [Google Scholar] [CrossRef]
- Dib, N.I. Theoretical Characterization of Coplanar Waveguide Transmission Lines and Discontinuities. Ph.D. Thesis, University of Michigan, Ann Arbor, MI, USA, 1992. [Google Scholar]
- Riaziat, M.; Majidi-Ahy, R.; Feng, I.J. Propagation Modes and Dispersion Characteristics of Coplanar Waveguides. IEEE Trans. Microw. Theory Tech. 1990, 38, 245–251. [Google Scholar] [CrossRef]
- Sievenpiper, D.; Zhang, L.; Jimenez Broas, R.F.; Alexöpolous, N.G.; Yablonovitch, E. High-impedance electromagnetic surfaces with a forbidden frequency band. IEEE Trans. Microw. Theory Tech. 1999, 47, 2059–2074. [Google Scholar] [CrossRef]
- Fan, F.; Yang, J.; Kildal, P.S. Half-height pins—A new pin form in gap waveguide for easy manufacturing. In Proceedings of the 2016 10th European Conference on Antennas and Propagation, EuCAP 2016, Davos, Switzerland, 10–15 April 2016. [Google Scholar] [CrossRef]
- Zaman, A.U.; Vassilev, V.; Kildal, P.; Kishk, A. Increasing parallel plate stop-band in gap waveguides using inverted pyramid-shaped nails for slot array application above 60 GHz. In Proceedings of the 5th European Conference on Antennas and Propagation (EUCAP), Rome, Italy, 11–15 April 2011; pp. 2254–2257. [Google Scholar]
- Shams, S.I.; Kishk, A.A. Double cone ultra wide band unit cell in ridge gap waveguides. In Proceedings of the 2014 IEEE Antennas and Propagation Society International Symposium (APSURSI), Memphis, TN, USA, 22 September 2014; pp. 1768–1769. [Google Scholar] [CrossRef]
- Valerio, G.; Sipus, Z.; Grbic, A.; Quevedo-Teruel, O. Accurate Equivalent-Circuit Descriptions of Thin Glide-Symmetric Corrugated Metasurfaces. IEEE Trans. Antennas Propag. 2017, 65, 2695–2700. [Google Scholar] [CrossRef]
- Chen, Q.; Mesa, F.; Yin, X.; Quevedo-Teruel, O. Accurate Characterization and Design Guidelines of Glide-Symmetric Holey EBG. IEEE Trans. Microw. Theory Tech. 2020, 68, 4984–4994. [Google Scholar] [CrossRef]
- Rahmeier, J.G.; Tiukuvaara, V.; Gupta, S. Complex Eigenmodes and Eigenfrequencies in Electromagnetics. IEEE Trans. Antennas Propag. 2021, 69, 4644–4656. [Google Scholar] [CrossRef]
- Kirley, M.P.; Booske, J.H. Terahertz Conductivity of Copper Surfaces. IEEE Trans. Terahertz Sci. Technol. 2015, 5, 1012–1020. [Google Scholar] [CrossRef]
- Gold, G.; Helmreich, K. A physical surface roughness model and its applications. IEEE Trans. Microw. Theory Tech. 2017, 65, 3720–3732. [Google Scholar] [CrossRef]
- Naqui, J.; Coromina, J.; Karami-Horestani, A.; Fumeaux, C.; Martín, F. Angular Displacement and Velocity Sensors Based on Coplanar Waveguides (CPWs) Loaded with S-Shaped Split Ring Resonators (S-SRR). Sensors 2015, 15, 9628–9650. [Google Scholar] [CrossRef] [PubMed]
- Marks, R.B. A Multiline Method of Network Analyzer Calibration. IEEE Trans. Microw. Theory Tech. 1991, 39, 1205–1215. [Google Scholar] [CrossRef]
- Harnsoongnoen, S.; Wanthong, A. Coplanar Waveguide Transmission Line Loaded with Electric-LC Resonator for Determination of Glucose Concentration Sensing. IEEE Sens. J. 2017, 17, 1635–1640. [Google Scholar] [CrossRef]
- Su, L.; Munoz-Enano, J.; Velez, P.; Orta, P.C.; Gil, M.; Martin, F. Highly Sensitive Phase Variation Sensors Based on Step-Impedance Coplanar Waveguide (CPW) Transmission Lines. IEEE Sens. J. 2021, 21, 2864–2872. [Google Scholar] [CrossRef]
- Dehe, A.; Klingbeil, H.; Krozer, V.; Fricke, K.; Beilenhoff, K.; Hartnagel, H. GaAs monolithic integrated microwave power sensor in coplanar waveguide technology. In Proceedings of the IEEE 1996 Microwave and Millimeter-Wave Monolithic Circuits Symposium. Digest of Papers, San Francisco, CA, USA, 17–19 June 1996; pp. 179–182. [Google Scholar] [CrossRef]
- Naqui, J.; Durán-Sindreu, M.; Martín, F. Alignment and Position Sensors Based on Split Ring Resonators. Sensors 2012, 12, 11790–11797. [Google Scholar] [CrossRef]
- Singh, S.P.; Tiwari, N.K.; Akhtar, M.J. Spoof Surface Plasmon-Based Coplanar Waveguide Sensor for Dielectric Sensing Applications. IEEE Sens. J. 2020, 20, 193–201. [Google Scholar] [CrossRef]
- Kang, B.; Cho, J.; Cheon, C.; Kwon, Y. Nondestructive measurement of complex permittivity and permeability using multilayered coplanar waveguide structures. IEEE Microw. Wirel. Components Lett. 2005, 15, 381–383. [Google Scholar] [CrossRef]



















| k = 4.44 rad/mm | CB-CPW | GapCPW | |||||
|---|---|---|---|---|---|---|---|
| GND ext. (μm) | Even | Odd | Even | Odd | BW (%) | ||
| 50 | 6.43 | 7.02 | 6.23 | 6.04 | 78.7 | 114.1 | 36.72 |
| 150 | 6.59 | 7.88 | 6.10 | 5.56 | 78.7 | 119.8 | 41.40 |
| 250 | 6.68 | 8.57 | 5.99 | 5.52 | 78.0 | 123.2 | 44.93 |
| 500 | 6.97 | 9.7 | 5.95 | 5.06 | 77.4 | 126.1 | 47.86 |
| 1000 | N/A | N/A | 5.95 | 5.03 | 62.7 | 126.6 | 67.51 |
| 1500 | N/A | N/A | 5.94 | 5.02 | 60.2 | 126.6 | 71.09 |
| k = 4.44 rad/mm | ||||||||
|---|---|---|---|---|---|---|---|---|
| (μm) | Freq. (GHz) | 300 | 350 | 400 | 450 | 500 | 550 | 600 |
| 50 | 60.4 | 60.1 | 60.0 | 60.1 | 60.5 | 60.2 | 60.2 | |
| 162 | 164 | 161 | 160 | 159 | 157 | 156 | ||
| 91.4 | 91.4 | 91.4 | 90.8 | 89.7 | 89.1 | 88.6 | ||
| 134 | 130 | 123 | 118 | 115 | 111 | 107 | ||
| 5.13 | 5.15 | 5.26 | 5.28 | 5.29 | 5.34 | 5.36 | ||
| 100 | 60.4 | 60.2 | 59.8 | 60.0 | 60.4 | 59.7 | 60.0 | |
| 151 | 148 | 145 | 143 | 141 | 140 | 139 | ||
| 85.7 | 84.3 | 83.2 | 81.8 | 80.0 | 80.4 | 79.4 | ||
| 107 | 101 | 97 | 93 | 90 | 86 | 84 | ||
| 5.76 | 5.82 | 5.84 | 5.87 | 5.89 | 5.91 | 5.91 | ||
| 150 | 58.9 | 59.9 | 59.8 | 60.0 | 59.9 | 59.7 | 59.9 | |
| 142 | 139 | 137 | 136 | 134 | 133 | 133 | ||
| 82.7 | 79.5 | 78.5 | 77.4 | 76.4 | 76.1 | 75.8 | ||
| 92 | 87 | 83 | 80 | 77 | 74 | 72 | ||
| 5.90 | 6.00 | 6.01 | 6.02 | 6.04 | 6.05 | 6.05 | ||
| 200 | 60.0 | 60.0 | 60.1 | 60.1 | 60.2 | 60.2 | 60.2 | |
| 138 | 135 | 134 | 132 | 131 | 131 | 130 | ||
| 78.8 | 76.9 | 76.1 | 74.9 | 74.3 | 74.1 | 73.7 | ||
| 83 | 78 | 75 | 72 | 69 | 68 | 65 | ||
| 5.97 | 6.04 | 6.04 | 6.06 | 6.08 | 6.08 | 6.09 | ||
| 250 | 59.9 | 60.0 | 60.0 | 60.1 | 59.8 | 60.2 | 59.9 | |
| 135 | 133 | 131 | 130 | 129 | 129 | 129 | ||
| 77.1 | 75.6 | 74.3 | 73.5 | 73.3 | 72.7 | 73.2 | ||
| 77 | 72 | 69 | 67 | 65 | 63 | 62 | ||
| 5.98 | 6.01 | 6.07 | 6.08 | 6.09 | 6.09 | 6.10 | ||
| 300 | 59.7 | 59.9 | 59.8 | 60.1 | 59.5 | 60.0 | 60.3 | |
| 133 | 132 | 130 | 129 | 129 | 128 | 128 | ||
| 76.1 | 75.1 | 74.0 | 72.8 | 73.7 | 72.3 | 71.9 | ||
| 71 | 67 | 65 | 63 | 61 | 60 | 59 | ||
| 6.00 | 6.03 | 6.07 | 6.09 | 6.10 | 6.11 | 6.12 | ||
Disclaimer/Publisher’s Note: The statements, opinions and data contained in all publications are solely those of the individual author(s) and contributor(s) and not of MDPI and/or the editor(s). MDPI and/or the editor(s) disclaim responsibility for any injury to people or property resulting from any ideas, methods, instructions or products referred to in the content. |
© 2023 by the authors. Licensee MDPI, Basel, Switzerland. This article is an open access article distributed under the terms and conditions of the Creative Commons Attribution (CC BY) license (https://creativecommons.org/licenses/by/4.0/).
Share and Cite
Biurrun-Quel, C.; Teniente, J.; del-Río, C. Reduced Loss and Prevention of Substrate Modes with a Novel Coplanar Waveguide Based on Gap Waveguide Technology. Sensors 2023, 23, 2909. https://doi.org/10.3390/s23062909
Biurrun-Quel C, Teniente J, del-Río C. Reduced Loss and Prevention of Substrate Modes with a Novel Coplanar Waveguide Based on Gap Waveguide Technology. Sensors. 2023; 23(6):2909. https://doi.org/10.3390/s23062909
Chicago/Turabian StyleBiurrun-Quel, Carlos, Jorge Teniente, and Carlos del-Río. 2023. "Reduced Loss and Prevention of Substrate Modes with a Novel Coplanar Waveguide Based on Gap Waveguide Technology" Sensors 23, no. 6: 2909. https://doi.org/10.3390/s23062909
APA StyleBiurrun-Quel, C., Teniente, J., & del-Río, C. (2023). Reduced Loss and Prevention of Substrate Modes with a Novel Coplanar Waveguide Based on Gap Waveguide Technology. Sensors, 23(6), 2909. https://doi.org/10.3390/s23062909

